Editor-in-Chief: Zhai Wanming
Associate Editor-in-Chief: Li Hengchao WANG Kelvin C.P.
Launched: 1954
Sponsored by:Journal of Southwest Jiaotong University
Tel: 028-66367562
Fax: 028-66366552
E-mail: xbz@home.swjtu.edu.cn
Cycle: bi-monthly
Search
Advance Search
Journal Search
Search Type
instruction for authors
LinksMore
-
Southwest Jiaotong University
-
Ministry of Education of People's Republic of China
-
Society of China Universitiy Journals
-
WANFANG DATA
-
Ei Engineering Village
-
CNKI
-
China Journal Net
-
Journal of Modern Transportation
-
Journalof SouthwestJiaotong University(Socia Science)
-
Refrigeration and Air Conditioning
In high-pressure common rail systems under multiple injections, the pressure waves induced by the pilot injection cause fluctuations in the main injection quantity, thereby reducing in-cylinder combustion efficiency and increasing pollutant emissions. A data-driven prediction model for the main injection quantity based on Gaussian process regression (GPR) was proposed to achieve the accurate control of injection quantity under multiple injections. First, D-optimal design and a second-order response surface method were employed to build a response surface model for the main injection quantity by utilizing rail pressure, pilot-injection pulse width, pilot-main injection interval, and main-injection pulse width as factors. Analysis of variance indicates that the four operating parameters all have extremely significant effects on the main injection quantity. Then, based on a self-developed multi-physics coupled digital simulation platform, a dataset containing 528 operating conditions was constructed, and the model was trained. On this basis, several combinations of mean functions (zero, constant, linear, and quadratic polynomials) and different kernel functions (SEiso, RQard, and Matérn) were systematically compared, and the linear mean function combined with the rational quadratic kernel function was identified as the optimal configuration. Results show that in test conditions, the mean absolute percentage error (MAPE) of main injection quantity predicted by the GPR-based model is 0.347% and the coefficient of determination
To study the problem of rail corrugation-induced clip fracture in metro sections with double-layer nonlinear vibration damping fasteners, by taking the typical GJ-Ⅲ type fastener as the research object, field investigation and numerical simulation were combined to analyze the causes and influencing factors of fastener clip fracture in this section. Firstly, a finite element model of the wheel–rail–fastener system incorporating rail corrugation was constructed. Subsequently, the instantaneous dynamic analysis method was employed to investigate the causes of fastener clip failure in the rail corrugation section from the perspective of resonance response. Then, based on cumulative fatigue damage theory, the fatigue life of the fastener clips on both sides of the low rail was compared under conditions with and without rail corrugation from the perspective of fatigue characteristics. Finally, a parametric analysis was conducted to explore the influence of external rail corrugation excitation and internal characteristics of fastening components on the fatigue life of the fastener clip. The results show that the high-frequency excitation induced by rail corrugation leads to the resonance in the GJ-Ⅲ type fastener clip, which is the main cause of the clip fracture. Rail corrugation aggravates the vibration responses of the wheel–rail system, reduces the clip’s service life, and has a more serious impact on the outer clip of the low rail. It cuts the fatigue life to 2.18 × 105 cycles, which is only 4.36% of the design life. In terms of external excitation from rail corrugation, reducing the corrugation depth and increasing the corrugation wavelength can extend the fatigue life of the clip; moreover, when the corrugation wavelength exceeds 40 mm, the fatigue life improves significantly. In terms of the internal characteristics of fastener components, reducing the elastic modulus of the clip, increasing the Poisson’s ratio of both the clip and the rubber pad, and increasing the rubber pad’s elastic modulus can reduce the fatigue damage of the clip to some extent, thereby mitigating clip fracture in the rail corrugation section.
