主 编:翟婉明
副 主 编:李恒超 WANG Kelvin C.P.
创办时间:1954年创刊
主 办:西南交通大学
电 话:028-66367562
传 真:028-66366552
E-mail:xbz@home.swjtu.edu.cn
刊出周期:中文双月刊
检索
高级检索
期刊检索
分类检索
新闻公告More
- 征稿启事 | 献礼百卅校庆!《西南交通大学学报》“130周年校庆专刊”诚邀校友投稿!
- 喜报 | 《西南交通大学学报》入选2024年度中国高校科技期刊建设示范案例库•百佳科技期刊
- 喜报 | 《西南交通大学学报》再次被评为 “RCCSE中国权威学术期刊(A+)”
- 专栏征稿 | “不可移动文物预防性保护关键技术”专栏
- 专刊征稿 | “自主式交通管控创新理论与方法”专刊
- 喜报 !《西南交通大学学报》入选中国科技期刊卓越行动计划二期项目
- 邀请函 | 11月21-23日,中国工程院工程科技学术研讨会暨第十三届国际桥梁与隧道技术大会(IBTC2025)欢迎您!
- 第十四届全国隧道及地下空间运营安全与节能环保科技论坛
- 祝贺中国工程院工程科技学术研讨会——第十二届国际桥梁与隧道技术大会在沪成功召开!
- 中国工程院工程科技学术研讨会—— 第十二届国际桥梁与隧道技术大会(IBTC 2024) 会议通知
随着国际月球科研站建设进入工程实施阶段,月面基地与矿区之间的高效物流运输成为支撑月球资源开发的核心需求,而传统轮式月球车在低重力与松软月壤环境下面临严峻的技术瓶颈. 为探索突破轮式系统物理极限的新型月面运输方案,本文提出了一种基于Halbach永磁轮的磁悬浮月球车概念,系统论证了其技术可行性与环境适配性,并对国内外相关技术的发展历史做了简要回顾. 首先,从发展现状、环境约束、失效模式及性能瓶颈四个层面梳理了轮式月球车技术的目前困境;其次,围绕非黏着驱动机制、低重力载重增益、原位资源路面建造及极低温电磁增效角度探究了磁悬浮月球车与月球环境适配的四重优势,并与现有月球车技术进行了对比分析;最后,综述了团队在永磁轮电动悬浮车辆电磁建模、动力学分析、稳定控制及样机验证等方面的研究成果,还阐明了后续向月球环境移植的关键科学问题及未来研究展望. 研究结果表明:传统轮式月球车的性能瓶颈源于接触式行走机构对月壤物理环境的依赖,NASA等机构已开展磁悬浮技术的地外应用探索;所提出的永磁轮磁悬浮月球车结构简单、环境适应性好,现已完成"电磁-动力学-控制-样机研制"的闭环研究;作为月面工程条件下的概念方案,其未来需重点突破真实环境模拟、高延迟自主通信调控及导体板路面原位制造等关键技术,以期为构建可靠的月面交通网络提供支撑.
全球气候变化导致极端低温与剧烈温差事件日益频繁,极端冻融区天然与工程斜坡失稳致灾风险加剧,严重威胁工程建设运维. 极端冻融环境下斜坡失稳演化呈现多场耦合、多因素叠加的复杂特征,表现为“冻融作用—斜坡体水热演化—岩土体劣化—失稳触发”的递进关系. 本文系统梳理了冻融环境下岩土体力学特性劣化规律、斜坡水热演化规律及其与失稳模式的耦合机制,阐述考虑冻融效应的斜坡稳定性评估方法,包括简化计算方法与数值模拟计算方法;总结了适用于冻融环境的斜坡防护与加固技术进展,特别关注防护结构在冻胀荷载作用下的受力特征与设计要点;探讨在多灾害耦合效应计算、高山冻土斜坡失稳链生灾害风险评估等领域的发展新思路,为高寒、高海拔地区重大工程的建设运维与风险防控提供工程参考与科学依据.
受电弓滑板是高速列车获取能量的核心部件之一,其性能直接影响弓网系统的受流质量与列车运行安全. 随着高速铁路的运行速度不断提升以及运行工况不断复杂化,受电弓滑板需在更加严苛的工作环境下长期稳定工作,对其各项性能提出了更高的要求. 本文系统性梳理受电弓滑板的发展历程,介绍各阶段受电弓滑板的性能优劣,并重点围绕炭石墨复合材料滑板的组成结构、制备工艺及研究进展进行综述. 炭石墨材料因其质量轻、润滑性能好及电接触稳定性优良等优势,成为高速列车受电弓滑板的重要研究方向. 然而,当前碳石墨滑板性能的进一步提升仍面临诸多瓶颈:由制备工艺引入的孔隙与微裂纹等固有缺陷,增强相与基体界面结合强度不足,以及增强相自身存在的团聚与无序分布现象,是制约其性能提升的关键因素. 通过增强相的优选与表面改性是改善炭石墨材料综合性能的有效手段. 未来研究应聚焦于多元杂化增强相设计、多尺度界面调控、低填料含量下高效导电/导热网络构建,以推动高性能炭石墨滑板研发及其在高速铁路的应用.
4D打印是将增材制造与智能材料融合的创新技术,其打印材料在特定外部激励下可实现自主变形,在生物医学、软体机器人等领域极具应用潜力,其核心目标是实现结构与功能的动态适配. 然而,该技术当前面临打印材料响应协同性差、变形行为预测难,结构设计计算成本高、逆向设计结果不唯一等问题,人工智能则为解决这些跨学科复杂问题提供了关键支撑,是推动4D打印智能化发展的核心动力. 本文系统综述人工智能在4D打印中的应用现状,重点阐述机器学习方法在4D打印材料、工艺、结构正向设计和逆向设计中的应用,分析神经符号人工智能在4D打印中的优势与应用潜力,并总结了人工智能驱动4D打印的实际工程应用. 最后,本文总结了将人工智能应用到4D打印中仍面临的可解释性不足、泛化能力弱、结构疲劳与功能性疲劳相关研究不足等问题,并展望了未来的研究方向.
为明确钻爆法隧道施工废水中的污染物(如重金属及有机磷酸酯)赋存特征及生态风险,以青藏高原2处在建隧道为研究对象,分析了其施工废水及周边水体的水质参数、污染特征、来源及环境风险. 研究结果表明:施工废水呈现高浊度(平均值43.7~100 NTU)和碱性(pH达到8.2~12.0)特征,且含有较高浓度的石油类污染物(平均浓度15.5~22.1 mg/L),主要来源于机械润滑剂等污染;金属元素以Fe、Al为主,阴离子以Cl− 和SO42− 为主,速凝剂/混凝剂使用及矿物溶出释放是其主要来源;OPFRs总浓度范围为14.0~
随着高速铁路向高寒、高海拔地区延伸,无砟轨道混凝土结构在长期冻融循环与高频列车荷载耦合作用下面临严峻的耐久性挑战. 本文系统综述冻融循环、疲劳荷载及其耦合作用下无砟轨道混凝土的损伤演化机理与研究进展. 首先,阐述冻融循环的循环作用特征,总结无砟轨道混凝土跨尺度试验研究结果,以揭示冻融循环作用下无砟轨道混凝土损伤发展规律;进一步地探究列车荷载统计特征及传递规律,从材料试件与足尺结构试验层面论述列车荷载作用下无砟轨道混凝土结构与层间界面的力学性能,概括引入混凝土损伤力学的无砟轨道理论分析框架;最后,归纳冻融-疲劳耦合作用的协同损伤效应,指出耦合作用显著加剧混凝土微观孔隙发展与宏观力学性能劣化. 文中回顾评述了在此方面的研究现状与最新进展,阐明目前研究存在的技术问题以及未来研究的发展趋势,以期为高寒地区无砟轨道的安全运维与长效设计提供理论支撑.
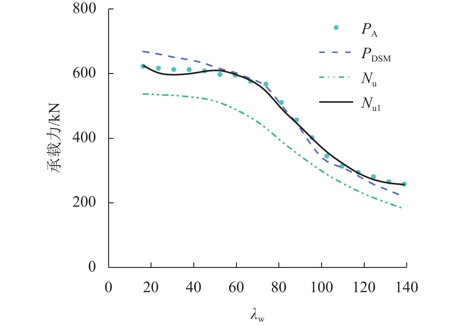
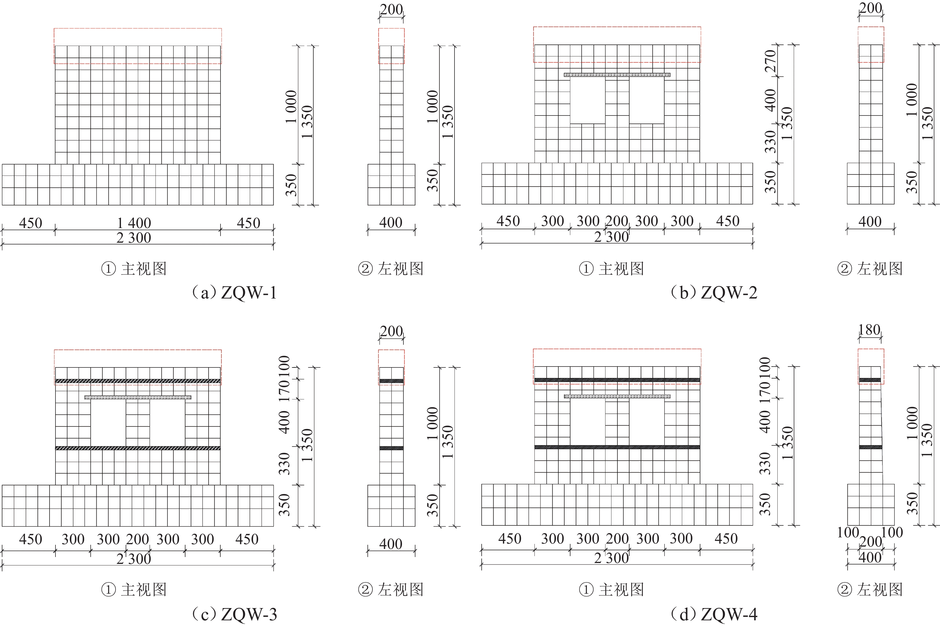
为研究装配式方钢管混凝土外加强环梁柱节点的抗震性能,对3个不同构造方钢管混凝土柱——H型钢梁外加强环节点进行拟静力试验,研究节点的承载力、破坏过程与破坏模式、节点区应力分布以及各抗震性能指标等. 试验研究表明:节点的破坏均出现在梁端连接区域,表现为环板外梁截面的屈曲和断裂破坏;节点的滞回曲线均呈现“梭形”,伴有明显的捏拢效应;正向与负向加载过程基本对称,在滞回曲线上可观察到转动刚度为0的“滑移段”;节点延性系数在2.55~4.20,极限转角在0.032~0.062 rad,均超过抗震规范要求;相较于整体式节点,分离式节点的延性和累积耗能分别提高60.7%和209.0%,而悬臂耗能式节点的承载力、延性和耗能能力较整体式节点分别提高38.1%、64.7%和400.3%; “分离式多层传力”与“悬臂段-耗能盖板双阶段耗能”的构造形式能有效优化节点的抗震性能;模拟与试验的滞回曲线、破坏模式吻合良好,验证了模型的有效性.
高温主动磁悬浮轴承技术是替代传统轴承、实现在高温与高速工况下稳定运行的关键技术,其设计复杂度显著高于常温磁悬浮轴承. 基于国内外相关研究文献,系统综述高温主动磁悬浮轴承在材料选取、机械系统制造工艺与故障安全机制、高温位移传感器设计以及转子系统建模与动态特性分析4个方面的研究进展;进一步提出未来应重点开展多物理场耦合精细建模、振动主动控制策略、多场景应用适配性及材料-控制-结构协同优化等方向的深入研究,以提升高温磁轴承系统的可靠性与工程适用性,为其在极端环境下的稳定运行提供理论依据与技术支撑.
隧道大变形是复杂地质条件下,尤其是深埋软岩隧道工程中最为典型的工程地质灾害,其发生与演化受地应力场、围岩结构与力学特性、地下水活动及支护体系响应等多因素耦合控制,常表现出渐进性累积的变形特征. 基于国内外研究与典型工程案例,系统梳理了隧道大变形的定义、分级标准,依据主控致灾机理将其划分为松动破碎型、应力控制型、膨胀控制型和结构控制型4类,并明确了各类的主控因素与典型工程表现. 进一步从多因素耦合作用机制出发,归纳总结施工控制的关键技术路径,涵盖地应力调控、围岩改良、地下水控制及支护体系优化等方面,重点总结了以抗为主和以让为主的2类支护措施. 可为复杂地质环境下隧道大变形的机理识别、分级判识与施工控制提供理论依据与工程参考.
为解决燃料经济性与耐久性难以兼顾的问题,提出一种基于双向长短期记忆神经网络(BiLSTMNN)与软演员-评论家(SAC)算法相结合的燃料电池混合动力客车能量管理策略(SAC-V). 首先,应用BiLSTMNN实现短时车速预测;其次,将预测车速与车辆实时状态共同作为SAC强化学习智能体的输入,并在奖励函数中引入氢耗、动力电池荷电状态偏差以及燃料电池衰退等约束项,实现车辆燃料经济性与动力系统耐久性的动态协调优化;最后,通过离线仿真和硬件在环试验对所提策略进行验证. 研究结果表明:相较于传统SAC和深度确定性策略梯度方法,本文提出的SAC-V策略在等效氢耗、燃料电池功率波动和燃料电池衰退率方面分别降低了3.46%、35.56%和3.67%,展现出更优的综合性能,且在实际工程中具有较好的实时应用潜力.
为研究3D打印高速铁路异形声屏障的降噪性能,采用三维建模软件构建声屏障几何模型,并建立三声源模式下的高速铁路异形声屏障降噪模型;基于声学间接边界元法,通过对比不同波距、波高和屏障高度下异形声屏障的降噪效果、声场分布、频谱特性及插入损失特性等,得到异形声屏障的最优设计参数;对比分析不同屏障-线路中心距离、列车速度对异形声屏障降噪效果的影响. 研究结果表明:异形声屏障对中远场点和声影区的场点及630 Hz以上的中高频噪声表现出显著降噪优势;与直立式声屏障相比,在优选波距3.2~4.0 m内可获得额外降噪增益,附加降噪效果可达1.7 dB(A);在波距一定的情况下,随着波高的增大,异形声屏障的降噪效果增强,最大能达到15~17 dB(A),异形声屏障取波距4 m、波高600 mm时附加插入损失达1.8 dB(A);异形声屏障高度增加1 m,4个标准场点的声压级降低1.6~4.8 dB(A),空间上主要作用于近屏障区域的5~10 m范围及高频截止区,附加降噪量沿该区域向两侧衰减;在3~4 m内,屏障-线路中心距离对异形声屏障降噪水平影响较小,推荐该参数取值为3.4~3.6 m;列车速度提升,异形声屏障插入损失降低,列车速度由300 km/h提升到340 km/h,不同工况下场点插入损失分别降低0.17~0.34 dB(A)和0.55~0.63 dB(A).
电气化铁路牵引供电系统与新能源的深度融合,是贯彻国家“双碳”目标、推动轨道交通绿色转型的重要举措. 针对新能源规模化接入需求,结合国家绿电直连策略,本文提出一种牵引供电系统绿电直连技术方案,并研究其潮流控制策略. 首先,对比分析绿电直连不同方案,明确绿电直连贯通供电是实现电网与铁路共赢的最佳选择;在此基础上,考虑电网支撑强度与耦合程度,构建绿电直连网格化贯通供电物理系统的三种构架,基于分段所划界形成供电分区,实现供电分区内的发电、用电和储能相匹配. 其次,建立并网/离网模式下绿电装置与储能装置的控制逻辑,构建以控制器信息流驱动能量流的调控体系;基于分段所电气量信息辨识列车运行状态与牵引负荷功率,实现并网/离网方式下发-储-用的实时电量平衡与自律协同控制. 最后,以实际改造线路为例,验证方案的有效性与经济性. 研究结果表明:绿电直连贯通供电有利于铁路沿线新能源的规模化接入,同时可解决电网负序与牵引网电分相断电区双重痛点,达成零电网干扰与零运行中断的核心目标;通过分段分区供电与潮流自律协同控制,在牵引变电所/牵引绿电所各自管辖区段内实现系统能量自律、运行自律与控制自律. 结合线路数据进行经济性分析,采用磷酸铁锂电池储能装置,考虑并网与离网两种运行场景,初步成本回收期分别约为3.9年和7.2年.
当磁浮车辆超高速运行时,轨道不平顺、空气阻力等边界条件将会显著影响车辆运行安全性与稳定性. 本文基于多态耦合轨道交通动模试验平台,建立考虑超导钉扎悬浮与导向力特性、空气阻力及轨道不平顺等条件的超高速磁浮模型车系统动力学模型,模拟在1.6 km试验线上实现最高速度(1 500 km/h)的牵引-惰行-制动工况;基于该动力学模型,仿真分析模型车系统在不同轨道不平顺幅值倍数、不同速度、不同限位间隙下运行的振动响应情况. 研究结果表明:低真空环境下,轨道不平顺幅值为0.15 mm时,最高速度工况下,动子在运行过程中呈左右摆动的振动形式,杜瓦垂向位移最大值达4.88 mm;随着模型车系统运行速度增大,系统振动增强,各动力学指标幅值呈上升趋势;横向限位间隙增大有利于减弱模型车系统横向振动,垂向限位间隙增大会加剧模型车系统垂向振动.
针对传统的地层注浆整治盾构隧道横椭圆变形过程中变形恢复可控性差等问题,创新性地开展了囊袋法注浆整治盾构隧道横椭圆变形试验研究,试验采用2种不同的囊袋布设方案. 试验结果分析表明:隧道在注浆点附近产生了竖椭圆变形,且在注浆点附近的附加土压力、隧道直径和挠曲变形变化最大,沿着隧道两端呈现逐渐递减的趋势;等量注浆下,垂直注浆可以更好地整治既有隧道的横椭圆变形,侧底部注浆能在实现隧道的横椭圆变形恢复效果的同时,对隧道进行抬升,有效降低隧道在运行过程中产生的沉降;在隧道侧底部注浆时,囊袋在膨胀过程中,由于受到已建隧道重力的影响,使注浆导致的隧道变形较垂直注浆有所降低,因此,在注浆过程中建议适当加大注浆量,以达到预期的横椭圆变形恢复效果;注浆后囊袋呈现中间宽,两边窄的圆柱体形状,囊袋法注浆能有效限制浆液扩散路径,浆液在囊袋内发生挤密扩散,使隧道局部所受压力迅速增大,横椭圆变形恢复效果显著;在隧道侧部垂直注浆,横椭圆变形恢复效果显著,但注浆压力过大等原因易诱发盾构隧道管片错台等问题,建议在整治盾构隧道横椭圆变形超限时,宜将注浆点布设于隧道侧底部位置即偏离隧道两侧约30°~60°位置.
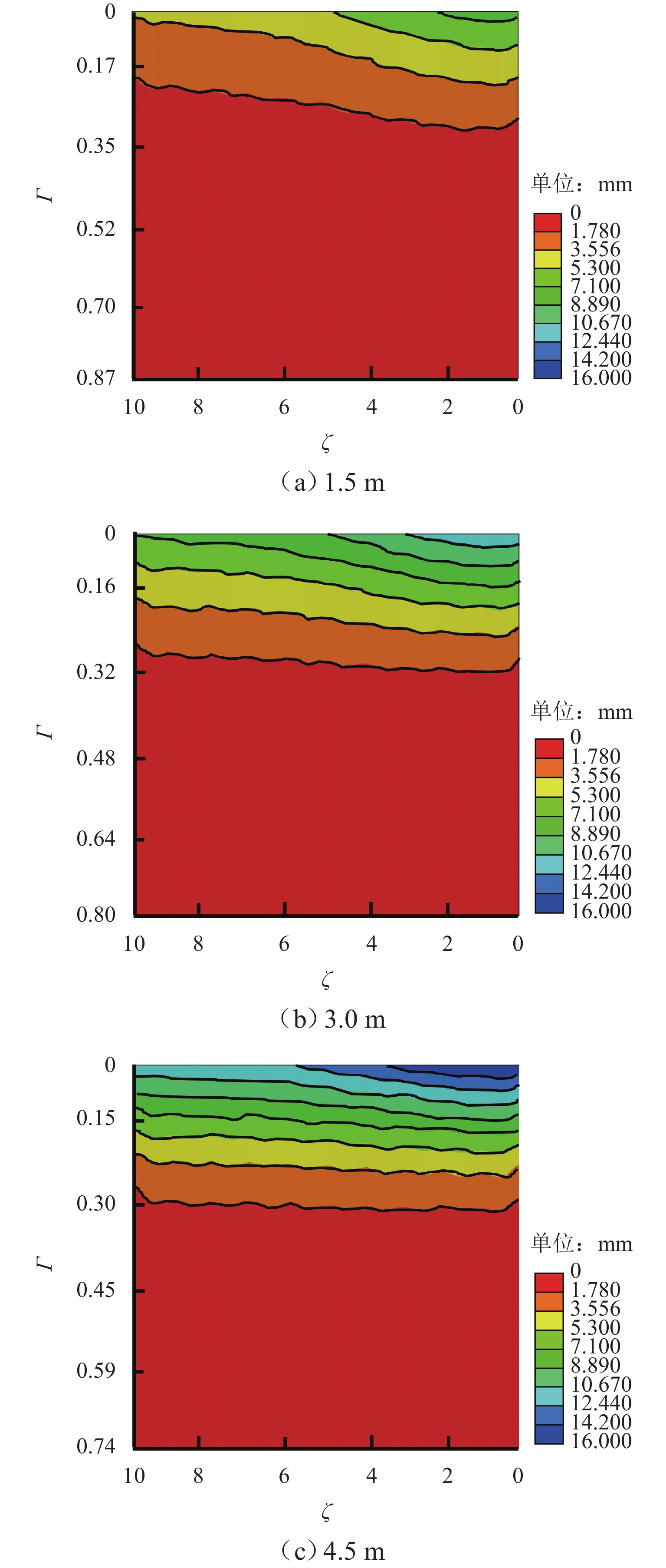
高速铁路大跨度桥梁梁端一体化装置结构复杂,易出现结构性轨道不平顺峰值,直接影响列车平稳运行,且目前缺乏针对性的相关管理标准. 为此,开展对梁端一体化装置监测管理值的研究,分析近年梁端监测数据,建立梁端一体化装置的有限元模型,并基于静态不平顺标准仿真得出梁端纵向伸缩、横向位移、下挠转角及固定钢枕抬升、钢轨空吊监测管理值建议,针对250 km/h行车速度,提出的Ⅰ级监测管理建议值分别为:梁端纵向压缩160 mm、横向位移7 mm、下挠转角3×10−3 rad,以及固定钢枕抬升3 mm、空吊2 mm. 结果表明:监测管理值能够判断装置是否出现异常,梁端纵向压缩对高低和轨距不平顺影响较大,横向位移对轨距影响较大,固定钢枕空吊和抬升会对轨道高低产生影响. 提出的梁端监测管理值可为高速铁路大跨度桥梁的运营维修提供参考依据.