The support structure of wheels is an important component of post-treatment reaction vessels. To improve the safety strength of the reaction vessels, the support system adopts a statically indeterminate structure. In view of the strength of supporting rollers and load-bearing characteristics of the system, based on the energy method, Lagrange multipliers were introduced and the law of energy conservation was combined to calculate the normal forces on each roller, thus solving the bending stress and contact stress. A simple 3D model was built, and by adopting finite element software, the stress distribution and variation laws of each roller were analyzed, with the results verified via experiments. The load distribution factor was defined, and the influence laws of manufacturing errors on the load distribution factor were analyzed by utilizing SPSSAU. The results show that the maximum bending stress of the roller is 42 MPa, which is much smaller than the yield strength of the material. The maximum error between the finite element simulation results and theoretical results is about 8%, and the accuracy of the proposed method was verified by strain experiments on rollers. The load distribution factor negatively correlates with the curvature radius of the roller surface, and positively correlates with the curvature radius of the wheel surface.
To address the tendency of spectral segmentation boundaries concentrating on local narrow bands when the empirical Fourier decomposition (EFD) method was applied to bearing fault signals, an order statistics filter (OSF) was used to simplify the frequency spectrum of the acquired bearing vibration signal, and then averaging and sliding processing and pre-segmentation were performed. To address the potential problem of excessive decomposition, a boundary fusion algorithm based on the frequency-domain squared Gini index (FDSGI) was proposed to adaptively determine segmentation boundaries and decomposition modes. The envelope spectrum harmonic significance (ESHS) indicator was used to select the optimal components. Further, bearing fault diagnosis was enabled through envelope spectrum analysis of the optimal components. The comparative test of bearing fault simulation signals and experimental signals demonstrates that empirical Fourier decomposition based on spectrum reconstruction (SREFD) outperforms EFD and empirical wavelet transform (EWT) in terms of spectral segmentation accuracy. The processed signals allow for clearer observation of bearing fault characteristic frequencies and their harmonics, which validates the effectiveness and robustness of the proposed method.
As defects such as pitting usually occur on the wheel tread, the measured wheel out-of-roundness (OOR) signals often contain high-frequency noise interference, and sometimes the signals are discontinuous at the start and end points due to objective factors. Wheel OOR is an important wheel-rail interface excitation in the vehicle-track coupled dynamics model, exerting significant effects on the simulation of dynamic wheel-rail interaction and wheel OOR wear prediction. Selecting the suitable smoothing method is key to ensuring the accuracy of the simulation results. The smoothing effects of four commonly adopted methods based on the EN 15610 standard, Fourier series, moving average, and morphological filtering on processing wheel OOR signals were investigated, and the applicability of the four methods in predicting polygonal wear was discussed. The results indicate that the two methods of Fourier series and moving average can achieve signal smoothing and de-noising effect, preserve the waveform characteristics of original signals, and ensure continuity and differentiability at the start and end points of wheel OOR data when processing measured wheel OOR signals. Additionally, the two methods are also suitable for application in polygonal wear prediction. When the two methods are employed, the order of the Fourier series should be greater than 60 and the smoothing window length of moving average should be about 17 mm.
Micro-pressure waves are generated and noise is induced when the initial compression wave generated during the entry of a high-speed metro train into a tunnel propagates to the tunnel exit. In some cases, sonic booms may also occur, resulting in serious environmental problems for residents. To effectively control the micro-pressure wave noise at tunnel exits, numerical simulation studies on the acoustic characteristics of micro-pressure wave noise were conducted, and an acoustic suppression structure targeting low-frequency micro-pressure wave noise was proposed. Firstly, large eddy simulation (LES) was employed to obtain near-field unsteady flow field data at the tunnel exit, using the Ffowcs Williams-Hawkings (FW-H) acoustic analogy to predict the type of micro-pressure wave noise sources. Secondly, based on the unsteady flow field data, the acoustic finite element method (AFEM) was utilized to compute the far-field radiation of micro-pressure wave noise and analyze the mitigating effect of acoustic structures of the tunnel exit on micro-pressure wave noise. Finally, the accuracy of the numerical methods was validated through a moving model test. The results indicate that at a train speed of 160 km/h, dipole noise predominates in the micro-pressure wave noise at the tunnel exit. Dipole noise radiates outward in a semi-ellipsoidal shape, with its energy mainly concentrated below 20 Hz and a peak frequency being 4 Hz. The attenuation of dipole noise in the tunnel exit direction follows an exponential decay law. Adding acoustic structures at the tunnel exit significantly reduces micro-pressure wave noise. Specifically, the sound pressure levels (SPLs) outside the tunnel exit across various longitudinal planes decrease by approximately 3.00 dB. At the designated measurement points, located at 20 m and 50 m, the SPLs are reduced by 3.54 dB and 2.62 dB, respectively.
The welded frame-type bogie is a newly developed product in recent years, and its operational safety and reliability are crucial. A fatigue reliability assessment of the welded frame-type bogie frames was carried out. A fatigue life assessment procedure for welded structures was proposed based on the equivalent structural stress (ESS) method and the main
For the purpose of improving the conveying efficiency of the vacuum pneumatic slagging system of the shaft boring machine (SBM) and addressing low conveying efficiency caused by the mismatch between the parameters of the slagging system and the rock slag, the effect of conveying system parameters on slagging efficiency was investigated based on single factor analysis method and orthogonal test method. Firstly, a parameter and pressure loss calculation model for the vacuum pneumatic slagging system was constructed based on fluid mechanics to determine the key parameters of the system. Then, the Fluent software was used to simulate the process of vacuum pneumatic slagging, and the outlet velocity of rock slag and the average gas pressure drop were taken as the consideration index of slag conveying efficiency. The single factor analysis method was used to study the influence of four factors, including inner diameter of pipe, gas velocity, rock slag particle size, and rock slag density, on the conveying efficiency. The multi-factor analysis was carried out based on the orthogonal test method, and the non-dominated sorting genetic algorithm was applied to obtain the Pareto frontier solution set. Finally, the slag conveying efficiency test of the vacuum pneumatic slagging system was carried out. The results show that the influence of gas velocity and rock slag particle size on the outlet velocity of rock slag is the most significant, and the influence of inner diameter of pipe and gas velocity on the average gas pressure drop is the most significant. In addition, the average gas pressure drop and the outlet velocity of rock slag cannot reach the optimum simultaneously. When the minimum value of the outlet velocity of rock slag is selected as the best economic conveying point, the optimal combination of conveying parameters is as follows: rock slag particle size of 10 mm, inner diameter of pipe of 150 mm, gas velocity of 40 m/s. The research results can provide a reference for the construction application of the vacuum pneumatic slagging system of SBM.
The large eddy simulation (LES) was employed to make a transient simulation of the flow field within the grid flocculation tank to investigate the evolutionary characteristics of the jet vortex flow structure of flow field within the grid flocculation tank. The grid flow field was analyzed from both two-dimensional and three-dimensional perspectives. The results indicate that a jet vortex flow field is formed immediately behind mesh holes as fluid flows through a grid plate. Due to shear, entrainment, and mixing between jet and background fluid, a backflow vortex zone is formed in the region behind the grid, accompanied by a continuously developing vortex ring structure along the side wall. The vortex ring structure causes varying degrees of deformation and displacement at the front of the jet, while also suppressing its forward movement. The vortex structures of each jet display mirror symmetry about its axis.The vortices are mainly located within the boundary layer of the jet, with rapid changes occurring in their structure at its forefront. This area exhibits both maximum size and intensity. The most significant variations in vortex structure intensity are observed near the side wall. Additionally, the front of the three-dimensional vortex structure resembles a coronary structure. As the jet develops forward, the coronary structure will extend and swell to become larger and then will eventually discrete and detach. The distribution of vortex structure at each moment exhibits mirror symmetry with respect to the bisector of the flow field, while the variation process of the flow field morphology demonstrates a trend from the side wall towards the center of the flow field.