为提高液压机械传动(HMT)换段离合器的转矩传递控制精度,改善其换段质量,提出一种基于线性二次型优化的自适应滑模控制方法. 首先,构建HMT换段动力学模型和离合器数值模型;其次,基于线性二次型优化模型求解目标泛函下换段离合器最优转矩传递轨迹,并结合动态摩擦因数模型,将该轨迹变量转换为考虑润滑油膜时变效应与摩擦界面动态接触特性的期望油压轨迹;最后,利用自适应滑模控制算法对期望油压轨迹进行跟踪控制. 仿真结果表明:与直接采用线性二次型控制方案相比,所提算法有效提高了换段离合器的转矩传递控制精度,换段时间缩短13.8%,滑摩功降低11.2%,最大冲击度减小39.1%;试验结果进一步证实,该算法在有效提高换段离合器转矩传递控制精度的同时,改善了HMT的换段质量. 研究结果可为HMT装置在工程应用中的换段控制策略制定提供参考.
为提高初级分段绕组直线电机动子位置的检测精度,减小谐波磁场及温度等因素在磁阻传感器输出信号中的直流偏置与谐波干扰,对基于频率自适应级联延时信号滤波器的位置检测方法进行研究. 首先,设计一种频率自适应级联延时信号滤波器,通过将输入信号延时以及滤波器级联,实现对直流偏置及多阶次谐波扰动的抑制,以解决传统方法需预先确定谐波阶次及邻近主频干扰所引起的滤除效果欠佳的问题;其次,结合三型锁相环技术,对滤波后的信号进行正交锁相,实现电机磁极角度和动子位置信息的同步提取;最后,搭建初级分段绕组直线电机实验平台,对所提方法的滤波性能与位置检测精度进行验证. 研究结果表明:该滤波方法能在不依赖电机模型的前提下有效抑制接近主频的谐波电压及直流偏置;且在复杂的谐波干扰工况下,相较于传统滤波器与锁相环结合的检测方案,使得直线电机动子位置的估计误差降低了68.75%.
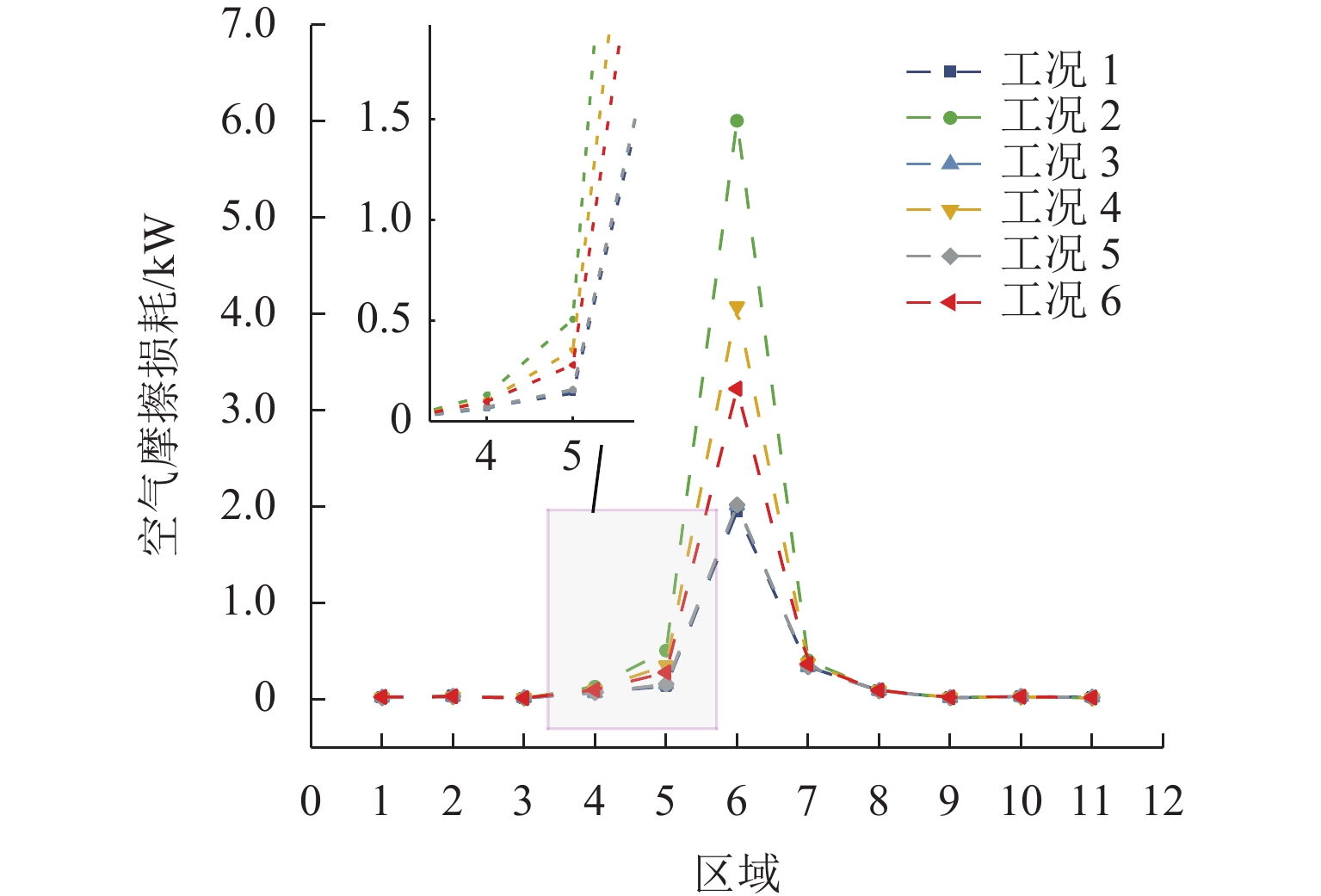
针对高速永磁电主轴因气隙内空气摩擦损耗引发的散热与能效设计难题,揭示定子槽口与轴向通风冷却的耦合作用下风摩损耗的形成机理及涡流演变规律. 首先,分别建立光滑壁面的理想气隙模型与包含18个定子槽口的实际气隙模型;然后,通过对比2种气隙模型在无轴向通风条件下的能量耗散差异,定量评估定子槽口的独立影响;最后,通过施加不同流速的轴向冷却气流,系统评估通风强度对气隙内部流场结构及能量耗散特性的非线性调控作用. 结果表明:1) 定子槽口是导致风摩损耗激增的决定性因素,与光滑壁面理想气隙相比,定子槽口引起的附加损耗增幅近80%. 2) 在含定子槽口气隙中,轴向通风对损耗的调控呈现显著的非单调、分阶段特性:在引入微弱轴向通风后,损耗在2.00 m/s时降至最低,降幅超过19%;当流速进入6.00~10.00 m/s的临界区间,流场失稳导致能量耗散急剧跃升超过26%;而当流速超过10.00 m/s后,涡系压制效应主导流场恢复稳定,能量耗散在骤降后呈稳定单调增长趋势.
为促进电气化铁路节能减排、绿色低碳化发展,首先提出光伏接入储能式同相供电系统的两种技术方案;接着,分析系统运行工况,并制定负序补偿原则;在此基础上,依据光伏发电出力和锂电池荷电状态(SOC),以实现负荷削峰填谷和能源高效利用为控制目标,构建双层协调控制策略,其中,上层负责能量管理与负序控制,下层则实时控制变流器运行;最后,通过案例分析,在综合考虑负荷所处牵引和再生工况下的负荷大小、光辐照度和锂电池充放电等多维因素的情况下,对弃光、充放电和负序补偿进行控制. 结果表明:该系统在不同工况下均表现出良好的适应性和稳定性,所提控制策略的正确性和有效性得到验证;光伏接入方案取消50%电分相,实现负序可控,促进多能融合与互补,推动光伏就地就近消纳,缓和牵引负荷的剧烈波动.
为研究600 km/h级高速磁浮列车轨道不平顺对乘坐舒适性的影响,针对常规动力学模型缺乏对人体精细化生物结构的描述,难以揭示车体运动与人体器官共振之间复杂相互作用的局限,本文提出一种集成“车辆-轨道-人体”全链路的耦合动力学仿真方法. 首先,基于多体动力学与有限元理论,建立包含空间柔性轨道梁、悬浮/导向主动控制算法及多体车辆动力学的系统仿真框架;其次,引入45自由度三维坐姿人体生物力学模型,构建全系统耦合动力学模型,以解决振动传递路径中人体感知端的失真问题;然后,结合系统模态分析,揭示车体运动与人体内脏器官及骨骼系统共振的耦合机理;最后,利用上海高速磁浮示范线实测数据对模型进行验证. 试验结果表明:依据标准(GB/T 5599—2019)计算的列车运行平稳性指标显示,实测垂向与横向的平稳性指标分别为2.33(优秀)和2.61(良好),仿真计算值分别为2.28和2.56,相对误差仅为2.15%和1.92%;针对人体直接感知的座椅面振动,实测座椅面的垂向与横向加速度峰值分别为0.915 m/s2和1.115 m/s2,仿真结果的对应误差均控制在5.00%以内(分别为0.76%和2.91%);在频域层面,模型不仅准确复现约1.5 Hz的车体刚体模态,更精准捕捉约4.0~6.0 Hz频段由人体生物力学特性主导的耦合共振峰,验证了该模型在精细化舒适性预测中的有效性.
为提高构件耐久性并保证构件延性的需求,提出一种新型内置螺旋箍筋芯柱的玻璃纤维增强复合材料(GFRP)-钢筋混合配筋(HRBS)柱. 开展4个HRBS柱的拟静力试验,其中,进行2个HRBS柱复合盐干湿循环试验,得到HRBS柱在复合盐干湿循环前后的破坏过程和最终破坏模式、滞回曲线、骨架曲线、耗能能力、性能退化和残余位移等. 结果表明:HRBS柱在复合盐干湿循环前后均表现出良好的抗震性能,破坏类型均为弯曲破坏;常规环境下,随着芯柱直径的增大,HRBS柱的屈服荷载和峰值荷载提升了25.77%和28.68%;复合盐环境下,芯柱直径的增大有利于提升HRBS 柱的承载能力、位移延性系数、强度退化系数、耗能能力、整体刚度和自复位能力;经过复合盐侵蚀后,200 mm芯柱直径试件的屈服荷载和峰值荷载分别降低了17.65%和15.77%,而耗能能力和位移延性系数分别提升14.41%和32.61%;通过设计合理的芯柱直径,可保证HRBS柱在常规环境和腐蚀环境下均具备良好的耐久性能和整体抗震性能.
电机转子的空气摩擦损耗随转速的增大而迅速增大,特别是支撑在电磁轴承上的高速电机,由于气隙结构复杂,掌握其空气摩擦损耗特性尤为重要. 本文以2 MW、
近年来,铁路部门在现场空载投入经改造、检修或故障切除后的变压器时,多次出现因励磁涌流致使继保装置误动作的事件,这严重影响了供电可靠性. 为确保铁路供电系统安全可靠运行,在开展现场调研并综合大量文献分析的基础上,对我国铁路供电系统中励磁涌流给电气设备和铁路行车的危害进行系统分析;同时,基于变压器电磁等效模型,对励磁涌流的形成原因开展定性分析,指出剩磁、合闸偏磁是影响励磁涌流大小的主要因素;此外,介绍了国内外学者通过协调剩磁与合闸时间、外部增设电气元器件等方法抑制励磁涌流的研究现状,并归纳波形特征法、时频域分析法、神经网络法等励磁涌流波形识别技术的研究进展;最后,展望多场景和全特性的励 磁涌流暂态仿真、变压器高性能新材料和新结构的研发与应用,以及基于新型神经网络的波形识别技术及其保护配合措施等,认为这些是今后需要重点研究的领域.
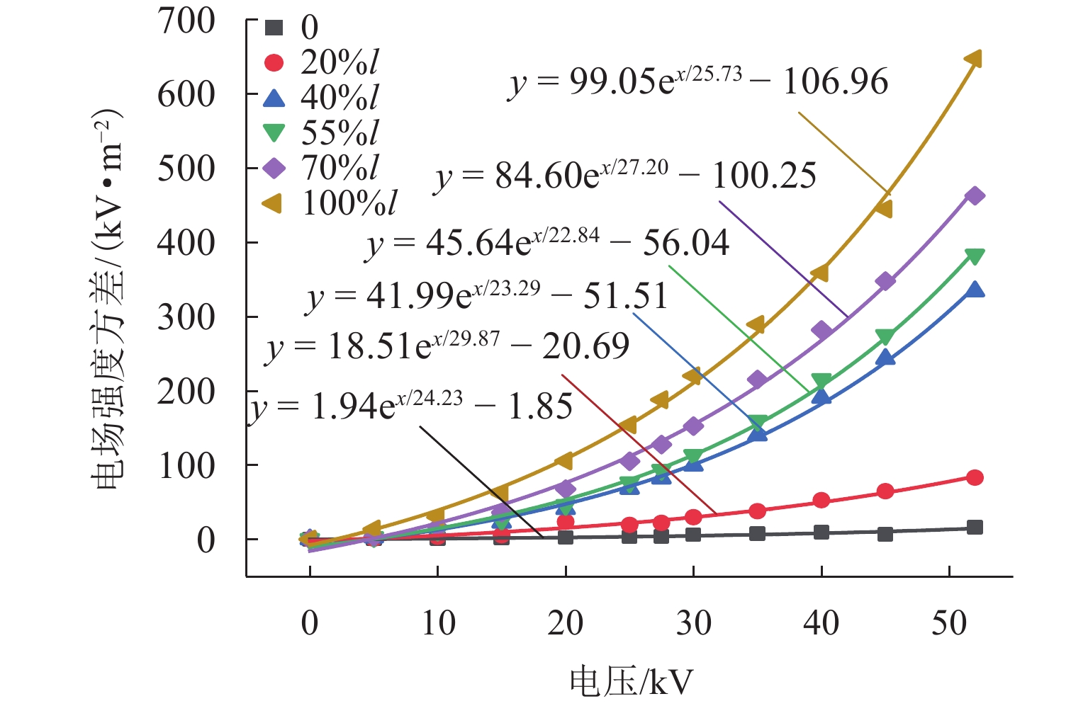
我国中小跨径公路梁式桥中的板式橡胶支座通常处于梁底钢板与墩台混凝土垫石之间,且相关规范指出支座可在钢板界面发生相对滑动,但在特定条件下滑移更易发生于支座与混凝土垫石界面. 为探究该界面的力学行为,开展8 MPa低压、10 MPa均压及12 MPa高压下的往复压剪试验,揭示支座三阶段变形破坏机制,建立鼓凸破坏判据,量化剪切模量及摩擦系数的演化规律,并建立摩擦系数衰减模型. 结果表明:橡胶支座滞回曲线呈现平行四边形伴随内部月牙形突变环的特征;支座-混凝土界面发生双向损伤转移,橡胶保护层鼓凸,混凝土板附着橡胶碎屑;在滑动摩擦阶段,剪切模量随面压增大而降低,且始终低于规范动剪切模量
针对线路故障影响下考虑转线换乘的列车运行调整问题,以线路故障触发的列车连带总晚点时间最短与转线换乘失败客流数最少为双重目标,构建铁路线路故障影响下的列车运行调整优化模型;鉴于模型为大规模混合整数规划模型,设计基于高斯游走的改进粒子群求解策略;以京广高铁上行方向部分区段和郑徐高铁下行方向部分区段构成的路网构建测试场景,并运用IPS&GW算法对不同列车运行恢复策略下(策略Ⅰ~策略Ⅳ)的列车运行调整优化模型进行求解. 结果表明:相较策略Ⅰ,故障扰动时长在10~30 min之间波动时,策略Ⅱ、Ⅲ、Ⅳ所产生的列车连带晚点时间分别下降82.5%~86.6%、70.5%~81.49%、55.8%~58.7%,滞留旅客总数分别下降28.3%~39.1%、57.3%~61.9%、88.4%~89.4%;且在不同扰动情景下均能通过增加一定的列车总晚点时间来换取换乘失败旅客数量的明显减少. 将本文所提出的IPS&GW算法与传统PSO算法进行对比,前者在目标函数收敛速度方面表现出优势,且能够达到恢复列车图定运行要求、减少换乘枢纽站滞留旅客数量.
为研究土层倾角对边坡动力失稳的影响,基于振动台模型试验,研究不同土层倾角的层状堆积体基覆型边坡在地震作用下的失稳特征和动力响应规律. 通过改变基覆界面倾角,设计表面为直线形、凹形、凸形的3类边坡,在此基础上开展边坡振动台模型试验,得到3种变倾角边坡的失稳模式;并通过考虑边坡破坏的加速度放大效应,结合土体应力状态与摩尔-库仑强度理论,探究边坡动力响应机理及边坡失稳临界条件. 试验结果表明:凹形边坡在破坏时破坏特征集中在上部土层,凸形边坡集中在下部土层,直线形边坡则是出现上部土层拉裂、下部土层剪切滑移的破坏模式;相同震级下,凹形边坡加速度放大系数最小,直线形边坡、凹形边坡与凸形边坡的加速度放大效应分别集中在坡顶、坡肩与坡顶后缘位置;随着变倾角系数的增大,边坡失稳临界加速度相应增大. 研究结果可为层状堆积体基覆型边坡工程的抗震设计、稳定性评价和防灾减灾提供科学依据.
现阶段关于垃圾土抗剪强度参数的研究大多基于室内垃圾土试样开展,通过室内试验获得的参数往往与实际参数有较大差别,导致垃圾填埋场变形计算误差较大. 针对室内试验引起的误差问题,依托在建垃圾填埋场封场修复工程,通过开展垃圾土现场大型直剪试验和室内小尺寸直剪试验,与文献试验结果相比较,分析垃圾土抗剪强度参数的影响因素和变化规律. 结果表明:垃圾土抗剪能力高于传统土体,随着剪切位移增加,剪切应力持续上升并趋于稳定;垃圾土密度与抗剪强度呈线性正相关,当密度从 750 kg/m3 增至 950 kg/m3 时,黏聚力从 22.5 kPa 增至 34.5 kPa,摩擦角从 36.7°降至 30.2°;室内小尺寸剪切盒试验所得黏聚力均值(14.91 kPa)较现场大尺寸试验(21.18 kPa)低 6.27 kPa,而摩擦角均值(35.17°)较现场试验(28.56°)高 6.61°.
针对具有复杂气液界面拓扑变化的两相流动问题,构建一种能够兼顾计算效率与界面解析精度的数值模拟方法. 首先,采用具有树状数据结构的四叉树/八叉树笛卡尔网格进行空间离散,利用其层级结构实现动态网格自适应;其次,在自适应网格框架下实现连续表面力(CSF)模型,通过对体积分数进行两次卷积模糊化处理,平滑地将表面张力分布至界面邻域,并结合分段线性界面重构技术准确追踪气液界面;随后,建立网格加密准则,同时考虑基于流场速度小波分析的离散误差和界面处的曲率分布,以实现对流场剧烈变化区域及相界面的动态加密;最后,通过经典气液两相流算例验证算法的准确性与可靠性. 研究表明:在表面张力Laplace律验证中,采用界面曲率为细化准则时,其内外压力差计算误差仅为3.0%,远优于基于体积分数准则的7.5%~24.0%误差,且精度与均匀细网格相当;所提方法较均匀细网格可降低约一个数量级的计算耗时;在表面张力波计算中,数值解与正则模态理论解的均方根误差可低至10−5量级;在双元液滴正碰模拟中,准确复现了实验中观测到的哑铃形与菱形变形序列,并捕捉到气膜破裂及微小气泡形成等复杂界面拓扑演化细节.
为研究带扩大桩靴桩侧同步灌浆预制桩(简称GET桩)的抗拔特性,开展室内砂土模型箱抗拔试验. 首先,通过连接PVC管和扩大件组装成带扩大桩靴的预制桩模型;然后,在桩身布设应变传感器,并在桩顶安装加荷装置和重力传感器;随后,通过在桩顶施加荷载获得不同桩型的抗拔曲线;最后,对比等截面桩、带扩大桩靴桩和带扩大桩靴桩侧灌浆桩的抗拔承载特性,并讨论扩底和灌浆对抗拔承载特性的影响. 试验结果表明:GET桩有效提升桩的抗拔承载力,在小位移下,扩大桩靴的存在使桩的抗拔承载力较等截面桩提高1倍,而桩侧灌浆使得其提升5~6倍;此外,GET桩改变了等截面桩的侧摩阻力发挥特性,扩展桩靴能提高总侧摩阻力的发挥速度和最大值,并在抗拔过程中提供一定的桩端阻力,灌浆能增强桩侧和桩端的阻力,为桩体的上半段总侧摩阻力提供初始总侧摩阻力,并倾向于将更多的荷载分配给扩大桩靴.
双边直线感应电机(DSLIM)推力波动引发的系统振动问题,在高速电磁推进、轨道交通和工业驱动等精确控制领域迫切需要解决. 本文深入研究双边直线感应电机次级结构,提出一种箭形次级设计方案,以减小DSLIM的推力波动. 首先,推导箭形次级的关键形状参数,建立包含平板次级、方形错位次级及箭形次级的DSLIM三维有限元模型,分析其推力输出特性;然后,对比不同次级结构涡流分布特征与分层推力分布特性,阐明箭形次级抑制推力波动的作用机理;最后,利用三维瞬态有限元模型,对比运动工况下优化前、后箭形次级结构的推力. 结果表明:优化后的箭形次级通过优化端部涡流路径改善次级导体利用率并提升推力波动抑制效果,在工作滑差附近区域,推力波动率可降至2%以内,相同质量下推力可达到21.51 kN,较方形错位次级提升1.03%.
针对非正交多址(NOMA)和终端直通(D2D)技术在提高异构蜂窝网络容量的同时所带来的严重干扰问题,提出一种高效的资源分配算法以提升系统和速率. 首先,构建智能超表面(RIS)辅助的异构蜂窝NOMA-D2D通信网络模型,在用户信干噪比、发射功率以及RIS相移的单位膜等约束下,建立以最大化D2D用户和速率为目标的优化问题;该问题属于混合整数非线性问题,难以直接求解,为此,将其解耦为D2D用户-蜂窝用户(CU)匹配、D2D用户功率控制与RIS反射相移优化3个子问题;再此基础上,采用二分图最大匹配算法完成D2D簇信道分配,并提出一种基于深度确定性梯度策略(DDPG)的深度强化学习算法,实现对D2D发射功率与RIS相移矩阵的联合优化. 仿真结果表明,在相同条件下,所提算法相较于博弈算法、随机相移算法和无RIS辅助算法,D2D链路和速率的平均值分别提升了1.96%、10.64%和14.29%,验证了其在干扰抑制与频谱效率改善方面的有效性.
为给高温超导钉扎磁浮系统提供较为符合实际的几何不平顺轨道谱,开展考虑结构周期性的高温超导磁浮永磁轨道不平顺谱研究. 为实现包含结构周期性的永磁轨道不平顺谱表征和反演,首先建立高温超导磁浮桥梁、永磁轨道有限元模型,对其施加磁浮列车移动荷载获取最不利荷载作用位置并提取该点位移作为动态不平顺;其次,考虑桥梁徐变上拱造成的永磁轨道变形,叠加列车荷载下周期性动态不平顺结果形成轨道周期性不平顺样本;进一步,考虑永磁轨道拼装随机误差,基于白噪声滤波法得到永磁轨道随机几何不平顺样本,与周期性不平顺叠加,形成永磁轨道不平顺谱;采用4阶多项式和洛伦兹函数对永磁轨道不平顺谱进行拟合,并基于逆傅里叶变换反演拟合谱,以检验拟合算法的有效性;最后,分析列车速度变化对永磁轨道不平顺拟合谱的影响. 结果表明:列车荷载速度变化对永磁轨道不平顺谱的影响主要集中在波长3~100 m范围内;当速度接近与桥梁共振的临界速度时,永磁轨道拟合谱反演不平顺幅值变化较为显著. 本文得到的不平顺谱可方便地应用于高温超导磁浮车辆动力学计算中,为不同速度等级高温超导磁浮列车动力学分析与设计优化提供输入.
为研究深海水合物开采立管由内部气-液-固三相流和外部海洋载荷耦合作用下非线性振动失效问题,首先,采用有限元法、哈密顿原理和能量法建立深海水合物开采立管气-液-固三相流致振动模型,该模型考虑了海洋涡激效应、气-液-固三相流致效应、水合物动态分解以及海洋平台升沉等多因素的联合作用;其次,采用相似原理研制内外流激励下开采管柱非线性振动模拟实验装置,验证非线性振动模型的正确性;最后,利用频域和时域分析方法探讨外部环境参数和多相流参数对立管非线性振动响应的影响规律. 研究结果表明:立管的横流向振动幅值比顺流向振动幅值更高,同时内流参数的变化对横流向振动的影响更显著;立管纵向振动由重力与平台升沉导致的低频高幅振动和内外流场载荷诱发的高频低幅振动组成;剪切流流速的增大会大幅增加立管的顺流向位移,从而抑制立管的横流向振动;内流排量和水合物丰度的增大会增强内流对立管的激励作用,使其振动更加剧烈;水合物粒径的增大会减弱内流对立管的激励作用,使其顺流向振动幅值减小;当剪切流流速达到1.4 m/s,水合物丰度达到80%以及水合物粒径达到7 mm时,立管将产生共振现象,振动幅度显著增强.
为探究钢轨波磨耦合车轮凹磨对高速列车轮轨系统动力学特性的影响,并确定高速铁路钢轨波磨的安全限值,基于车辆-轨道耦合动力学理论,结合现场调研获取的某线路钢轨波磨实测数据,构建CRH3型高速列车的车辆-轨道刚柔耦合动力学模型;将钢轨波磨和武广轨道谱叠加作为不平顺激励输入,探讨不同波长和波深的钢轨波磨对轮轨动力学特性的影响;探究不同运营里程的车轮凹磨与钢轨波磨的耦合作用,分析其对车辆各子系统振动加速度的影响,并在此基础上提出钢轨波磨安全限值. 研究结果表明:钢轨波磨显著增加轮轨垂向力,车轮凹磨和波磨耦合作用下进一步加大了轮轨力的响应,且凹磨越严重,轮轨力越大,运行20万公里的磨耗轮的轮轨垂向力相较于新轮增加了10.8%;考虑车轮凹磨,平均运行速度为300 km/h的高速列车建议50、80、100、120、150 mm钢轨波磨的波深安全限值为0.023、0.036、0.05、0.054、0.069 mm. 实际应用中,应结合具体运营条件和轨道结构调整维护策略,波深超出安全限值后应及时打磨.
涌水突泥是岩溶隧道常见的地质灾害之一,对隧道施工安全和长期运营构成严重威胁,确保掌子面抗突体的安全性是防控涌水突泥灾害的关键. 本文围绕强渗流作用下掌子面抗突体的稳定性问题,构建隧道掌子面强渗流裂隙抗突体的力学分析模型;充分考虑水流在贯通裂隙壁面上产生的拖曳力效应,系统推导强渗流作用下岩溶隧道抗突体的最小安全厚度公式;结合参数敏感性分析和工程实例,采用有限差分软件FLAC3D进一步分析掌子面前方含贯通裂隙和富水溶腔下隧道开挖围岩的稳定性,深入探讨关键参数对抗突体稳定性的影响机制. 研究结果表明:裂隙开度的增大显著增强了拖曳力的作用效果;强渗流条件下,裂隙拖曳力对抗突体最小安全厚度具有显著的不利影响,且其影响程度随着裂隙开度的增加非线性增强;在不同位置分布,裂隙对最小安全厚度的影响有显著差异,存在一个临界过渡点(悬臂梁Ⅰ、Ⅱ长度比为 5.07∶4.93),在该过渡点,裂隙上、下梁板发生同步破坏,进一步揭示了裂隙位置与结构失稳之间的内在关联. 研究成果可为岩溶隧道掌子面抗突体厚度设计、岩溶灾害治理(如注浆封堵、裂隙加固与渗流控制)以及施工期风险分级与监测预警指标选取提供理论依据与工程指导.
为建立用于地铁振动噪声数值仿真预测的轮轨宽频激励模型,依托北京地铁线路实测轨道长波不平顺、钢轨表面粗糙度和青岛地铁实测车轮踏面不圆顺数据,开展地铁轨道长波不平顺选取与轮轨短波粗糙度谱研究. 首先,采用Welch法对实测轨道不平顺数据进行功率谱密度估计,并给出了钢轨短波不平顺功率谱和车轮不圆顺功率谱表达式及其拟合参数;长波方面,以速度等级对应的单项高低TQI值相近原则选取典型轨道谱;短波方面,以四分位数分别将钢轨表面短波不平顺功率谱和车轮不圆顺功率谱划分为五个等级,并考虑二者相干性提出轮轨粗糙度谱. 研究结果表明:依据单项高低TQI值相近原则,选取的美国六级谱与北京设计速度80 km/h的地铁线路轨道长波(1~42 m)不平顺功率谱吻合良好;钢轨表面短波不平顺功率谱和车轮不圆顺功率谱在同一短波波长下幅值分布均具有显著的偏态分布特征;短波0.01~1.00 m内的不同等级大小轮轨粗糙度谱主要受车轮不圆顺谱主导,严重时甚至超过了铁科院短波谱.
短初级直线感应电机(SPLIM)在运行过程中同时存在纵向动态端部效应与铁心饱和效应,二者相互耦合且呈非线性,导致其等效电磁参数难以通过传统解析法精确计算. 为此,提出一种考虑多因素耦合影响的短初级直线感应电机等效电磁参数解析计算方法. 首先,分析多因素耦合影响下短初级直线感应电机的改进等效电路;其次,建立短初级直线感应电机的一维电磁场模型和考虑铁心磁阻的磁回路,并根据安培环路定律导出包含速度因子和铁心磁导率的气隙磁密的微分方程,再通过迭代法和铁心磁化曲线计算各个位置的气隙磁密;然后,根据磁链法和等效损耗法分别计算不同工况下的励磁电感和次级电阻;最后,在ANSYS Maxwell中建立短初级直线感应电机的瞬态场仿真模型进行对比验证. 结果表明:励磁电感解析结果相较于有限元结果误差最大为6.8%,次级电阻解析结果相较于有限元结果误差最大为6.4%;基于所得等效参数计算的推力与试验数据吻合良好,进一步验证所提解析方法的准确性.
为系统揭示堆石坝粗粒料的细观力学机制和宏观力学响应机理,克服传统连续介质方法在力链演化与颗粒破碎模拟方面的局限性,发展了一种适用于粗粒料三轴试验的连续-非连续变形分析方法. 该方法在传统非连续变形分析方法(DDA)基础上,引入混合位移模式以区分不同块体的力学响应;采用临界阻尼加速计算收敛,并提出新的连续-非连续模拟技术以刻画颗粒破碎过程;通过常规三轴数值试验系统分析粗粒料在加载过程中的变形演化、力链发展、颗粒破碎及剪切带形成等力学行为,重点探讨尺寸效应与端部摩阻力的影响. 结果表明:该方法模拟结果与试验数据结果吻合良好,能够有效反映粗粒料的宏观力学响应与细观机制;围压0.4 MPa时,尺寸效应可使峰值应力提高21.3%,而在3.0 MPa高围压下对峰值应力影响不显著;端部摩阻力在3.0 MPa围压下可使峰值应力提升约7.4%. 研究成果为深入理解粗粒料力学特性提供了有效的数值分析手段.
针对现有CFRP板锚固技术中挤压应力横向分布不均匀导致板材承拉后易撕裂破坏,难以控制螺栓预紧力的问题,本文研制了双曲面CFRP板锚具,其主要构造特征为外夹板设有横向圆弧面(可使CFRP板所受挤压应力横向分布较均匀),内夹板设有纵向圆弧面(可充分挤压锚固区中段,避免端口处剪切破坏);通过限位片控制外夹板挤压位移,以实现所需的预紧力锚固CFRP板;对6组新型锚具试件进行锚固性能试验,探究其受力机理;利用ANSYS有限元软件进行受力模拟,深入分析影响锚固性能的关键参数,同时与平板式锚具的受力性能展开对比. 研究表明:外夹板厚度是影响CFRP板挤压应力横向分布不均匀的主要因素,当外夹板厚度为27 mm时,CFRP板挤压应力横向分布较均匀,最大与最小压应力之差仅为9.3 MPa;内、外夹板的弧面设计优化了CFRP板挤压应力分布状态,同时减小了碳纤维间的应力差,使CFRP板的横向变形更同步;试件破坏状态为撕裂破坏,但新型锚具锚固效率系数可达104.16%.
随着桥梁抗震设计理念逐步由基于性能向面向韧性转变,当前的研究重点不仅在于保障结构在地震作用下的安全性,更需关注桥梁在震后通行功能的保持与恢复能力. 铁路桥梁作为交通网络的关键节点,其震后通行能力直接关系到线路的运营效率与震区恢复进程. 基于此,提出一种剪切型黏弹性阻尼器,通过控制主梁相对横向错位来降低轨道损伤风险,进而提升桥梁震后通行功能. 以某5跨典型铁路桥梁为例,对比分析无限位装置(NC)、仅设钢挡块(SR)和钢挡块 + 剪切型粘弹性阻尼器(DP)3种约束下的通行功能易损性、震后功能恢复能力及抗震韧性. 分析结果表明:1)提出构件恢复权重系数的概念,为构件修复次序确定提供了定量指标;2)所提出的剪切型黏弹性阻尼器能够显著控制梁缝处主梁横向相对位移,在强震作用下有效降低轨向不平顺程度,提升桥梁的震后通行功能;3)在钢挡块基础上增设黏弹性阻尼器可显著缩短震后修复时间,尤其在较高地震动强度下(如地震动加速度PGA为0.8
组构各向异性是影响砂土力学特性的重要因素,进而对盾构隧道开挖过程中地层扰动产生显著影响. 为探究组构各向异性对砂土地层扰动特性的影响,基于二维离散元方法,创建具有重叠的类椭圆簇颗粒,长轴取向被特定排列以形成不同各向异性的砂土试样,长轴取向与水平沉积方向为层理角;进行二维代表性体积单元(RVE)代表单元体双轴实验,并将数值模拟所得到的峰值摩擦角与已有文献中的实验结果进行对比验证;生成具有不同层理角的地层,隧道开挖地层损失依据Park地层损失假定. 模拟结果表明:当在各向异性地层中进行盾构隧道开挖时,隧道中轴线两侧扰动范围出现不对称效应;地表沉降曲线分为影响区、扩展区与削弱区,层理角对地表沉降的影响仅表现在影响区、扩展区;地表沉降槽中最大沉降的最大值出现在层理角为0° 的试样中,为0.037 m;层理角为45° 的试样中最大沉降最小,为0.011 m;随着层理角增大,45° 左侧的最大沉降呈线性上升趋势,右侧呈线性下降趋势;隧道主应力的偏转与位移偏转造成的不对称效应一致;层理角为0° 和90° 的试样中,接触法向分布的主方向未发生改变.
针对永磁电磁混合悬浮系统零功率控制中电流积分导致的饱和、响应滞后与抗扰能力不足的问题,综合考虑系统空载起浮和负载变化2种工况,提出一种基于高阶滑模观测器的模糊双适应零功率控制方法. 首先,基于系统数学模型,设计高阶滑模观测器,实现对集总干扰和误差变化率的估计;其次,根据观测器输出在PD控制器中引入前馈补偿,完成对悬浮间隙的快速稳定跟踪和干扰力的动态补偿;进一步分析电流积分在系统空载起浮和负载变化工况下对系统动稳态性能的影响;最后,提出模糊双适应算法,借助二维模糊算法在线优化电流环积分系数,并基于双曲正切函数的动态调节学习率,从而根据系统动态特性自适应调整积分增益权重,有效抑制积分饱和并提高系统响应速度. 研究结果表明:在空载起浮工况下,所提方法的仿真与实验响应时间分别为0.12 s和0.25 s,且均无超调;在负载突变工况下,仿真与实验响应时间分别为0.10 s和0.15 s,亦无超调;在负载连续变化工况下,电流误差不超过 ±0.35 A,且无超调;与固定学习率和固定电流积分系数方法相比,所提方法响应时间最少缩短了14.2%,且超调为0.
为探究持续制动条件对车轮踏面最大温度及温差的影响,明确车轮热负荷特性,以闸瓦-车轮踏面摩擦副为研究对象,基于1∶1 制动试验台开展超长大坡道持续制动试验;通过改变制动压力、制动速度及制动持续时间3个关键参数,分析制动过程中踏面温度的分布规律. 结果表明:制动速度由40 km/h增至70 km/h时,在制动0~
为了满足铁路桥梁行车性能的需求,需要控制其成桥线形的平顺性. 基于行车平稳性分析,确定车体敏感波长的范围,并将其成桥线形幅值作为评价指标;从保证行车性能角度出发,结合无砟轨道自身调节能力、轨面线形与成桥线形的关系,推导出成桥线形不平顺限值表达式;以某七跨连续钢桁梁桥为研究对象,根据推导的表达式控制车体敏感波长范围内的成桥线形不平顺幅值;组合Akima样条曲线和主梁拼装曲线,提出一种基于成桥目标线形的主梁拼装线形平顺性控制方法. 研究结果表明:列车行驶速度250~350 km/h时,车体敏感波长均小于200 m;以某七跨连续钢桁梁桥为例,速度350、300、250 km/h对应车体敏感波长范围内,成桥线形不平顺限值分别为24、26、29 mm;通过提出的控制主梁拼装线形平顺性方法,能够对主梁拼装线形中0~200 m波长范围内的不平顺幅值进行评价和控制.
为阐明有机物污染场地挥发性有机物(VOCs)分布迁移特征,在某化工厂遗留场地布置120个土壤和48个土壤气采样孔,在重污染区14个钻孔内采集97对土壤/土壤气样品,通过试验室分析样品污染物含量,并借助Sufer软件分析污染物分布特性,结合地层岩性分析三氯乙烯(TCE)分布迁移特征,基于预测值和实测值对比对2种土壤气VOCs含量预测模型适用性进行分析. 结果表明:随孔深增加,重污染区土壤TCE浓度下降,超标率50.4%,最大值位于黏质粉土层(
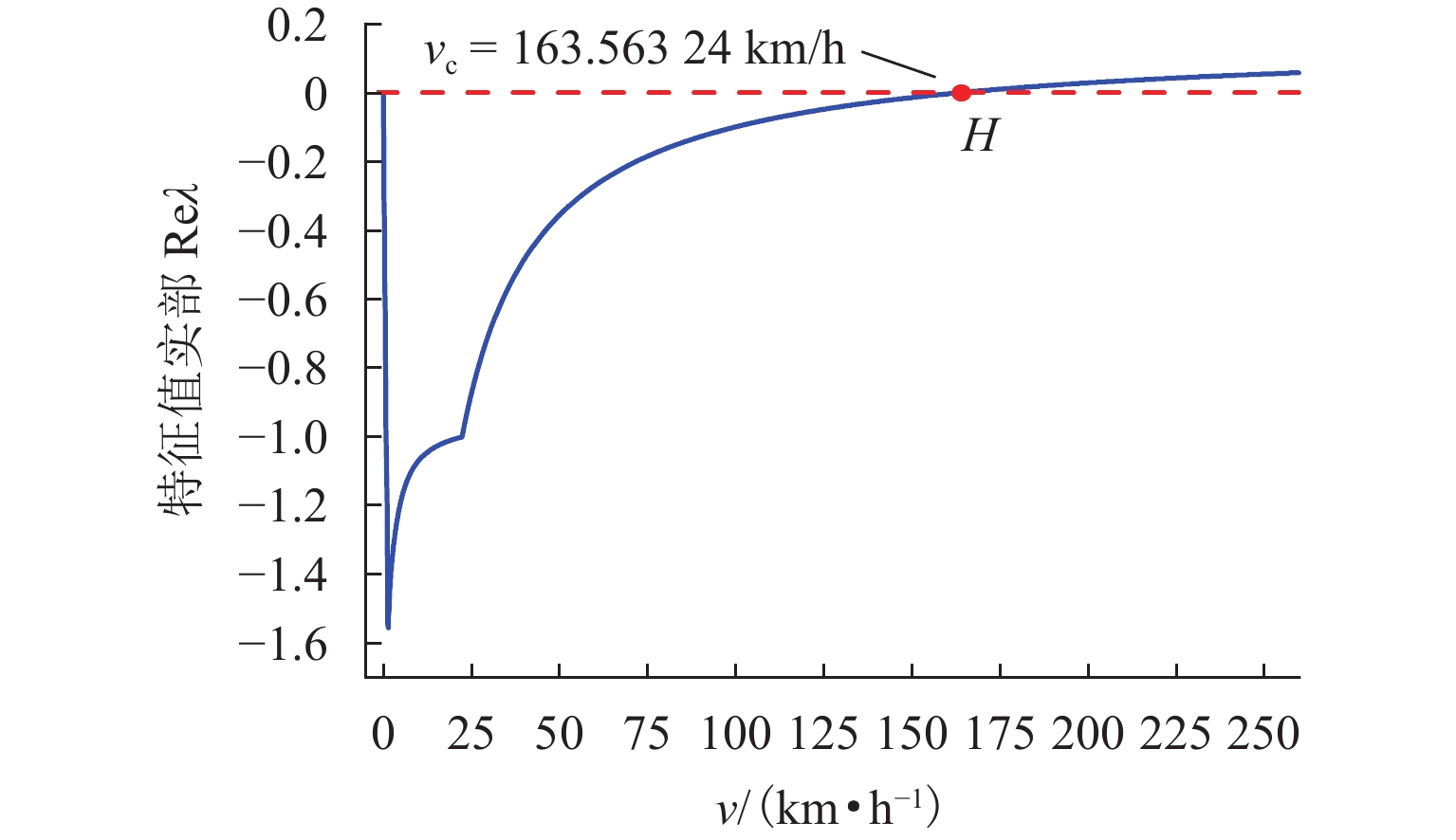
为探究跨座式单轨车辆转向架的稳定性问题,基于轮轨接触关系下轮胎力学特性的空间激扰,对跨座式单轨车辆转向架系统进行Hopf分岔特性分析. 首先,建立考虑空间激扰的三自由度车辆转向架非线性动力学模型;其次,采用Hurwitz稳定性判据求解转向架系统的临界速度,引入中心流形稳定性指标判断系统的Hopf分岔类型,并利用MATCONT工具包对理论分析结果进行数值验证;最后,探讨不同空间激扰条件对转向架系统稳定性的影响. 研究结果表明:在低速运动状态下转向架以2.4 Hz的侧滚运动为主,中高速运动状态下主要表现为摇头和侧滚的耦合运动为主,频率在1.3 Hz~2.4 Hz;当速度达到163.563 24 km/h时,系统发生超临界Hopf分岔,出现稳定极限环,且在速度为163.563 60 km/h时发生鞍结分岔,系统又出现不稳定极限环;空间激扰作用下,转向架的临界速度随导向轮径向刚度和稳定轮径向阻尼的增大而减小,随导向轮径向阻尼、稳定轮径向刚度以及走行轮径向刚度和阻尼的增加而提高;此外,转向架结构参数的改变可引发系统超临界与亚临界Hopf分岔之间的迁移,为避免亚临界Hopf分岔导致系统运动状态突变,应合理设计转向架的结构参数.
优化机车结构参数以减轻轴重转移是提高机车黏着利用率的主要手段. 针对某型机车牵引杆结构参数对轴重转移影响机理尚不明晰的问题,本文基于准静态平衡建立考虑牵引杆转动的轴重转移理论计算模型,并基于Sobol灵敏度分析方法探明牵引杆各个参数对轴重转移的影响程度,进一步分析牵引力大小、牵引杆橡胶套刚度和牵引杆位形参数对机车轴重转移的影响. 结果表明:考虑牵引杆转动时,理论模型计算结果与Simpack动力学模型计算结果更接近,理论模型计算效率显著高于动力学模型;牵引杆初始倾斜角度对轴重转移的影响较其他牵引杆参数更大,牵引杆的转动导致各轴的轴重随牵引力非线性变化;牵引杆橡胶套径向刚度超过160 MN/m后,机车轴重转移变化趋于平缓;牵引杆橡胶套偏转刚度由20 N m/rad增加至500 N m/rad,机车轴重转移量增大了25.7%;牵引杆构架端距轨面高度由0.05 m增加至0.80 m时,机车轴重转移量增大了84.3%;牵引杆构架端距构架质心纵向距离由0.5 m增加至3.5 m时,机车轴重转移量减小了30.4%;牵引杆初始倾斜角度在11° 左右时,牵引杆的转动角度接近于0;牵引杆初始倾斜角度在13~14° 时,二位和三位轮对的轴重转移接近于0.
针对传统钢-聚合物纤维混杂体系密度大、易腐蚀等问题,探讨PVA纤维、PP纤维和POM纤维3种聚合物纤维的混杂效应对纤维增强水泥基复合材料(FRCC)工作性能和力学性能的影响. 设计12组试件,包括单掺纤维和PVA与POM、PVA与PP、POM与PP纤维混杂的不同组合,进行流动度、抗压、抗折、单轴拉伸及四点抗弯测试,系统分析各组性能并进行综合性评估,同时,结合光学高倍显微镜分析混杂纤维的作用机理. 结果表明:混杂纤维能够有效弥补单一纤维的不足,显著提升FRCC的综合性能. A0.5M1.5P0流动度较单掺PVA纤维增加18.62%,A1M1P0抗折强度为14.53 MPa,较单掺POM纤维提升24.94%;A0M1.5P0.5抗压强度为73.33 MPa,较单掺PP纤维提升25.50%;A1.5M0.5P0具有最佳的拉伸性能,拉伸强度为3.36 MPa,应变能密度为54.2 kJ/m3,较单掺POM纤维分别提升54.13%、
针对河套灌溉盐渍土地区再生混凝土结构耐久性不足问题,模拟该地区典型地貌环境,将混凝土试件置于干湿−冻融环境中以探究硫酸钠侵蚀规律与机理. 以混凝土类型、水灰比及硫酸钠溶液浓度为试验变量,选取质量评价参数
磁悬浮轴承是一种通过磁力作用使旋转轴悬浮在平衡位置,从而消除转子与定子之间接触摩擦的装置. 区别于传统轴承的支撑方式,磁轴承凭借无接触特性,在转速提升、控制精度优化及低能耗方面展现出显著优势,能够实现高速运转、精确控制与零摩擦运行的核心需求,已广泛应用于工业生产、飞轮储能、航空航天、高速机床等关键领域. 然而,随着现代工业对高性能轴承需求的不断增长和低碳环保理念的持续深入,磁悬浮轴承的技术升级与性能突破成为行业发展的迫切需求,相关研究也受到学术界与产业界的广泛关注. 本文系统综述了磁悬浮轴承的研究进展,依据悬浮力产生方式(吸力型、斥力型)明确其分类体系,进而围绕磁轴承系统的拓扑结构设计、数学建模、控制策略等核心研究内容展开梳理,全面呈现当前技术研究现状. 当前研究虽在基础理论与工程应用层面取得阶段性成果,但仍面临高温/高速工况下的稳定性控制、永磁体退磁防护、系统集成小型化、成本控制等关键技术瓶颈. 未来研究应聚焦多场耦合机理深化、智能控制算法融合、轻量化与低成本设计等方向,为磁悬浮轴承在更极端工况与更广泛领域的规模化应用提供技术支撑.
磁性液体振动能量采集器在低频振动环境中具有鲜明的技术优势,在机械振动监测、微纳传感器和人体可穿戴设备供电等领域具有广阔的应用前景. 随着能源需求的日益增长和环境问题的日益突出,开发高效、可靠的振动能量采集技术已成为当前研究的热点. 将磁性液体应用到振动能量采集器中,可降低能量采集器的频响阈值,提高能量采集器的能量采集效率. 这种创新性设计不仅能够有效拓宽振动能量采集器的应用范围,还能为微电子设备提供稳定的能量来源,具有重要的理论意义和实际应用价值. 本文通过对国内外磁性液体振动能量采集器研究现状进行综述,详述电磁和摩擦电2种不同形式振动能量采集器的最新研究进展,在此基础上分析磁性液体振动能量采集器设计中磁性液体材料性能及壁面特性对其电学输出性能的影响,壁面材料的表面粗糙度和亲疏水特性也会显著影响摩擦电式能量采集器的输出性能. 因此,如何优化磁性液体材料性能和壁面特性以提高能量采集器的输出性能以及设计高效的能源管理系统以实现能量的稳定输出和有效利用,是未来研究的重要方向. 最后对磁性液体振动能量采集器未来发展的趋势进行展望,以期为相关研究提供参考.
高速铁路无缝道岔与相邻轨条的连接质量是确保列车平稳运行的关键结构,而焊接是广泛存在于高速道岔区的主要连接方式之一. 为研究焊接不平顺引起的轮轨冲击问题对高速道岔行车安全性和稳定性的影响,基于显示积分算法构建了考虑实际焊接接头不平顺的轮轨冲击模型;分析了不同焊接不平顺下的轮轨动态响应在时、频域的分布特性,并结合现场试验对仿真结果进行了验证;探明了高速条件下焊接接头几何不平顺对轮轨动态冲击行为和钢轨受力特性的影响. 研究结果表明:轴箱加速度时频图主要存在三个明显的高频振动能量峰,其频率主要集中在300、750 Hz和
为探明大直径盾构隧道管片结构在极限荷载下的力学特性,首先,采用多功能盾构隧道结构体加载装置对苏通GIL综合管廊工程盾构管片结构开展原型加载破坏试验;其次,分析极限荷载下管片结构变形、内力、接缝变形、螺栓和钢筋应变等力学响应规律;最后,结合裂纹形态,揭示管片结构的破坏特征及机理. 研究结果表明:管片结构的变形呈“横鸭蛋”形态,弯矩呈现“蝶”形态,轴力呈现“圆”形态,最大单点变化率为10.3‰,最大正弯矩为
针对传统摩擦模型在预测超高强度钢成形过程数值模拟精度较低问题,本文基于自主研发的超高强度钢冲压摩擦试验机,研究滑动速度和法向载荷对CP780超高强度钢摩擦行为的影响;建立滑动速度与法向载荷相关的超高强度钢冲压成形动态摩擦系数模型;通过U形弯曲试验与仿真模拟相结合验证模型的有效性. 研究结果表明:CP780板料摩擦系数其随着滑动速度的增大而增大,随着载荷的增大而减小;在低载低速条件下,CP780板料的磨损机制主要为犁削效应;在高速高载条件下,其磨损机制主要为犁削效应和部分黏着效应;通过U形弯曲试验的回弹测试值与数值模拟结果比较得到,动态摩擦模型预测的回弹角
为解决船舶过坝货流分配不均衡导致的水利枢纽通航拥堵问题,以船舶额外过坝总成本和等待时间为双目标,建立货流分配优化模型;进一步引入面向水运新通道过坝模式的服务收费机制,分析其对船舶货流转移规律的影响;然后,运用非支配排序遗传算法(NSGA-Ⅱ)对模型进行求解,提出过坝船舶货流分配优化方案. 最后,以三峡枢纽为例,验证所提模型和算法的有效性. 试验结果表明:该算法可求得多组Pareto前沿解,提供多样化的船舶货流分配方案,船舶额外过坝总成本与其等待时间呈显著负相关关系;双模式和多模式过坝系统的船舶货流分配方案,均能实现降本增效目标,且多模式系统的优化方案可使额外过坝总成本和等待时间分别降低67.1%和0.5%;与初始调度方案相比,船舶货流分配方案使得至少33.4%的船舶货流出现过坝模式转移,缓解了水利枢纽通航拥堵;且合理的水运新通道服务费率设置,可有效降低船舶过坝成本和提高过坝效率.
为提高电磁悬浮系统抗干扰能力,提出一种基于扰动上界补偿的自适应非奇异终端滑模控制(ANTSMC-DUBC)策略. 该策略采用基于扰动上界补偿的非奇异终端滑模控制(NTSMC-DUBC)加快系统状态的收敛速度并避免奇异性, 到达控制律中的扰动补偿项能够抑制集总扰动,从而选择更小的开关增益来减小抖振;设计一种可随滑模函数状态自适应变化的开关增益,在保证系统动态性能的同时提高系统的稳态性能和扰动补偿效率;理论推导证明了所设计的悬浮控制器满足李雅普诺夫稳定性判据. 实验结果表明:所提出的ANTSMC-DUBC控制器在信号跟随、抗干扰和加减载实验中表现出良好的稳态性能和动态性能,并在面对系统内外扰动时具有出色的抗干扰能力;相较于NTSMC,ANTSMC-DUBC面对等效外力干扰时间隙波动小于0.21 mm,系统均方根误差和时间乘积绝对值误差分别降低56.26%和57.57%;进行1.5 kg加减载时最大间隙波动为0.22 mm,没有稳态误差.
为提升高速磁浮牵引供电系统的经济性,基于改进遗传算法提出一种供电分区与定子段长度的优化设计方法. 首先,通过分析双端供电模式下的等效电路建立牵引系统的数学模型,结合追踪间隔时间与牵引性能约束推导出供电分区的有效范围为20~40 km;然后,基于换步控制与牵引性能约束确定定子段的设计长度为600~
随着智能技术发展的不断发展,交通系统向着自主化、无人化的运转方式转变. 为明确不同自主化水平ATS的技术特点与功能优势,通过量化ATS的代际演进标准、评估系统拓扑结构和模拟分析ATS代际演进路径,将ATS解构为系统、场景、功能、技术、服务等5个层次;针对交通场景、交通主体、交通服务之间的链路关系,以各功能所需技术类型及其发展水平的量化值为链路路阻,基于经典网络理论提出面向ATS的分层可演进架构模型;以道路交叉口场景下的优先通行服务为例,通过调查问卷标定链路路阻,深入剖析ATS交通主体间的作用关系、功能实现和信息流动. 研究结果表明:增加互操作链路可以显著提升ATS的自主化水平,其中,“人类参与度将降至10%以下”将成为完全自主化水平达成的关键节点;本文所提出的分层可演进架构模型为ATS代际演进提供了量化分析框架,填补了现有理论在系统级动态演进建模方面的空白. 研究成果可为交通管理部门制定ATS发展规划提供决策支持,为技术研发优先级设定提供量化依据.
为保障全断面隧道掘进机(TBM,Tunnel Boring Machines)在复杂地形下安全、高效运行,需明确多滚刀协同破岩时滚刀的载荷特性,并分析各种刃形滚刀在不同地层中的性能表现. 为此,建立多滚刀协同破岩的颗粒流离散元数值模型,分析平顶、圆顶2种刃形滚刀在不同岩石强度、刀盘转速下的载荷特性,并通过多刀破岩试验对数值分析主要结果加以验证. 结果表明:在给定贯入度条件下,圆顶滚刀所需法向总推力较平顶滚刀低23%~50%,其破岩体积与比能亦低10%~20%;不同安装半径滚刀所受载荷有所差异,最内、最外侧滚刀仅与相邻单侧滚刀形成协同破岩作用,其切削力较邻刀高约30%,故滚刀切削力的均值与标准差随安装半径增大呈两端高、中间低的“W”形分布;2种刃形滚刀法向力的均值与标准差均呈正相关,但在相同法向推力水平下,平顶滚刀的法向力标准差较圆顶滚刀低37%~50%,表明圆顶滚刀可能引起更为剧烈的振动;此外,随刀盘转速的提高,2种滚刀的切削力均相应增大,其中平顶滚刀对转速变化更为敏感.
为解决折板型竖井在气爆过程中产生高速气水混合物而导致的结构及地面安全风险,采用数值模拟方法系统研究竖井内水体空泡份额和联络管直径对竖井压强和气爆强度的影响程度,分析竖井底部折板冲击荷载变化规律,提出在竖井中部设置限流孔板以控制气爆喷射强度. 研究结果表明:联络管压强随着空泡份额的提升先减小后增大,并在0.2~0.4内出现最小值;3种不同管径比中,联络管与竖井的直径比为1/2时,气爆喷射强度最为强烈;折板冲击荷载自下而上不断递减,同一折板上靠近中隔板和竖井壁一侧的冲击荷载均大于折板边缘上荷载;在竖井中部设置限流孔板能有效控制气爆强度,同时,限流孔板受到的冲击荷载为竖井底部折板荷载的10倍;研究成果为城市深隧排水系统安全运行提供参考.
为提升装配式桥墩的工业化水平,研发与超高性能混凝土(UHPC)桥墩性能相匹配的连接形式,提出一种外置式预应力连接接头及其张拉工艺,并通过足尺试验验证该构造和工艺的可行性;结合有限元分析,研究接头预应力和轴压比对UHPC桥墩性能的影响,并基于能力设计法提出预应力接头的设计方法. 研究结果表明:采用外置式预应力连接接头的装配式桥墩发生了典型的弯曲破坏,桥墩墩身UHPC混凝土被压溃,但桥墩与承台接缝处未出现界面分离;预应力高强钢筋的应力变化和桥墩水平荷载基本呈正比,并且变化幅度最大仅为9%,表明试件采用的外置式预应力连接接头的连接性能可靠,结构整体性能好;当桥墩高强钢筋张拉力较小时,桥墩和承台接缝处会出现接缝开口,装配式桥墩的刚度将减小,但对试件的峰值承载能力基本没有影响.
针对自主式交通系统中自动驾驶车辆的换道决策难题,提出一种基于不完全信息动态博弈的换道决策模型. 首先,基于博弈论思想,明确换道意图判断、博弈换道条件以及模型求解等核心问题,并建立相应的博弈框架;为优化收益函数,构建一个综合考虑安全性、效率性和舒适性的多目标收益函数,选择合适的特征对各目标收益进行量化处理,并结合逆强化学习方法从NGSIM数据中学习权重分配,确保了决策的多维度考量. 实验结果显示:无论是在博弈成功还是失败的交通场景中,所提模型都能有效提升决策的安全性和效率;相较于传统的防御型换道模型,该模型在提高行驶效率方面表现更为优越,展现了其在自动驾驶换道决策中的实用性和优势;此外,通过SUMO仿真验证,模型在真实高速公路场景中表现出良好的安全性和通行效率,能有效适应交通流变化,保障车辆安全高效行驶,验证了其在自动驾驶换道决策中的实用价值.
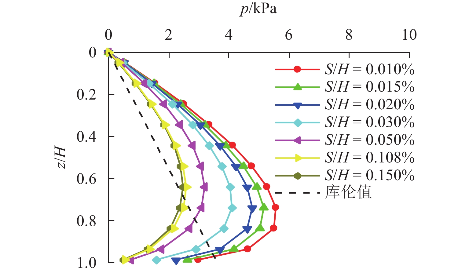
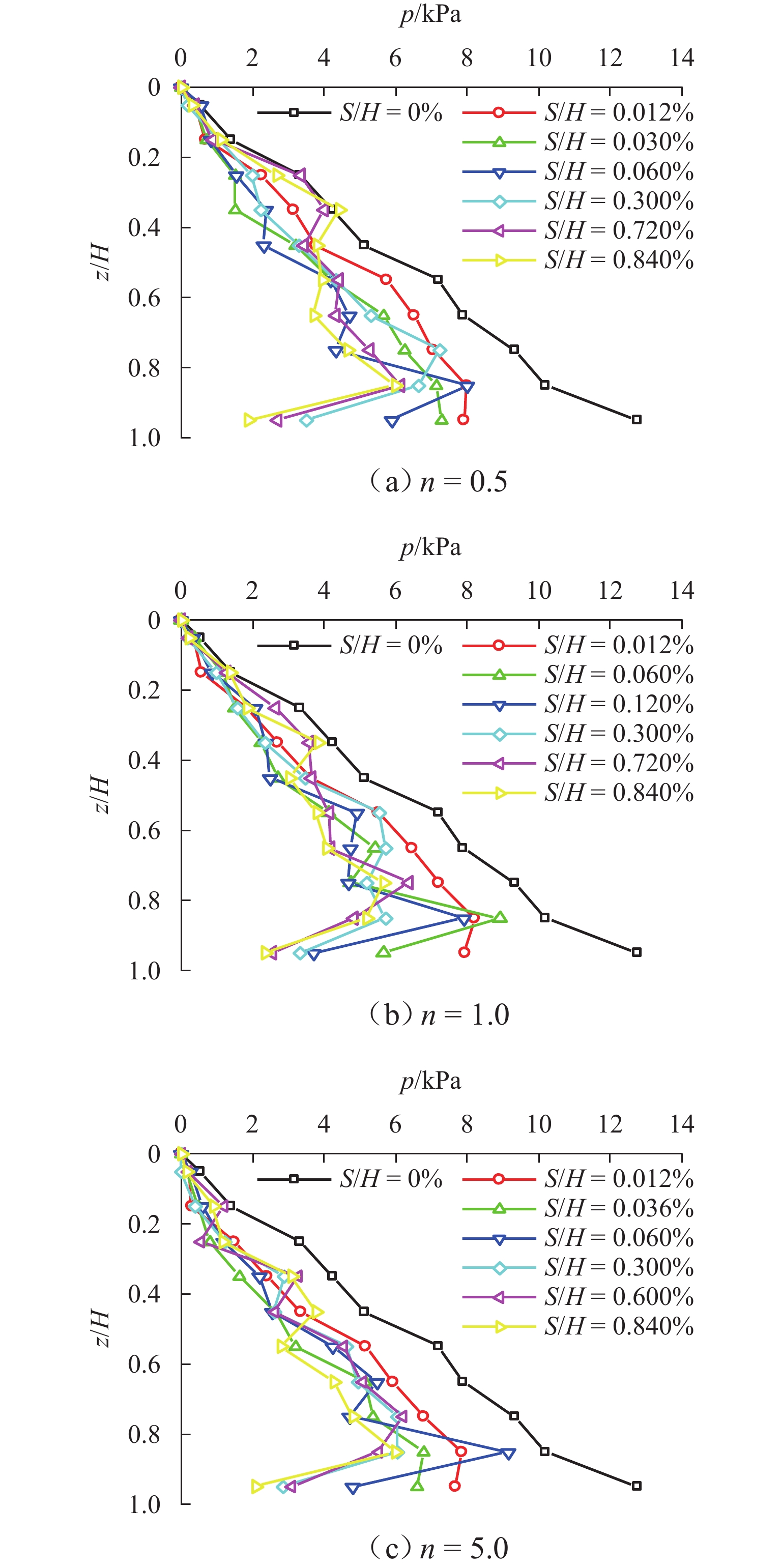
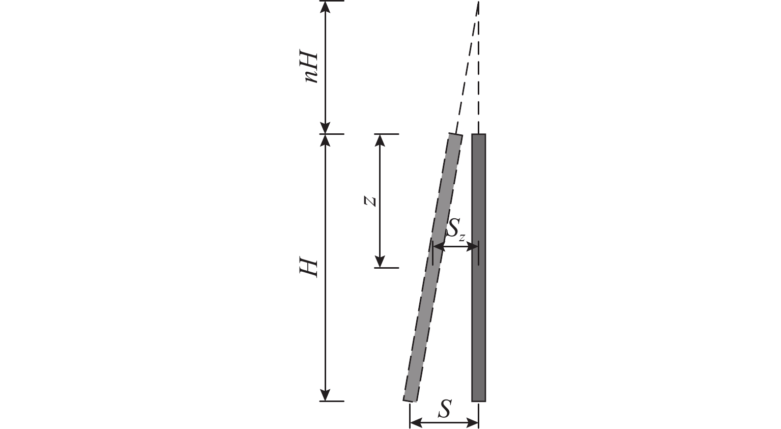
支护结构在防止土体坍塌、维持土体稳定性方面起着重要作用. 准确确定作用在挡土墙上的土压力对基坑工程的安全性和经济性至关重要. 传统的土压力理论忽略了墙体的位移模式、位移大小、墙-土相互作用以及土拱效应等因素的影响. 因此,计算所得的土压力往往不准确,给工程设计和施工带来风险. 本文针对刚性挡墙绕墙顶转动与平动耦合(RTT)模式下砂土的主动土压力问题,考虑土楔体层间错动的影响,利用水平层分析法推导RTT模式下的非极限主动土压力计算公式.
本文将离散元模拟和理论推导相结合,研究RTT模式下的非极限主动土压力,以深入分析墙体位移、摩擦角、转动中心位置等因素对土压力的影响. 为准确模拟土颗粒的宏观物理性质,并减小抗转动弯矩的影响,选取三圆盘组成的椭圆颗粒簇作为基本颗粒. 基于学者研究确定模型参数,保证模拟结果的可靠性和相关性. 采用PFC2D软件建立土体模型,利用双轴试验(围压分别为30、60 kPa和100 kPa)获取土体的内摩擦角为26.1°. 采用重力沉积法分6层生成土体模型,并控制孔隙率为0.22. 设置测量圆以捕捉土体内部应力和旋转角度的变化情况. 试样成型后,控制位移墙体向外转动,保持墙体最大水平位移速度为6 × 10−4 m/s. 设置墙体最大水平位移为0.012
本文总结了离散元模拟、模型验证和参数分析的结果如下所示: 模拟结果如下:1.不同转动中心位置的土样在RTT模式下的墙-土摩擦角表现基本一致;3组模型的平均墙-土摩擦角约为21.4°;随着墙体位移增加,墙-土摩擦角逐渐发挥并达到其极限值. 2. RTT模式下的主动土压力分布同时表现出平动模式和转动模式的特征;随着墙体位移增加,压力分布从线性向抛物线型过渡;转动中心参数
本研究不仅增强了对RTT位移下非极限主动土压力的认识,也为支护结构的设计和施工提供指导. 未来可进一步研究更复杂的挡墙系统、位移模式及土体条件下的土压力变化情况.
运营中断是城市轨道交通实际运营过程中不可忽略的安全因素. 针对城市轨道交通单向运营中断下的列车运行调整问题,本文提出“反向运行 + 小交路”组合调整策略. 从乘客时间价值的角度出发,以乘客在站等待时间最小为优化目标,分中断阶段和恢复阶段建立单向运营中断下城市轨道交通列车运行调整两阶段模型;考虑到模型复杂度以及调整问题对求解效率的需求,设计适用于所构建模型的不同交路选择自适应大规模邻域搜索算法,实现对大规模算例的有效求解. 案例研究表明:单向运营中断条件下基于“反向运行 + 小交路”策略组织列车运行调整,比采用反向运行策略的乘客等待时间减少5.19%;相较于封闭中断方向线路,可使全线乘客的在站等待时间减少19.80%,且上下行方向的运输服务更加均衡;此外,当中断持续时长超15 min时,与封闭中断方向线路相比,采用“反向运行 + 小交路”策略组织列车运行调整可以取得更好的效果.
针对城市交通拥堵态势传播问题,从微观层面提出一种车道级的元胞传输模型Micro-CTM(micro cell transmission model),结合大语言模型(large language model,LLM)的多模态语义认知优势,构建车道级交通拥堵态势演化模型(coupled map lattice-driven lane congestion evolution model,CML-LCEM). 首先,构建一种融合混合专家架构大语言模型的交通流特征辨识框架,通过跨模态语义对齐及模型微调方法实现城市交通多模态语义认知;其次,结合转移熵研究车道元胞间状态因果关系,构建车道级交通拥堵演化模型,预测拥堵态势关键元胞;最后,在北京市高级别自动驾驶示范区局域路网开展实验,划分多类型元胞并验证模型对车道级饱和度及拥堵传播的刻画能力. 研究结果表明:本文方法在高峰时段车道级预测精度较传统模型提升显著,对关键元胞的提前干预可降低车辆平均行驶时间达28.3%,为智能交通系统的实时拥堵预警、疏导策略制定及车路云一体化应用提供了数据驱动的大模型解决方案.
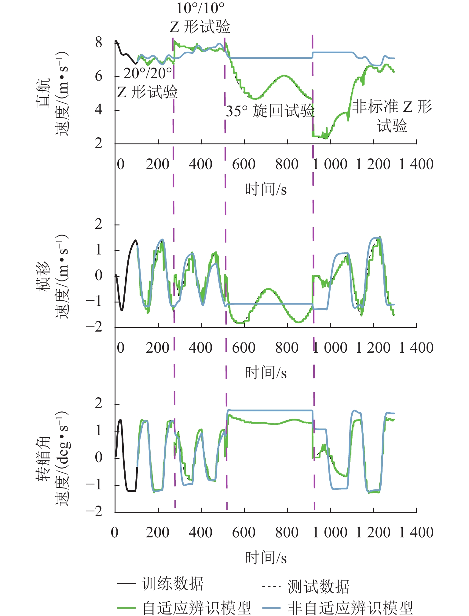
为提高船舶运动辨识建模的准确性和船舶在航行过程中的自主性和安全性,建立了适用于不同操纵工况下的船舶运动在线非参数模型. 首先,鉴于不同操纵条件下船舶航行特征的复杂性和在线非参数辨识的挑战,结合滑动时间窗和相关向量机,提出一种自适应更新的船舶运动非参数辨识方法;其次,通过2种不同的训练样本选择方案,验证基于相关向量机的离线非参数辨识模型的有效性,并强调训练样本质量的重要性;最后,基于所提辨识方法以及自适应非参数模型更新准则,实现3自由度船舶运动状态、航向角以及运动轨迹的在线非参数辨识,并将所提方案的辨识结果与非自适应辨识方案得到的结果进行对比. 试验结果表明:所提方案能够根据操纵工况的变化自适应更新非参数模型,其辨识结果的平均绝对误差和均方根误差分别小于0.11和0.18,而非自适应辨识结果的2种评价指标分别小于1.43和2.10,充分验证了所提方案在泛化性方面的显著优势,展现出更高的辨识精度,并进一步证明其在多种不同操纵工况下的适用性.
柱塞泵在运行过程中,其缸体和主轴花键副的碰撞行为会加剧花键的齿面磨损,降低其运行可靠性. 为预知主轴花键的使用寿命,本文结合Archard模型和SWT (smith Watson topper)模型,对柱塞泵不同出口压力下花键副的微动损伤和疲劳寿命进行分析. 首先,通过有限元法建立轴向柱塞泵缸体-主轴花键副微动损伤有限元模型;其次,基于建立的有限元模型,对不同出口压力工况下的柱塞泵齿面Ruiz微动损伤参数的分布进行分析,并预估其花键齿面的微动磨损增量;最后,结合M-P (palmgren miner)规则,加上循环疲劳载荷的响应,得到预测的轴向柱塞泵的齿面疲劳寿命. 研究结果表明:柱塞泵花键齿面最大Ruiz损伤参数主要集中在花键齿面端部;柱塞泵花键两端的损伤较为严重,中部的损伤较轻,花键前端和后端的磨损量比中部的磨损量分别高出114%和62%;柱塞泵出口压力的变大会加剧齿面磨损,大大减少花键副使用寿命,出口压力为30 MPa时的寿命相较于20 MPa时的寿命降低60%. 研究结果对柱塞泵花键运行的可靠性和后续的优化分析具有一定指导意义.
针对高铁无线通信系统中信息传输普遍存在有效吞吐量低和隐蔽程度受限的问题,以隐蔽需求、最大人工噪声(AN)发射功率和IRS相移的单位模为约束条件,构建以最大化高铁无线通信系统有效吞吐量为目标函数的优化问题,并设计一种基于智能反射面(IRS)辅助及AN增强的高铁无线隐蔽通信波束赋形方法;采用交替优化策略,把优化变量耦合问题拆分为3个子问题,分别为基站波束赋形、IRS相移优化以及AN发射功率优化;在分式规划中,借助二次变换方法将隐蔽需求约束映射在复圆流形上,利用共轭梯度算法(CG)对IRS相移进行优化,并使用Dinkelbach算法对AN发射功率设计并交替迭代优化. 仿真结果表明,该算法的计算复杂度较低,在高速移动环境下,系统有效吞吐量提高了27.31%,隐蔽传输性能得以提升,这对保障高铁无线通信系统安全信息传输具有重要的意义.
为探讨含等词子句集中的子句冗余性问题,提出一种新的子句冗余性判定方法——等词蕴涵模归结原理(EIMR). 首先,分析一阶逻辑定理证明器在化简过程中对冗余子句的处理需求,指出蕴涵模归结原理无法直接应用于含等词子句集的不足;其次,通过结合平展操作与归结方法,定义适用于含等词子句集的等词蕴涵模归结原理,详细证明其理论可靠性,并阐明该原理在冗余子句判定中的具体作用;随后,以EIMR为基础,将命题逻辑和不含等词子句集上的子句消去方法扩展至含等词子句集,定义等词归结不对称恒真子句和等词归结包含子句,并证实这些扩展方法的有效性;最后,利用该原理进一步验证主流一阶逻辑定理证明器在预处理阶段中谓词消去方法的可靠性. 研究结果表明,等词蕴涵模归结原理为含等词子句集上的子句冗余性研究提供了理论依据,并扩展了现有子句消去方法的适用范围.
随着现代制造业对加工质量与生产效率要求的不断提升,刀具磨损已成为影响表面粗糙度的关键制约因素. 传统的刀具状态监测及工艺参数优化方法多基于经验模型或静态优化策略,难以适应多变量、动态变化的复杂加工环境. 针对这一挑战,创新性地提出了一种融合多尺度分布比(MSDR)与贝叶斯多臂老虎机(BMAB)的工艺参数在线优化方法,将刀具状态纳入工艺参数优化框架中;结合贝叶斯优化和多臂老虎机策略,在动态加工环境中实现了工艺参数的实时调整,通过保证加工效率最大化的同时,维持加工过程的稳定性和精确性. 研究结果表明:与主流方法相比,MSDR在刀具状态监测中展现出优异的精度和稳定性,其MAE、SMER和RMSE分别达到0.145、0.258和0.194;BMAB在切削效率优化和计算时效性方面亦表现出色,分别达到
高速磁浮铁路作为未来高速陆地交通的战略方向,其空间线形设计对系统性能与安全具有决定性影响. 本文综述了高速磁浮铁路空间线形设计的最新研究进展,首先梳理高速磁浮线路发展历史,涵盖日本磁浮试验线、德国Transrapid系统、中国高速磁浮工程实践(如同济大学嘉定校区、青岛四方、上海机场、西南交大九里等试验线)以及在建及规划中的线路;然后,从空间线形对悬浮导向的耦合作用、线形参数对动力学响应的影响,以及气动效应对线形制式的约束角度,分析高速磁浮铁路空间线形对列车稳定性的影响;其次,系统阐述空间线形的定义和组成,以及平面、纵面线形参数计算与选取,平纵组合线形和道岔线形研究;同时,指出当前研究面临的瓶颈,如多物理场耦合建模与仿真效率挑战、线形参数标准与动态性能关联缺失、试验线设计理论与工况覆盖局限、全局优化与安全阈值量化难题、选线设计智能化水平不足、复杂耦合约束协调难、选线设计多目标优化方法不完善、环境影响评估与选线协调性不足等;最后对7个需要深化研究的方向进行了展望,以推动高速磁浮铁路空间线形设计理论体系的创新与完善.
声学超结构因其独特的波操纵特性在车辆噪声、振动和声振舒适性(NVH)领域备受关注,但被动式声学超结构的低频带隙带宽窄且不可调,限制了其进一步的发展和应用. 为克服此难题,提出电控型声学超结构以灵活调谐带隙,并建立相应的电学孪生理论. 从经典的机电类比理论出发,基于有限差分法对Kirchhoff-love薄板建立了二维孪生电路;在此基础上,串联LCR谐振回路以形成超结构单元的孪生电路,引入可调电容以实现对电学带隙的调谐;从孪生电路中衍生出一种具体形态为螺旋型的电控超结构,并进行了仿真验证和应用实验. 结果表明:孪生电路可视为超结构在电学域中的精确映射,通过电控方式可有效调节超结构等效刚度,进而实现带隙调谐,其调谐规律可通过孪生电路进行高效预测与分析;所设计的螺旋型电控超结构对电动座椅的阶次跟踪降噪效果显著,在200~460 Hz的宽频范围内声压级平均下降约7.4 dB(A). 所提出的孪生电路有助于电控超结构的机电一体化设计,同时也为不同形态的电控超结构研究提供了理论范式.
针对重庆地铁小半径曲线有/无轨缝区域存在的2种不同钢轨波磨现象(无轨缝区域的波磨为发生在内轨上的短波波磨,有轨缝区域的波磨为发生在内轨上的长短波波磨),本文基于摩擦耦合振动理论开展2种钢轨波磨现象成因的对比研究. 结合现场调研,针对小半径曲线有/无轨缝区域,建立轮轨系统有限元模型,采用复特征值分析法对比分析2种区域轮轨系统的稳定性;采用瞬时动态分析法探究轨缝不平顺和钢轨波磨不平顺影响下轮轨系统的动态响应. 结果表明:轮轨系统在小半径曲线有/无轨缝区域均存在摩擦自激振动,主要频率分别为 479.26 Hz 与 477.65 Hz,可诱导波长30~40 mm 的短波波磨;轨缝不平顺会增大轮轨系统动态响应,引发的反馈振动主要频率为112.79 Hz,进而诱导波长150~160 mm 的长波波磨;短波波磨不平顺的反馈振动仅起到加剧自身波磨深度的作用,并未诱导新波长波磨产生.
为提高柔性作业车间调度系统在扰动事件发生时的稳定性与响应效率,实现基于具身智能体的柔性作业车间多智能协同调度方法,首先,根据柔性作业车间调度问题特点,通过对具身智能体的构成要素、关系及属性的分析与抽象,提出柔性作业车间具身调度智能体元模型,实现具身调度智能体的统一建模;然后,在对元模型实例化后,设计分布式多智能体调度策略集合,构建具身多智能体调度系统,并结合Q博弈协商机制实现了多智能体的协同调度;最后,以某小型结构件车间为例,与现有多智能体调度方法进行对比. 研究结果表明:在新订单到达和机器故障扰动下,调度方案稳定性分别平均提高42.75%和42.88%,智能体间通讯量分别平均减少58.33%和62.5%,计算响应时间分别平均减少32.27%和33.28%.
针对高速动车组轴箱内置式转向架抗侧滚刚度不足问题,提出采用液压互联单元替代传统减振器的一系悬挂构型,可在不增加悬挂垂向刚度的前提下提升抗侧滚刚度. 首先,推导油液压力、流量和输出力平衡方程,基于SIMPACK建立车辆系统非线性动力学模型,并通过MATLAB/Simulink建立液压互联单元仿真模型,实现车辆-液压互联单元系统的联合仿真;开展液压互联单元准静态特性测试和整车滚振台架动力学试验,验证了仿真模型的准确性;针对车辆多种运行工况,仿真分析液压互联单元关键参数对车体侧滚角、脱轨系数和平稳性指标的影响规律;开展线路动力学试验,验证车辆通过曲线时动力学性能的改善效果. 研究结果表明:液压互联单元的侧滚刚度明显大于传统液压减振器,车辆曲线通过时车体侧滚角可降低0.5°以上,有利于缩窄动态限界和保障倾覆安全性;线路试验表明,液压互联单元与传统油压减振器两种方案的各项动力学指标相当,通过液压互联单元解决转向架抗侧滚能力不足问题是可行的.
为研究高速列车制动动态过程对简支梁桥墩墩顶纵向力的影响规律,首先,采用多体系统动力学仿真方法计算获得高速列车轨面制动力时程曲线,对WJ-8型小阻力扣件进行纵向阻力试验,揭示加载频率和竖向荷载对扣件纵向阻力特性的影响规律;然后,将车轮竖向力和纵向力作为移动集中荷载作用于钢轨上,考虑不同扣件所分担的不同程度动态竖向力及对应的随竖向力而变化的扣件纵向阻力,建立了高速铁路多跨简支梁梁轨纵向相互作用有限元模型;最后,采用动力时程方法分析了不同制动停车位置和不同跨数对梁轨动力响应的影响,并与静力计算结果进行比较. 结果表明:扣件纵向阻力受加载频率影响不大但对其承受的竖向力敏感;制动停车位在最后一跨桥台位置时,钢轨纵向力及墩台顶纵向力达到最大;随着跨数增加,钢轨纵向力及墩台顶纵向力均增加,但在8跨之后几乎不再变化;静力分析和动力分析所得钢轨纵向应力和位移最大量值存在差异,对应的动力放大系数约为1.05;受列车纵向制动力最大的桥墩的动力放大系数约为1.07,而受力较小桥墩的动力放大系数达到了1.93.
为研究核安全级仪控系统中控制保护柜的内部热学特性及其关键芯片(CPU与FPGA)的稳态温度(SST)变化规律,在不同环境温度下对该控制保护柜开展了试验研究,并采用有限元方法模拟试验过程,通过对比试验结果验证了数值模型的准确性;在此基础上,利用有限元模型计算得到100组随机工况下CPU和FPGA的SST值,并采用M-SVR、XGBoost、ANN及BRR 4种算法对不同工况下CPU和FPGA的SST进行学习预测. 研究结果表明:1) 在环境温度为20 ℃时,CPU和FPGA的SST分别为37.5 ℃和33.5 ℃;当环境温度为55 ℃时,相应的SST上升至为72 ℃和68 ℃;有限元分析结果能够很好地模拟试验现象,计算所得芯片的SST同试验结果吻合较好. 2) 4种算法模型均能够对芯片SST进行预测,其中ANN算法在测试集上的预测性能最佳,其MSE值小于0.15%,
形态学滤波是一种用于轴承故障诊断的有效方法,能够从嘈杂的振动信号中恢复瞬态脉冲特征,其中结构元素形状和长度的选择对形态学滤波性能有着至关重要的影响. 为解决这个问题,提出一种基于中值滤波的增强时变结构元素,以更准确地匹配和提取隐藏在嘈杂信号中的周期性瞬态特征;此外,将功率谱(即自相关信号的频谱)应用于滤波信号,以进一步增强故障相关分量并消除宽带噪声污染;最后,提出一种结合增强时变结构元素和功率谱的轴承故障诊断方法——增强时变形态学滤波. 对仿真数据和2个铁路轴箱轴承试验台测量数据的分析结果表明:相较于对比方法,增强时变形态学滤波具有优异的故障特征提取性能,能够在复杂噪声干扰下准确识别轴承的内圈、外圈和滚动体故障,并取得更高的性能量化指标和更少的计算消耗.
列车运行引起的振动噪声问题日益突出,传统调谐质量阻尼器(TMD)难以实现针对钢轨的轻质宽频减振,鉴于此,引入惯性放大机制(IAM),利用惯容实现TMD的更大有效工作质量,从而增强对轨道结构振动的抑制;利用能量法与虚拟弹簧法提出一种新的复能带特性求解方法,基于该方法建立配置有IAM-TMD的钢轨结构的复能带分析模型,并利用有限元求解结果验证模型的准确性;在此基础上,以复能带特性作为评价指标,探究IAM对传统钢轨TMD减振效果的影响机制,分析IAM质量比、杠杆角度、阻尼系数对钢轨结构内振动波传播的调控作用. 结果表明:复能带虚部能够详细地描述带隙内部波传播的衰减过程;应用
针对跨中集中力作用下抛物线两铰拱出现复杂非线性行为的现象,提出揭示其非线性行为规律的理论方法. 基于笛卡尔直角坐标系下拱结构非线性应变-位移关系,推演跨中集中力作用下抛物线两铰拱面内非线性平衡微分方程组及其高精度近似解析解;通过对该高精度近似解析在间断点处极限的分析,揭示跨中集中力作用下抛物线两铰拱复杂非线性现象的共性规律:1)当且仅当修正长细比大于等于极值型临界长细比时,跨中集中力作用下抛物线两铰拱发生极值型非线性行为,且极值型非线性平衡路径上出现多个极值点现象,极值点数量与参数
为研究地震动不确定性对桥梁结构地震需求和易损性的影响,明确地震动不确定性在其地震易损性分析中的传播规律,提出一种基于Bootstrap的桥梁地震易损性不确定性量化方法. 首先,通过概率地震需求分析确定地震动强度指标与桥梁结构地震需求之间的对应关系;其次,考虑地震动样本数量对桥梁结构地震需求模型和易损性的影响,采用Bootstrap方法对概率地震需求模型参数和易损性曲线的不确定性进行模拟;最后,以一座3跨简支梁桥为例,分别采用50、100、300条地震记录对其进行地震易损性分析,量化不同地震样本下概率地震需求模型和易损性的变异性. 研究结果表明:地震作用下,桥梁结构的地震需求和易损性均具有较大的不确定性,当采用100条地震记录进行分析时,桥梁各个损伤状态下失效概率的变异性都在10%以上,严重损伤状态下失效概率的变异性甚至高达30%;在进行桥梁地震易损性分析时,宜将不同地震动强度下桥梁结构的失效概率表示为区间随机变量,从而考虑由于地震记录样本所导致的地震易损性变异性;Bootstrap方法可以有效模拟桥梁结构地震需求和地震易损性的不确定性,为小样本情况下桥梁结构概率地震需求模型统计不确定性模拟和地震易损性分析提供了一条有效途径.
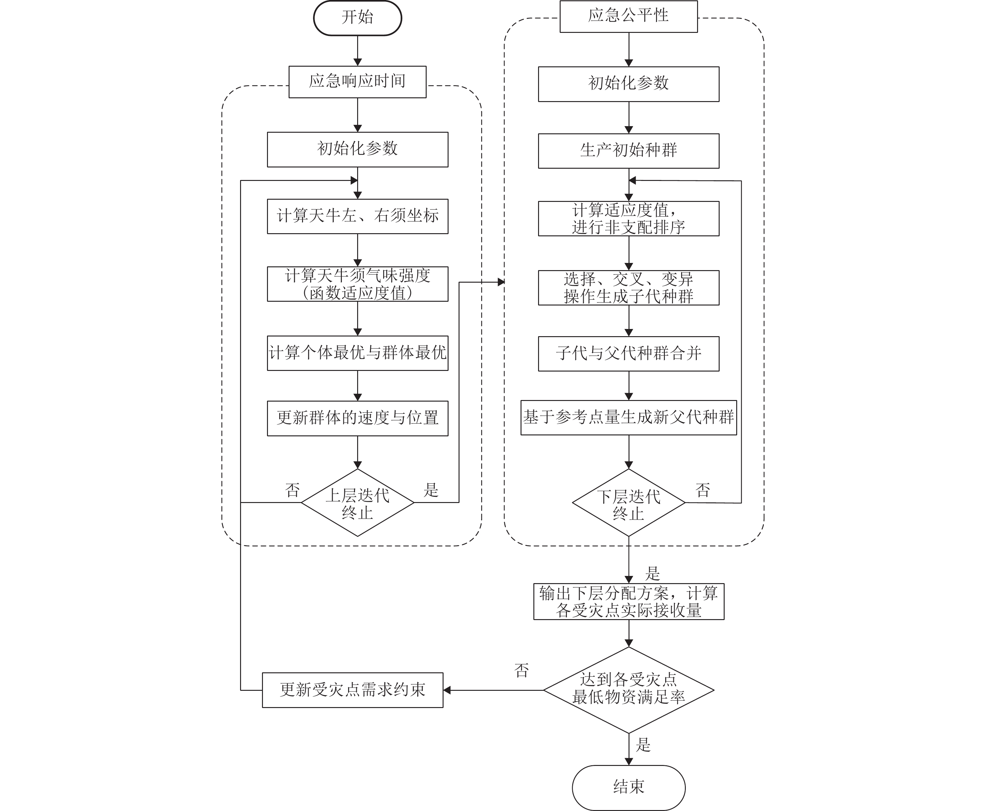
为提升重大自然灾害下跨区域应急救援响应效能,考虑地区受灾差异性,对跨区域应急物资联合调度进行优化. 首先,提出差异化灾情分级策略,构建综合评价体系,运用CRITIC-TOPSIS法确定各区域灾情风险等级;然后,构建上层最小化应急总响应调度时间、下层最大化公平性的双层规划模型,上层引入天牛须变量搜索改进粒子群算法求解,得到供应点到集散中心的最短时间及运输物资量,为下层提供物资分配的基础数据和时间约束;下层采用NSGA-Ⅲ算法求解,其结果会影响上层模型中物资在受灾点的分配情况,从而可能导致上层模型重新调整供应点到集散中心的运输方案,以达到整体的优化目标. 最后,以5•12汶川地震为案例仿真模拟,结果表明:在应急总响应时间上,考虑灾情分级方案比未考虑灾情分级方案缩短2.53%;在公平性方面,考虑灾情分级方案下的各级受灾点需求满足率与灾害等级呈正相关,更好地体现了差异化分级施策和应急物资调度公平性.
为研究复掺钢纤维和多壁碳纳米管(MWCNTs)的超高性能混凝土(UHPC)在不同循环应力幅值下的自感知性能,对钢纤维体积掺量为2%、不同MWCNTs掺量下的UHPC在不同循环应力幅值下的自感知性能进行试验研究. 结果表明:UHPC的初始电阻率随MWCNTs掺量的增加先升高后降低,加入0.15%的MWCNTs能提高UHPC的导电性;MWCNTs的加入可以提高试样的重复性,当MWCNTs掺量为0.15%时,试样具有最优的重复性,重复性系数为0.019,且交流电阻变化率与应力之间具有较优的线性关系,线性度为0.97;试样 UHPC0、UHPC0.05的应力灵敏度和应变灵敏度随应力的增加先增加后减小,而试样UHPC0.1、UHPC0.15的应力灵敏度和应变灵敏度则随着应力的增加呈逐渐减小的趋势;试样UHPC0.15在不同循环应力幅值下最高应变灵敏度和应力灵敏度分别为71.6%和0.16%/MPa,均出现在应力为10 MPa时;当MWCNTs掺量为0.15%时,UHPC具有最优的自感知性能.
为研究轴压比对钢壳−组合索塔滞回性能的影响,基于无纵筋的组合索塔构造,以轴压比为研究参数设计3个滞回试件,测试得到各试件的滞回曲线、破坏特征以及应变发展,总结试件在大偏心破坏下的力学行为;采用ABAQUS软件建立有限元模型作进一步分析,探明索塔截面发生界限破坏的条件;提出界限破坏下截面的轴压与弯矩计算公式,并探讨截面中含钢率与混凝土强度对界限破坏轴压比的影响规律. 研究结果表明:大偏心破坏下,截面的刚度、峰值承载力和耗能性能随轴压比的增大而提升,当轴压比由0.056增大至0.166时,试件的刚度与抗弯承载力提升了20%;组合索塔截面的界限破坏条件为受拉侧边缘钢壳屈服的同时受压侧边缘混凝土压溃,界限破坏下截面具有最高的抗弯承载力与刚度;提出的计算公式能较为准确地评估界限破坏下截面的轴压比与抗弯承载力,含钢率和混凝土强度的提升均将使截面界限破坏轴压比下降;组合索塔截面界限破坏轴压比位于0.44~0.56,更适用于轴压比较大的大跨度悬索桥桥塔.
针对目前滑坡位移预测研究中因采用单一预测模型而难以有效提取复杂序列特征,以及手动调整模型参数容易陷入局部最优等问题,提出一种基于北方苍鹰优化算法(NGO)的卷积-双向长短时记忆神经网络-注意力机制(CNN-BiLSTM-AM)滑坡位移预测模型. 首先,依据滑坡的影响因素,采用多元经验模态分解(MEMD)算法将多种滑坡位移数据分解为趋势项和周期项,其中,对趋势项位移,采用差分自回归移动平均(ARIMA)方法进行预测,对周期项位移,通过灰色关联度确定影响因素后,并构建CNN-BiLSTM-AM组合模型进行预测,其最优超参数通过NGO优化获得;其次,考虑周期项的滞后性,采用斯皮尔曼相关系数选取最优滞后期位移,进一步提升模型的预测效果;最后,利用甘肃渭源脱甲山滑坡监测数据进行验证. 结果表明:脱甲山滑坡总位移预测的均方根误差(RMSE)和平均绝对误差(MAE)分别低至0.22 mm和0.37 mm,展现出较高的预测精度;拟合优度(
为研究腹板加劲冷弯薄壁型钢T形拼合边柱的受压性能,对8组试件开展轴压与偏压试验,结合有限元模型验证及参数分析,揭示“V”形纵向加劲肋对构件破坏模式和承载力的影响规律,并提出改进的承载力计算方法. 研究结果表明:轴压作用下未设加劲肋的T形拼合边柱单肢腹板率先出现局部屈曲,最终导致整体压溃破坏;增设“V”形加劲肋后,可以提高单肢C形钢腹板刚度,改善T形拼合边柱的局部屈曲模式,承载力提高约15%;随着偏心距增大,试件破坏模式基本相同,极限承载力呈下降趋势;基于有效宽度法预测轴压和偏压承载力结果均较保守,有限元结果和试验结果均大于计算结果,二者比值的平均值分别为1.238和1.143;修正后的有效宽度法预测结果与模拟值比值在1.000~1.074,预测结果较为准确.
为研究吊杆断裂对钢管混凝土拱桥冲击响应的影响及对碳纤维复合材料索与钢索断索安全系数需求的差异,以某铁路特大桥为研究对象,分析偶然断索时全桥结构的动力响应. 采用ANSYS建立空间有限元模型,基于等效卸载法研究5种断索工况下拱桥剩余结构的受力特性变化规律;通过动力放大系数和能力需求比评估断索后结构的冲击敏感性;对比分析钢索与碳索不同缆索材料对桥梁断索动力响应的影响. 研究结果表明:断索位置和数量对主梁动力响应和拱肋应力影响显著;吊杆索力的重分配比例与距离断索区域的远近和索体长度成反比,与失效吊杆数量成正比;拱桥碳索对应的动力放大系数大于钢索的,均在1.19~1.43内变化;断索后剩余吊杆的应力需求比均未超过1,具有较大冗余;较钢索桥,拱桥碳索断索下的安全系数小,均在1.0~1.5内变化.
为实现钢筋混凝土框架结构震后损伤小、快速修复及恢复其使用功能的要求,设计3榀1/2缩尺的混凝土框架(1榀为普通钢筋混凝土框架,2榀为配置高强钢棒的混凝土框架)进行拟静力试验,研究混凝土框架结构在往复荷载作用下的破坏形态,探讨梁柱等构件配置高强钢棒后对框架结构的滞回曲线、骨架曲线、残余变形、可修复性等抗震性能指标和自复位能力的影响. 研究结果表明:框架梁柱中配置高强钢棒可有效提高框架结构的整体承载能力和变形能力, 与普通钢筋混凝土框架相比,试件NHGS2.5A15和试件HGHGS2.5A15表现出良好的位移硬化效应,其极限承载分别提高23%和57%,极限荷载对应的位移也分别提高50%和60%;其残余变形小,可修复率高,具有良好的自复位能力和可修复性.
列车在运行过程中产生的周期性动应力对路基填料的动强度构成了显著挑战,现有研究多采用连续加载方式模拟列车荷载,未能充分反映列车荷载的间歇性,为探究连续、间歇加载下黄土路基的动强度差异性,采用GDS 动三轴仪设计一系列连续和间歇加载的固结不排水试验,探讨围压和动应力幅值对土体动强度的影响,并对比分析不同加载方式对路基黄土动强度及其强度参数的作用效果. 试验结果表明:黄土路基的动强度随着围压的增大而增大,但增长幅度却逐渐减小;动黏聚力(
大跨度桥梁易发生低风速涡激振动,会导致桥梁结构疲劳和影响行车舒适性,基于尾流振子模型和变阻尼系数电涡流阻尼器开展桥梁涡激振动半主动控制研究. 首先,建立桥梁尾流振子无量纲涡激力模型,并基于遗传算法采用试验数据拟合获得模型参数;接着,设计可变间距滚珠丝杠电涡流阻尼器装置,并通过COMSOL模拟获得装置阻尼系数、阻尼力与轴向速度-气隙的对应关系;然后,应用遗传算法优化所选的线性二次型控制算法(LQR)和滑动模态控制算法(SMC)半主动控制参数;最后,以黑白水河大桥为研究背景,对比研究无控、LQR和SMC半主动控制的抑涡效果. 研究结果表明:桥梁尾流振子涡激力模型能很好地描述桥梁涡振特性;在最大涡振风速16.5 m/s,LQR与SMC半主动控制能将桥梁振幅控制在无控振幅的4.95%,远小于规范限值;整体上,LQR和SMC控制减振效果差别不大,但LQR控制策略下阻尼器气隙不变,而SMC控制策略下阻尼器气隙会周期性改变,气隙不变更有利于工程实现.
为统一描述砂土和黏土在广义应力路径下的力学响应,在具有状态参数的砂黏统一本构模型CASM的基础上,结合次加载面理论和变换应力法,提出一种适用于广义加载条件的统一临界状态本构模型(CASM-SG模型). 该模型基于原始CASM模型,结合次加载面概念建立一种与土体初始状态相关的塑性内变量,并利用变换应力法成功将原先由三轴压缩实验确定的二维屈服包面拓展到三维应力空间;构建广义应力条件下CASM-SG模型的应力剪胀关系和硬化准则等完整本构框架,并基于一致性条件推导出其塑性模量与弹塑性刚度矩阵的显式表达式;采用新提出的模型对Hostun砂土和Fujinomori黏土在排水与不排水三轴压缩及拉伸条件下的力学行为进行模拟. 模拟结果显示:CASM-SG模型能够较为准确地捕捉砂土和黏土在不同应力路径下的力学行为;对于Fujinomori黏土,三轴拉伸强度相对三轴压缩强度降低了24%左右,CASM-SG模型能够精确捕捉这一特征;相比原始CASM模型,该模型仅增加了2个具备明确物理意义的材料参数,但体现出良好的精度与简洁性兼顾的建模优势.
为简化钢壳-混凝土组合索塔结构构造并提升建造效率,对新型的带肋直钩钢筋剪力键进行研究. 首先,对该新型剪力键设计推出与拔出荷载试验,得到各试件的剪切承载力、拔出承载力及相应破坏特征;其次,结合有限元软件进行分析,建立试件破坏模式与承载力之间的对应关系;最后,在分析模型基础上,进一步探讨埋深对剪力键性能的影响,并提出直钩钢筋剪力键的剪切与拔出承载力计算式. 研究结果表明:直钩钢筋剪力键在剪切荷载下表现为加劲肋屈服,在拔出荷载下表现为混凝土冲切破坏,并伴随着直钩钢筋屈服,破坏模式的不同使剪力键的承载力差距最大可达5倍;推出荷载下钢混黏结力占总承载力的30%;直钩钢筋的位置决定了其在拔出荷载下的受力特点及失效模式;减小直钩钢筋与加劲肋间距后,剪力键的拔出承载力提升了35%,增大1倍剪力键埋深后,拔出承载力提升了1倍.
为探明板式橡胶支座在老化情况下的摩擦滑动性能,基于支座规范中抗剪老化的有关规定,对支座开展热老化试验及拟静力试验. 首先,构造桥梁工程中真实的支座工作状态;其次,通过老化箱对支座样本进行热空气加速老化处理,并通过压剪机对支座进行水平循环拟静力加载;最后,对比分析支座试件在不同加载条件下的变形状态、滞回行为及相关力学响应. 研究结果表明:在加载过程中老化试件的剪切变形程度较大,滑动程度较小,滞回环较狭长;支座的滑动位移与面压、加载速率呈负相关;支座剪切刚度随等效剪切应变先减后增,老化试件的剪切刚度降低,等效刚度增大;在支座使用阶段平均面压10 MPa下,2类试件的摩擦系数差异不大,均低于规范建议值0.20;老化试件的摩擦系数普遍大于未老化试件,而耗能不充分;未老化试件存在性能变化点,整体力学行为为三折线趋势,而老化试件的摩擦滑动行为稳定,在0~250%等效剪切应变过程中未出现突变点.
为揭示西藏普兰地区冰碛土的力学行为,对天然状态表层冰碛土开展法向压力为100~400 kPa的现场直剪试验,对96%压实度冰碛土开展法向压力为100~400 kPa的室内大型直剪试验及围压为100~400 kPa的室内大型三轴试验. 试验结果表明:西藏普兰地区冰碛土91.7%压实度的天然状态下内聚力为11.0 kPa,内摩擦角为41.0°;在96%压实度时,内聚力为9.4~11.2 kPa,内摩擦角在45.3°~46.7°,且室内大型三轴试验所得强度参数高于大型直剪试验;96%压实度下冰碛土峰值强度高于天然状态,但初始阶段模量小于天然状态冰碛土;各级围压下,冰碛土应力-应变曲线均呈现软化特性,峰值应变随围压的增加先增大后减小;修正的邓肯-张模型可以较好地描述冰碛土偏应力与轴向应变关系,并体现普兰地区冰碛土的应变软化特性.
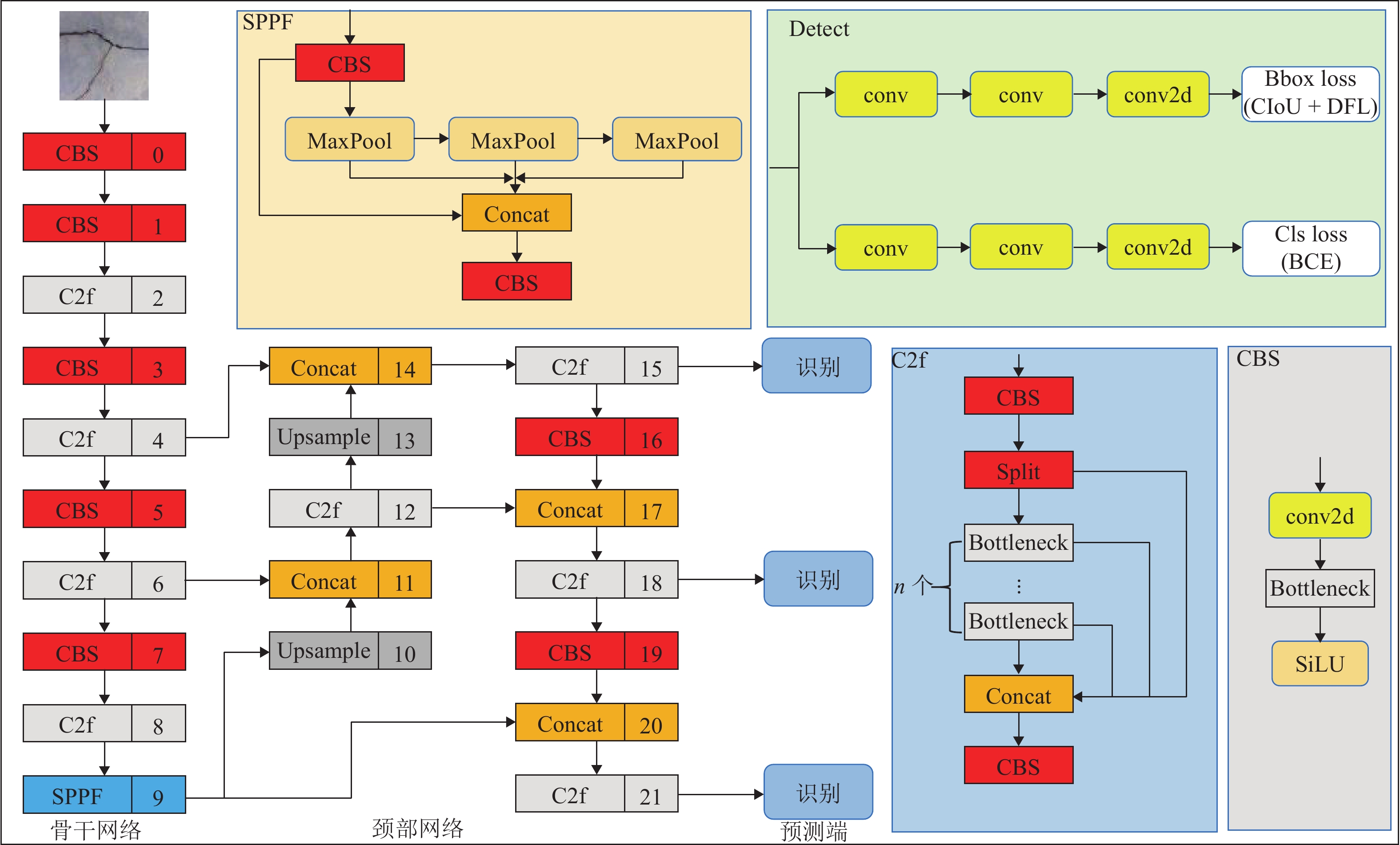
裂缝检测作为混凝土结构健康监测的重要内容之一,反映了结构受力及损伤状态,其检测及评估是保障结构安全服役的核心技术. 传统的检测方法时空上覆盖范围有限,受环境、高空等因素影响较大,检测效率及精度相对较低,且较依赖于主观判断,易造成漏检与误检. 基于计算机视觉的检测方法通过搭载数字成像设备进行数据采集、输入、图像处理,对混凝土表面进行自动分析和识别,具有高效、准确、客观等优点,在混凝土结构裂缝智能检测领域应用广泛. 从图像采集、图像处理、识别算法和结构评估4个方面详细阐述基于计算机视觉的混凝土裂缝检测原理、方法和应用;综合评述数字成像技术中裂缝图像采集设备及各种图像预处理方法的适用情况,并分析不同识别算法的优缺点及适用性;与此同时,总结凝练当前研究的不足,分析计算机视觉技术在设备智能化、网络轻量化等方向上的应用及研究中面临的挑战和问题,并提出相应的解决措施,从多源数据融合利用、智能设备轻型化、数字成像与裂缝映射、结构评估高效性及实时性等方面进行展望.
为优化T型加固斜材构件的加固方案,通过理论分析、试验研究和有限元分析研究构件的结构和材料参数对加固后承载力的影响. 首先,基于组合梁理论,建立T型加固截面的理论模型,进而分析T型加固的抗弯刚度提高程度;其次,进行单面连接角钢T型加固的偏心受压静力试验;最后,通过有限元模型分析长细比、宽厚比和材料强度对夹具数目选择的影响. 研究结果表明:T型加固的抗弯刚度提高程度随着荷载的增大而减小;夹具数目减小会导致垂直于构件变形方向的相对滑移;针对试验构件,夹具数目越多承载力越大,最大加固效果为100.4%;针对斜材的T型加固方案,长细比低于150时选用2个夹具即可,反之,则需要3个夹具;宽厚比和材料强度不会对夹具的选择造成影响.
为了研究汽车声学包设计参数对其多性能目标的影响,首先,改进了传统的深度信念网络(DBNs)方法,并提出SVR-DBNs (support vector regression- deep belief networks)模型,提升了模型映射的准确度;其次,从车辆噪声传递关系与层级目标分解角度出发,提出了一种多层级目标预测与分析方法;最后,将所提方法应用于具体车型的前围声学包性能、重量与成本多目标预测与优化分析. 研究结果表明:SVR-DBNs方法对前围声学包性能、重量与成本目标预测准确度均在0.975以上,优于传统的反向传播神经网络(BPNN)、SVR与DBNs模型;基于SVR-DBNs模型的优化结果与实测结果接近,两者加权目标相对误差为1.09%(平均传递损失(MTL)、重量和成本相对误差绝对值分别为1.44%、1.04%与0.71%),优化后的实测结果较前围声学包原始状态性能、重量和成本分别提升了5.51%、9.01%与4.40%.
随着正弦干扰频率的提高,扩张状态观测器(extended state observer,ESO)的性能会下降,为提高磁悬浮转子系统中ESO的干扰抑制能力,首先,建立单自由度磁悬浮轴承转子系统数学模型;其次,设计ESO并分析其干扰抑制效果下降的原因;在此基础上,提出一种模型辅助扩张状态观测器(model assisted extended state observer, MESO)以改进带宽配置方式,提高干扰抑制效果;然后,在频域内分析基于MESO的自抗扰控制器的稳定性;最后,通过仿真与试验验证了所提出观测器的有效性. 研究结果表明:带宽的增加会放大系统噪声的影响,使系统的控制电压增加;随着干扰频率的提高,MESO对高频正弦干扰的抑制效果会下降,但仍可以降低转子的模态振幅;对50 Hz旋转频率下的转子分别施加频率为10 Hz、振幅为2 mm的基础简谐干扰与1
基于半承压水模型综合考虑土压盾构穿越渗透性地层时覆土层及下卧层的渗透性,推导了盾构穿越层中沿掘进方向的水头分布的解析解,将其与现有的二维渗流场的解析解结合扩展为相应的三维近似解,同时采用数值仿真得到稳态渗流条件下浅埋渗透性地层的主、被动破坏模式,建立了相应的柱体+弧形转角体模型,将前述三维渗流场引入该模型,通过力矩平衡法得到了相应两种极限状态下开挖面支护压力的计算公式,与既有结果进行对比,此计算方法更接近数值解. 研究结果表明:施工对开挖面前方渗流场的扰动基本局限在三倍洞径以内,主、被动极限支护压力的值随水头差的增大均线性增加,盾构直径和水头差是影响主动极限支护压力的主要因素,拱顶埋深与盾构直径是影响被动极限支护压力的主要因素;实际施工过程中,支护压力值应尽可能接近水土分算下的土体原始地层侧压力值,并在其附近(最好在其上方)小幅度波动,波动范围应以变形控制标准为依据.
高压共轨系统多次喷射下,预喷引发的压力波使得主喷油量产生波动,导致缸内燃烧效率降低、排放污染物增加. 为实现多次喷射下喷油量的精确控制,本文提出一种基于高斯过程回归(Gaussian process regression,GPR)的多次喷射主喷油量数据驱动预测模型. 首先,采用D最优设计和二阶响应面方法,以轨压、预喷脉宽、预-主喷间隔和主喷脉宽为因素建立主喷油量响应面模型,通过方差分析揭示4个工况参数均属于极显著影响因素;然后,基于自主开发的多物理场耦合数字仿真平台,建立涵盖528组工况的主喷油量样本集并进行训练模型;最后,系统对比零均值、常数、线性和二次多项式等不同均值函数以及SEiso、RQard和Matérn等不同核函数的组合形式,确定线性均值函数与二次有理核函数为最优配置. 结果表明:在测试工况下,GPR模型所预测主喷油量的平均绝对百分比误差为0.347%,决定系数
为研究地铁双层非线性减振扣件区段由钢轨波磨诱导的弹条断裂问题,以典型的GJ-Ⅲ型双层非线性减振扣件为研究对象,结合现场调研和数值仿真对该区段扣件弹条的断裂诱因及其影响因素进行分析. 首先,构建了含有钢轨波磨的轮对-钢轨-扣件系统有限元模型;然后,采用瞬时动态分析方法从共振响应角度探究了钢轨波磨区段扣件弹条的断裂诱因;接着,通过疲劳累计损伤理论从疲劳特性角度对比研究了低轨两侧弹条在有无波磨情况下的疲劳寿命;最后,进行参数化分析,探究了钢轨波磨外在激励和扣件部件内在特性对弹条疲劳寿命的影响规律. 结果表明:钢轨波磨诱导的高频激励导致了GJ-Ⅲ型扣件弹条共振,是弹条断裂的主要诱因;钢轨波磨加剧了轮轨系统的振动响应,降低了弹条的使用寿命且对低轨外侧弹条影响更为严重,使其疲劳寿命降低至2.18 × 105次,仅为弹条设计寿命的4.36%;钢轨波磨外在激励方面,波磨波深减小和波磨波长增大会使弹条疲劳寿命有所增加,且当波磨波长在40 mm以上时,其疲劳寿命提升较大;扣件部件内在特性方面,减小弹条弹性模量,增加弹条泊松比、橡胶垫板泊松比及其弹性模量,能一定程度上减少弹条的疲劳损伤,进而缓解钢轨波磨区段扣件弹条的断裂.
转轮支撑结构是后处理反应容器的重要组成部分,为提高反应容器的安全强度,该支撑系统采用超静定结构,针对支撑辊子的强度和系统的均载性问题,本文基于能量法,引入拉格朗日乘数,结合能量守恒定律解算各辊子上的法向力,进而求解出弯曲应力和接触应力;建立简易三维模型,使用有限元软件分析各辊子的应力分布和变化规律,并通过实验对结果进行验证;定义载荷分配系数,通过SPSSAU分析得出各制造误差对载荷分配系数的影响规律. 结果表明:辊子的最大弯曲应力为42 MPa,远小于材料屈服强度;有限元结果与理论结果的最大误差约为8%,并通过辊子的应变实验验证该方法的准确性;载荷分配系数与辊子弧面曲率半径呈负相关,与转轮弧面曲率半径呈正相关.
为解决经验傅里叶分解(EFD)方法处理轴承故障信号时易于发生频谱分割边界集中在局部窄带的问题,通过统计排序滤波器(OSF)简化采集的轴承振动信号的频谱,进行平均滑移处理和预分割;针对可能存在的过度分解问题,提出根据频域平方基尼指数(FDSGI)的边界融合算法,实现自适应地确定分割边界和分解模式数;并利用包络谱谐波显著度(ESHS)指标选择最佳分量,进而通过对最佳分量进行包络谱分析,达到轴承故障诊断目标. 轴承故障仿真信号和试验信号的对比试验证明了SREFD在频谱分割精确度方面优于EFD和经验小波变换(EWT),处理后的信号中能够更清晰地观察到轴承故障特征频率及其倍频,证明了所提方法的有效性和鲁棒性.
车轮踏面通常存在麻坑等缺陷,实测车轮非圆化信号往往包含高频噪声干扰,有时也会因为客观因素致使信号首尾端点不闭合. 车轮非圆化是车辆-轨道耦合动力学模型中重要的轮轨界面激扰,对轮轨动力相互作用仿真和车轮非圆化磨耗预测具有重要影响,选取合适的平滑方法是保证仿真结果准确性的关键. 本文对基于标准EN 15610、傅里叶级数、移动平均和形态学滤波4种常用方法在实测车轮非圆化信号处理中的平滑效果展开研究,并讨论4种方法在车轮多边形磨耗预测中的适用性. 结果表明:在处理实测非圆化信号时,傅里叶级数和移动平均2种方法能够在保留原始信号的波形特征下达到良好的平滑去噪效果并保证车轮不圆数据首尾闭合;此外,2种方法也适合在多边形磨耗预测中使用,使用时建议傅里叶级数的阶数取值大于60,移动平均的平滑窗口长度取17 mm左右.
高速地铁进入隧道产生的初始压缩波传播到隧道出口时会产生微压波并引发噪声,某些情况下还会出现音爆现象,给当地居民带来严重的环境问题. 为有效控制隧道出口的微压波噪声,对微压波噪声的声学特性进行数值模拟研究,并提出一种针对低频微压波噪声的声学抑制结构. 首先,采用大涡模拟(LES)方法获取隧道出口的近场非定常流场数据,使用Ffowcs Williams-Hawkings (FW-H)声学类比来预测微压波噪声的声源类型;其次,基于非定常流场数据采用声学有限元法(AFEM)计算微压波噪声的远场辐射,并分析隧道洞口声学结构对微压波噪声的减缓效果;最后,通过动模型试验验证数值方法的准确性. 结果表明:当列车速度为160 km/h时,隧道出口微压波噪声中偶极子噪声占据主导地位;偶极子噪声以半椭球面的形式向外辐射,其能量主要集中在20 Hz频率以下,峰值频率为4 Hz;偶极子噪声沿隧道出口方向上的衰减满足指数衰减规律;隧道洞口增设声学结构后微压波噪声有明显降低,隧道洞口外不同纵向平面上的噪声声压级降低约3.00 dB,标准测点(20 m和50 m)处的声压级分别降低3.54 dB和2.62 dB.
焊接构架式转向架是近年开发的新产品,其运行的安全性与可靠性至关重要,本文针对该型转向架焊接构架进行了疲劳可靠性评估. 基于等效结构应力(ESS)方法和主
为提高竖井掘进机真空气力出渣系统的输送效率,解决出渣系统参数与岩渣参数不匹配导致的输送效率低下的问题,基于单因素分析法和正交试验法研究输送系统参数对出渣效率的影响. 首先,基于流体力学原理,建立真空气力出渣系统参数与压力损失的计算模型,确定系统关键参数;利用Fluent软件模拟真空气力出渣过程,并以岩渣出口速度和气体平均压降作为出渣效率的考量指标;采用单因素分析法,研究管道内径、气体流速、岩渣粒径和岩渣密度4个因素对输送效率的影响规律;进一步,运用正交试验法开展多因素分析,并应用非支配排序遗传算法获得帕累托前沿解集;最后,开展真空气力出渣系统的输送效率试验. 研究结果表明:气体流速和岩渣粒径对岩渣出口速度的影响最显著,管道内径和气体流速对气体平均压降的影响最显著;气体平均压降与岩渣出口速度难以同时达到最优,岩渣出口速度的最小值对应最佳经济输送点,得到的输送参数优化组合为岩渣粒径10 mm、管道内径150 mm、气体流速40 m/s. 研究成果可为竖井掘进机真空气力出渣系统的施工应用提供参考.
为探究网格絮凝池涡流中场射流涡结构的演化特征,采用大涡模拟(LES)对网格絮凝池涡流场进行瞬态模拟,从二维和三维的角度对网格涡流场进行研究. 结果表明:水流经过网格板后,立即在网孔后形成射流涡流场;在射流与背景流体间的剪切、卷吸和掺混作用下,格挡后方区域形成回流涡旋区,边壁处生成不断发展的涡环结构;这些涡环结构导致射流前端发生不同程度的变形与偏移,并抑制其向前推进;每一股射流的涡结构均关于射流轴心线呈镜像对称,射流周边的涡旋主要分布在射流的边界层区域,位于射流前沿的涡结构聚集变化最快,且其面积和强度最大,而靠近边壁处的涡结构强度变化最为显著;此外,三维涡结构的前端形似一冠状结构,随射流向前发展,冠状结构会不断延伸、膨胀、变大,并最终离散和脱落;各时刻的涡结构分布与变化均表现出关于流场平分线的镜像对称性,且流场形态变化过程呈现出从边壁向流场中心发展的趋势.
为研究装配式减振轨道应用于地铁道岔区的动力性能,基于考虑了约束效应的板-垫层间接触关系以及道岔区轮轨多点接触理论,以某典型装配式轨道为例,对其在列车荷载作用下的混凝土强度和极限弯矩承载力开展安全性能检算;建立了车-岔-隧耦合动力分析模型,在地铁道岔区采用不同板厚和刚度的装配式减振轨道条件下,利用自编联合仿真程序研究了列车过岔时系统动力学响应和减振效果情况. 研究结果表明:装配式减振轨道在地铁A型车的荷载条件下,轨道板、自密实混凝土层的最大拉应力分别为2.48、1.89 MPa;道岔区各轨道板纵向和横向钢筋的正截面极限弯矩承载力均大于横向荷载弯矩和纵向荷载弯矩;列车以55 km/h的速度通过道岔区,轨道板厚度从180 mm增加到300 mm时,各减振轨道的插入损失分别为8.1、9.3、10.0、10.7 dB,动力响应均满足安全性能要求;当板厚为260 mm,减振垫刚度从0.01 N/mm3增加到0.04 N/mm3时,各工况的插入损失分别为15.0、10.0、8.0、5.2 dB;刚度为0.01 N/mm3时,尖轨和心轨垂向位移分别为4.1 mm和5.2 mm. 综合安全性能、经济效益和减振效果,建议装配式减振轨道板厚为220~260 mm,减振垫刚度为0.019~0.030 N/mm3.
气体迁移在非饱和黄土地基中普遍存在,相关规律及灾变驱动机制研究对黄土高原城市建设、基础设施服役安全性评价与黄土灾变问题解读等方面具有重要意义. 为此,考虑黄土地基的横观各向同性,采用改进非饱和三轴仪,对不同湿度与应力水平的原状与不同干密度重塑土样进行渗气试验,总结气体在横观各向同性非饱和黄土中迁移特性与气体灾变驱动机制,并提出横观各向同性非饱和黄土渗气系数模型. 结果表明:随着密度、湿度和应力水平的增大,在横观各向同性非饱和黄土中的气体流速和渗气系数均呈现出明显的先下降后稳定趋势,其中,当干密度≤1.51 g/cm3,含水率≤12.5%,竖向应力≤100 kPa时,渗气系数下降变化率小于30%,相反加速衰减,三者引起土体内部空气孔隙体积的压缩、孔隙连通性降低及气体流动通道曲折化,致使最终渗气性能降低;横观各向同性非饱和黄土中的气体迁移在密度、湿度和应力水平影响下整体表现为“抑制-加压-驱动”的灾变机制. 研究成果不仅能提高非饱和黄土中渗气计算的准确性,丰富气体泄露防控理论,还可为加压气体致黄土地基灾变防控提供参考.
为揭示覆盖型岩溶降水引发的土洞洞内气压变化规律及其致陷机理,基于气体短管淹没出流理论,提出椭球形土洞内气体渗流流量、气压及稳定性系数的计算方法,并基于有限差分数值解编制相应的MATLAB程序;通过岩溶土洞降水致陷的室内模型试验验证计算方法的可行性. 算例分析结果表明:土洞气体状态参量(流量与气压)及其稳定性系数在降水过程中经历了从初始状态到降水前期剧变、降水后期缓变的过程,最终逐渐恢复至起初状态;降水土洞的最大峰值流量与椭球土洞短半轴长$ b $正相关,与长、短半轴长之比($ a / b $)及拱高负相关;最小峰值气压均与$ a / b $、$ b $及拱高正相关;最小峰值气压抵达时间与拱高正相关,与$ a / b $负相关,$ b $影响甚小;降水土洞最小峰值稳定性系数与$ a / b $及拱高正相关,与$ b $负相关;最小峰值稳定性系数抵达时间与拱高正相关,与$ a / b $则负相关,$ b $影响甚微.
为解决公路线形设计过程中交点法依赖的非对称基本型计算模型,在转弯曲线包含非完整缓和曲线时出现计算失效的问题,以非对称基本型计算模型为基础,通过分析计算模型在解算非完整缓和曲线场景下的失效原因,对计算模型结构与求解逻辑予以优化改进,进而提出非对称通用型计算模型. 此模型新定义了缓和曲线方向,通过判断缓和曲线曲率变化趋势与路线行进方向间的关系,将缓和曲线划分为正向和逆向两类,再根据缓和曲线在单曲线中的前后关系,建立特殊局部坐标系,通过几何推导,得出非完整缓和曲线切线增长值和曲线内移值,进而可以使用非对称基本型计算模型进行求解. 研究表明:非对称通用型计算模型突破了非对称基本型计算模型对线形组合类型的限制,允许缓和曲线起、终点曲率半径可为任意值;通过与传统线元法对同一复杂曲线段进行解算对比,控制桩号里程值及控制桩号坐标的计算差异均小于1 mm,满足工程精度要求.
为研究钢结构桥梁涂装层的力学本构模型,以长效型涂装体系为试验对象,分别进行单轴拉伸试验,得出面漆、中间漆、底漆和复合涂层的应力-应变曲线;通过无量纲化处理获得长效型涂装体系上升段本构方程的统一表达形式,并针对每种漆膜适用条件给出相应的本构方程. 研究结果表明:1) H06-X环氧富锌底漆(含锌量80%)和长效型复合涂层的应力-应变曲线分为弹塑型阶段、应变强化阶段和破坏阶段;H06-C2环氧厚浆云母氧化铁中间漆的应力-应变曲线分为应变强化阶段和破坏阶段;E01-JY氟碳面漆的应力-应变曲线分为近似线弹性阶段和破坏阶段. 2) 依据应力-应变曲线得出底漆、中间漆、面漆和复合涂层的弹性模量、泊松比、剪切模量、单轴拉伸强度、拉伸断裂应变等力学性能特征参数;底漆的单轴拉伸强度最强,中间漆次之,面漆最差;面漆的变形性能最佳,中间漆次之,底漆最差.
为缓解高速铁路纵连结构型无砟轨道结构在高温环境下易出现的形变上拱病害,使用自制氟改性黑色颜料,配制一种兼具中明度值和高反射性能的反射隔热涂料. 该涂料在实现高效控温的同时,可避免常规高明度白色反射涂料对目视人员造成的视觉损伤. 采用红外光谱对自制氟改性黑色颜料的分子结构进行表征,并利用紫外-可见-近红外分光光度计揭示其高太阳光反射性能作用机制,同时与常规冷颜料进行对比分析;在此基础上,配制相应的中明度反射隔热涂料,对成膜后涂层的控温、黏结、耐久等性能进行测试;进一步,对在自然暴露环境下的实尺轨道板结构进行表面涂装,通过长期温度监测评估其现场控温效果. 试验结果表明:自制氟改性黑色颜料凭借其近红外波段的透明特性,提升了中明度反射隔热涂层的太阳光反射性能;与常规颜料中明度涂层相比,自制涂层的太阳光反射率提升7.2%以上,在模拟太阳辐射下隔热温差可提升3.0 ℃以上,并具有较好的匀质性、黏结力和耐紫外老化性能;在典型晴朗天气条件下,自制涂层可将实尺轨道板结构表面峰值温度降低10.0 ℃以上,表面日温差减小5.0~10.0 ℃,并将轨道板纵向正温度梯度降低约50%.
针对公路隧道存在光线突变、昏暗以及眩光等复杂光环境问题,本文提出一种基于嵌入式AI (artificial intelligence)视觉的车道线识别方法——IHLS (improved Hough & least squares),该方法利用改进的Hough变换算法将车道特征点进行霍夫变换以检测直线,并利用最小二乘法(least squares,LS)进行曲线拟合识别弯曲车道线;通过在车载摄像头上内嵌AI视觉处理算法对捕获图像进行实时亮度检测和AI增强,使用Zero-DCE (zero-reference deep curve estimation)模型增强图像,采用改进最大类间方差法(Otsu)进行边缘检测并通过像素统计划分DROI (dynamic region of interest),用导向滤波增强和平滑图像,以提升车道线识别准确率. 以青兰高速六盘山隧道为原型,对所提识别方法开展试验,试验结果表明:IHLS算法相较LS算法,其平均交并比(MIoU)指标提升4.14%,平均准确率(AP)提升3.08%,运行时间(RT)增加0.01 s;对比Hough变换,IHLS算法的MIoU指标提升4.18%,AP提升2.88%,RT增加0.01 s. 经内嵌AI视觉处理的IHLS算法解决了机器视觉过曝光、色彩失调、失真等光学问题,实现了复杂光环境下车道线的实时识别与跟踪.
公交站承担着居民出行链中的衔接和接驳作用,其区域内慢行异质群体密度较高,增加了彼此间交通冲突的可能性. 既有研究多针对公交站区交通冲突问题,未深入研究公交站区慢行异质群体交通冲突致因机理和影响因素间的异质性. 以昆明市4类公交站为研究对象,采集2022年12月至2023年3月20个公交站数据,分析慢行异质群体运动特征,并基于DOCTOR (dutch objective conflict technique for operation and research)方法对冲突的严重程度进行判别,构建考虑均值和方差异质性的随机参数Logit模型,以更好地识别随机参数中的异质性,提高公交站区安全. 结果表明:在随机参数分布方面,行人的侧向冲突和非机动车道宽度分别服从
如何在考虑线路通过能力等复杂约束的基础上,快速编制高质量的车流径路方案,以期降低运输总成本,是铁路运输组织过程中面临的重要难题之一. 针对铁路车流径路的树形径路特征,将相同到站的所有车流视为一个整体,同步考虑并提出入树的概念,进而将问题转化为求解每个终到站(树根节点)的入树方案;在此基础上,对经典的基于弧段的多商品流模型采用入树选择变量进行重构;针对重构模型的结构特点,提出两阶段求解方法,第1阶段采用列生成算法得到有潜力的入树方案池,第2阶段在方案池中对每个树根优选出符合条件的入树方案,进而得到每支车流的径路;最后,利用中国西南地区路网数据构造不同规模路网的算例,对算法性能进行验证. 研究结果表明:本文方法能在较短时间内获得近似最优解,相较于CPLEX和模拟退化算法,列生成算法的求解效率更高、求解质量更佳;相较于弧段模型,入树模型具有更低的模型复杂度.
针对城市快速路交织区内固定标线控制存在的缺陷,本文提出基于元胞自动机的快速路交织区可变标线干预,以根据交通场景需要灵活变换标线形式,体现多标线控制策略的优势. 首先,基于三相交通流理论建立元胞自动机模型,为模糊控制器的建立提供基础;其次,生成可变标线主动干预的策略库并构建模糊控制器,以实现可变标线控制下交织区场景的全时段仿真;然后,通过选取上海市交织区线圈数据和典型高峰期交通流量数据作为交通流输入进行全时段仿真,输出得到标线控制方案;最后,从运行效率、潜在事故风险和污染物排放共3个方面对干预效果进行评价. 研究结果表明:在可变标线干预下,现实工况与设计工况场景的平均延误相比普通标线显著降低,其中,设计工况从71 s降低至48 s;现实工况中可变标线干预下的危险场景数量相比普通标线降低了23.4%;车辆排放的几类重要污染物均值均有明显减小.
针对当前3D打印的物理地形模型制作方法效率低、成本高的问题,提出一种改进KD树(K-dimensional tree)空间分割的地形模型快速打印方法,以提升打印效率、节约材料. 首先,通过分析数字地形模型特征与3D打印参数间的关联,构建空间分割约束规则集,进而建立融合维度自适应与尺寸约束的改进KD树模型,突破传统分割中位置与维度固化的局限,实现对地形模型的精细化分割与地下部分的有效剔除;在此基础上,设计融入贪心策略的快速空间分割算法,通过局部最优分割最大化底座镂空体积,并借助区域聚类整合微小地形区域,优化子块划分结果;针对分块后的各地形单元,提出基于分块并行与倒置打印的快速成型方法,通过在四角设置细支撑结构避免模型畸变,同时实现底座大幅镂空,从而减少材料消耗与打印时间;最后,搭建实验环境并开展案例实验分析,选取地震、林火、洪水、滑坡和泥石流5种典型灾害地形数据,在不同分辨率与空间范围条件下进行打印验证. 研究结果表明:所提方法有效克服了传统分割的固化限制与熔融堆积打印中的模型下垂畸变问题;在5种灾害类型实例中,3D打印时间平均可减少17.69%,节省打印材料28.98%,实现物理地形模型快速、低成本打印,并展现出良好的多种地形适用性.
精确、连续的位置信息是保障轨道交通列车安全、高效运营的关键. 然而,在隧道、高架、城市峡谷及郊区等构成的复杂运营环境中,实现无缝精确定位仍是当前列车定位系统面临的严峻挑战. 弹性导航、定位与授时(positioning, navigation, and timing,PNT)通过融合多种PNT信息源,能够生成连续可用、可靠、稳健的位置信息,具备抵御危害、适应风险和干扰的能力,为解决上述难题提供了可行路径,并已在军事国防、航空航天等领域展现出巨大潜力. 为促进该技术在轨道交通领域的应用与发展,本文在分析轨道交通行业用户对导航、定位与授时需求的基础上,结合当前轨道交通既有系统的导航定位能力,提出适用于轨道交通的弹性PNT体系概念与架构. 并从轨道交通PNT特殊性出发,归纳轨道交通弹性PNT系统的基本特征与评价指标,阐述弹性与精确性、完好性、连续性、可用性等指标的关系. 最后,以轨道交通多源PNT传感器为基础,包含GNSS (global navigation satellite system)、应答器、5G-R (5G-railway)等,重点探讨轨道交通弹性PNT技术体系及信息融合等关键技术,并指出多源信息深度融合与弹性融合架构是未来轨道交通实现连续无缝定位的重要研究方向.
为实现古石拱桥数字化建模与性能评估,基于无人机倾斜摄影和图像轮廓提取技术开展古石拱桥逆向建模方法研究. 首先,使用无人机采集石拱桥的多视角序列图像;其次,基于运动恢复结构(SfM)和多视图立体匹配(MVS)算法,构建石拱桥的三维(3D)实景模型;接着,基于石块与砂浆存在色差和石块几何规则性的特点,提出色差强化与小面积杂质滤除策略,改进Canny边缘检测,引入循环识别四边形与形状优化改进多边形逼近算法,实现表面轮廓的自动化识别;然后,基于地面控制点标定真实尺度,利用提取的轮廓坐标参数化建模,生成有限元模型;最后,使用提出方法对透龙桥进行建模和性能分析,并与试验结果进行对比. 研究结果表明:透龙桥3D实景模型表面未检出明显病害,最大尺寸误差为0.8%;有限元模型的挠度最大计算误差为2.1%. 该方法能够准确反映古石拱桥的几何形态和力学性能,为其数字化保护与性能评估提供技术支持.
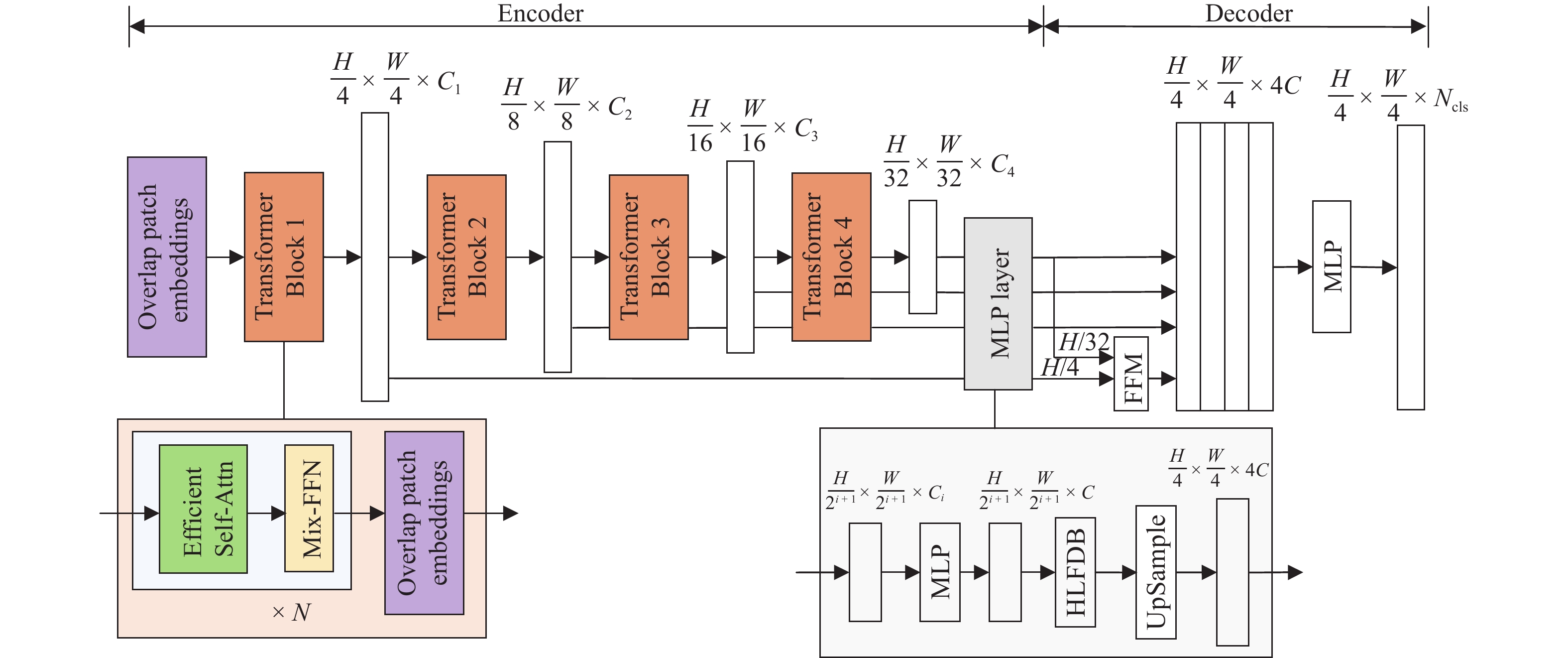
为提升古桥裂缝检测的精度与效率,解决传统传感器检测方法易导致信息缺失及二次损伤的问题,提出一种基于改进YOLO11与SegFormer的裂缝识别与测量方法. 首先,针对YOLO11模型参数量大、推理速度受限的缺陷,提出YOLO-CD (You Only Look Once-Crack Detect)目标检测模型:通过StarNet轻量化主干网络降低计算成本,结合HSANet颈部网络增强裂缝边缘细节保留能力,并设计优化空间上下文(OSCD)检测头优化多尺度检测效率;其次,提出改进的SegFormer-HF语义分割模型,通过特征融合模块(FFM)与高低频分解块(HLFDB)抑制下采样信息丢失,提升裂缝分割的语义一致性;最后,提出先检测后分割的联合方案,结合骨架线算法实现裂缝长度与宽度的自动化计算. 基于研究获取的古桥裂缝数据集进行实验,结果表明:YOLO-CD模型的F1分数、mAP50与mAP50-95分别为
古石拱桥保护研究面临图纸缺乏、现场勘测困难和结构老化等多重挑战,导致精细化力学模型建构参数获取受阻,且砌块损伤状态难以准确模拟,限制了精细化力学模型的有效建立. 针对此,提出一种基于砌体结构缝隙图像识别的古石拱桥有限元建模策略. 首先,建立一个包含大量石拱桥砌块轮廓标签的数据集,采用YOLOv8卷积神经网络模型,对石拱桥图像进行各结构砌块轮廓的实例分割;其次,采用Douglas-Peucker算法对识别结果进行后处理,提取砌块的关键几何信息;最后,建立石拱桥的参数化建模流程,通过ABAQUS参数化建模脚本的开发,自动化生成与实际砌体结构精确匹配的分离式有限元模型,并通过建立砌块间的接触界面作用,进行后续有限元仿真分析. 研究结果表明:在自重及桥面荷载作用下,本文所建立的分离式有限元模型拱肋主应力峰值约为传统整体式有限元模型的1.2倍,且能够在砌体缺陷处呈现明显的应力集中现象,能够更准确地再现实际桥梁的砌块分布和局部缺陷,对揭示古桥砌体结构破坏机理具有显著优势,为古桥保护的力学仿真研究提供了新的视角和方法.
当前闽浙木拱廊桥大都存在详尽图纸资料缺失问题,导致保护效果不佳,且在火灾蔓延规律和防灾方面的研究较为匮乏. 为解决这些问题,提出基于三维扫描-BIM参数化的数字重建技术构建木拱廊桥数字孪生体,基于BIM-FDS (fire dynamics simulator)分析木拱廊桥火灾蔓延规律和防火策略. 首先,通过现场三维扫描获得合龙桥原始点云模型,经配准、去噪、抽稀处理后,建立BIM参数化数字孪生体,计算其火灾荷载密度;其次,采用IFC格式文件实现BIM与FDS交互,建立木拱廊桥火灾数字孪生体,通过热释放速率(HRR)、火灾蔓延现象、能见度、温度、有害气体浓度等进行仿真分析,在FDS中通过模拟分析多个典型火源场景工况得出火灾蔓延规律;最后,探讨材料阻燃处理、桥面非燃化改造及喷淋布设等防火优化策略. 研究结果表明:木拱廊桥火灾荷载密度高达
为开发古代石拱桥传感器优化布置方法,本文以全国重点文物保护单位北京卢沟桥为例,建立考虑初始残损和材料参数随机的传感器优化计算模型;提出考虑复杂监测目标的适应度函数设计与求解方法、以元学习思想为基础的元遗传算法,对传感器优化布置问题进行搜优;并将提出方法与2种基于传统遗传算法的优化模式进行对比,实现了面向古代石拱桥的高效传感器优化布置. 研究结果表明:所提出方法具有更好的参数识别能力、损伤灵敏度与信息冗余水平;当噪声水平在5%以内时,元遗传算法给出的方案均可成功检测损伤,而另外2种方案的损伤检测成功率仅60.0%;当噪声水平达到10%时,元遗传算法给出方案可以检测出60.0%的损伤,而其他2种方案无法有效检测出损伤.
为明确川西地区藏寨民居中生土片石石砌体墙的抗震性能,设计并制作了四片生土片石石砌体墙构件,开展拟静力加载试验,以木墙筋设置、墙体收分以及墙体窗洞口作为主要参数,研究其对生土片石石砌体墙抗震性能的影响规律. 通过试验获得生土片石石砌体墙的水平荷载-位移曲线,分析其承载力、变形性能、刚度、延性和耗能能力等关键抗震性能指标,探讨墙体开洞及木墙筋设置对墙体破坏模式的影响,并对藏寨生土片石石砌体墙与普通砖砌体墙的抗剪强度进行对比分析. 研究结果表明:藏寨生土片石石砌体墙整体表现出良好的抗震性能及变形能力,本试验中各墙体构件的平均单位面积抗剪强度达到0.16 N/mm2,极限变形能力在2.4%~3.0%,其变形能力相对于普通砖砌体墙有明显优势;窗洞口及木墙筋的设置均会影响墙体的破坏形态及破坏模式;与无木墙筋的墙体相比,配置木墙筋的墙体抗剪强度和耗能能力分别提升约27%和37%,同时,剪切裂缝数量及裂缝宽度均显著减小.
为构建古代砖石拱桥的预防性保护监测系统,开展面向风险识别的监测方法研究. 首先,采用残损评定等级、Von Mises应力和构件重要性分别作为残损最严重、受力最不利、构件最重要3项原则的量化表示;其次,基于残损矩阵、受力矩阵和重要性矩阵求解卢沟桥64个构件的监测目标值;最后,制定卢沟桥基于三原则的传感器优化布置方案. 研究结果表明:该方法能够定位待监测的高目标值构件,并且监测信息可提取卢沟桥的结构季节性波动规律和累积损伤风险;除沉降项目基本不受季节变化影响,其余监测项目存在明显的季节性波动规律,波动波峰位于每年6月—7月,波谷位于每年1月;应变传感器的冬季与夏季峰值之比为1.577,东起第7孔位移传感器的冬季与夏季峰值之比为0.849,东起第9孔位移传感器的冬季与夏季峰值之比为1.206,横桥向倾斜传感器的冬季与夏季峰值之比为1.549,季节性波动比率平均介于20%~60%. 沉降传感器监测到东起第5桥墩沉降量为第9桥墩的1.156倍;靠近拱桥中部或位于损伤严重构件的传感器在同类型传感器中具有更大的峰值. 研究结果可为古代砖石拱桥的预防性保护监测提供科学基础.
从全局结构中获取独立子结构的振动特性非常重要,针对现有基于时间序列的约束子结构法(SIM-TS),在噪声干扰下会因奇异值过小而出现计算误差增大的问题,提出一种改进的SIM-TS方法,以实现更高精度的子结构模态参数识别. 首先,以SIM-TS为基础,引入自适应截断奇异值分解技术,通过动态调整截断阈值来优化分解结果;同时,将ISIM-TS 方法与协方差驱动的随机子空间法(SSI-COV)相结合,构建新的ISIM-TS-SSI-COV子结构模态识别框架;然后,通过一个经典的5自由度数值算例验证方法可行性;最后,将该方法应用于某藏式古建筑子结构的动力特性识别中. 数值算例结果表明:在1%噪声情况下,改进后的方法提高了子结构的识别精度,尤其第二阶频率的识别误差较传统方法降低71.4%;基于环境激励下的响应数据,使用该方法成功识别出子结构的前两阶固有频率,分别为12.18 Hz和13.31 Hz. 本研究结果为后续结构模型修正与损伤识别提供了重要的数据基础.
为研究传统木伸臂梁廊桥抗洪性能及抗洪措施的有效性,基于不同洪水条件和抗洪措施,对廊桥所承受的洪水荷载及其抗洪性能进行了定量分析. 首先,通过计算流体力学(CFD)模拟技术得到廊桥上部结构的洪水荷载,研究水位、流速及拆除风雨板的影响;其次,分析上部结构阻力最大时刻,洪水荷载在主要构件上的分布;最后,通过计算廊桥上部结构的滑动和倾覆风险,评估其抗洪性能,并量化拆除风雨板与桥面加重对廊桥抗洪性能的提升效果. 研究结果表明:水位或流速提高,廊桥上部结构的阻力增幅分别为145.38%和95.71%. 存在风雨板工况下,上部结构阻力主要分布于迎水面风雨板和轴线沿桥梁纵长方向的托木;拆除风雨板后,上部结构阻力主要分布于轴线沿桥梁纵长方向的托木和主梁,基准洪水条件下上部结构最大阻力降低17.79%,高水位洪水条件下降幅达48.08%,高流速洪水条件下则出现1.51%的增量;水位提高,上部结构升力迅速增加后趋于稳定,拆除风雨板可降低最大升力,但会导致最大升力提前出现;廊桥在高流速和高水位洪水条件下均存在滑动破坏风险,当桥面加重均布荷载达到4.0 kN/m2时,可保证最不利工况下廊桥的稳定性;如同时拆除风雨板,高流速和高水位洪水条件下桥面所加均布荷载可相应降低至0.5 kN/m2和2.5 kN/m2.
冻融循环是影响北方灰岩质文物的主要因素之一,普遍诱发多种表层风化病害,严重威胁文物的长久保存. 针对新鲜灰岩开展浸水冻融模拟风化试验,综合多种表征技术获取物理力学性质指标发展规律,结合孔隙结构变化从宏观和微观尺度定量揭示灰岩的冻融损伤机制,并通过熵权-线性加权法实现灰岩风化的综合评估. 结果表明:冻融循环50次后,纵波波速、表面硬度显著下降,损失率均在10%以上,毛细吸水系数提升了1倍以上;单轴抗压强度衰减率为30.6%,循环次数越大灰岩压缩后的结构完整性越差;灰岩孔隙主要由介孔(0.1~
藏式古建筑石砌体墙结构形式的特殊性和材料组成的复杂性,加之环境因素的干扰,使得墙体内隐蔽性损伤的精准检测面临巨大挑战. 针对传统方法在目标信号识别方面存在的局限性,应用逐次变分模态分解(SVMD)方法,实现探地雷达信号的高效分解与有效信号的精确提取. 通过探地雷达检测藏式石砌体墙体的试验数据,验证数值模拟结果的可靠性;随后,系统分析有效波的传播特性,重点考察不同探地雷达(GPR)天线中心频率、GPR离墙体间距以及裂缝宽度等因素对回波特性的影响规律;运用SVMD方法对信号进行分解及重构,分析此方法在不同噪声水平和裂缝宽度下的稳定性,目标信号识别方面的适用范围及相比于现有技术的优势. 结果表明:SVMD方法首次应用于藏式古建筑石砌体墙的GPR信号降噪处,在特定条件下,相较于经验模态分解(EMD)和变分模态分解(VMD)方法,其信噪比可分别提升58.36%和18.67%,并能够有效分离目标信号、背景墙信号和噪声信号,为藏式古建筑墙体损伤特征的准确提取提供了可靠的技术支持.
Email alert
RSS


摘要
HTML全文
PDF 9545KB
附件