To investigate the dynamic performance of prefabricated slab tracks (PSTs) applied in metro turnout areas, an analysis was conducted based on the interlayer contact relationship between the slab and the pad considering the constraint effect, as well as the multi-point contact theory in turnout areas. By taking a typical PST as an example, the safety performance in terms of concrete strength and ultimate bending moment capacity under train load was verified. A coupled vehicle–turnout–tunnel dynamic model was established, and a self-developed co-simulation program was used to study the system dynamic responses and vibration reduction effects during train passage through the metro turnout areas under different slab thicknesses and pad stiffnesses. The results show that under the load condition of metro type-A trains, the maximum tensile stresses in the track slab and self-compacting concrete layer are 2.48 MPa and 1.89 MPa, respectively. The cross-section bending moment capacities of longitudinal and transverse reinforcement in turnout areas are significantly greater than the lateral and longitudinal load moments. When the train speed is 55 km/h and the slab thickness increases from 180 mm to 300 mm, the insertion losses are 8.1, 9.3, 10.0 dB, and 10.7 dB, and the dynamic responses all meet the safety requirements. When the slab thickness is 260 mm and the pad stiffness increases from 0.01 N/mm3 to 0.04 N/mm3, the insertion losses are 15.0 dB, 10.0 dB, 8.0 dB, and 5.2 dB, respectively. At a stiffness of 0.01 N/mm3, the vertical displacements of the switch rail and nose rail are 4.1 mm and 5.2 mm, respectively. Considering the safety performance, economic benefits, and vibration reduction effects comprehensively, it is recommended that the slab thickness of the PST is between 220 mm to 260 mm, and the pad stiffness range from 0.019 to 0.030 N/mm3.
Gas migration is prevalent in unsaturated loess foundations. Research into gas migration laws and catastrophe driving mechanisms holds great significance for urban construction, the evaluation of infrastructure service safety, and the interpretation of the loess catastrophe issue in the Loess Plateau. Therefore, by considering the transverse isotropy of loess foundations, an improved triaxial apparatus for unsaturated loess was used to conduct gas permeability tests on undisturbed soil samples (with different humidity and stress levels) and remolded soil samples (with various dry densities). The gas migration characteristics and gas catastrophe driving mechanism within transversely isotropic unsaturated loess were summarized, and a corresponding gas permeability coefficient model was proposed. The results indicate that with increases in density, moisture content, and stress level, both gas flow rate and gas permeability coefficient in transversely isotropic unsaturated loess exhibit a distinct trend of initial decrease followed by stabilization. Specifically, when the dry density is less than or equal to 1.51 g/cm3; the moisture content is less than or equal to 12.5%, and the vertical stress is less than or equal to 100 kPa, the observed decrease in gas permeability coefficient is less than 30%. Conversely, beyond these thresholds, the decay accelerates. Fundamentally, these factors induce compressed internal air pore volume, reduced pore connectivity, and increased tortuosity of gas flow paths, ultimately diminishing the gas permeability performance. Under the influence of density, moisture content, and stress level, the gas migration within transversely isotropic unsaturated loess collectively demonstrates a “suppression, pressurization, and driving” catastrophe mechanism. The research findings can not only improve the accuracy of gas permeability calculation in unsaturated loess and enrich the theory of gas leakage prevention and control but also offer valuable reference for the prevention and control of loess foundation catastrophe induced by pressurized gas.
In order to reveal the air pressure variation law and the subsidence mechanism in covered karst soil cave induced by dewatering, according to the theory of short gas pipe submerged flow, calculation methods of gas seepage flow, air pressure, and stability coefficient in ellipsoid cave were obtained. MATLAB program was compiled based on finite difference numerical solutions. The feasibility of calculation methods was verified through indoor model tests of subsidence induced by dewatering in a karst soil cave. The example analysis has shown that the gas state parameters (flow and pressure) and stability coefficient of the cave evolved from the initial state to drastic variations in the early stage of dewatering, then shifted to gradual changes in the later stage, and finally returned to the initial state. The maximum peak flow of soil cave induced by dewatering is positively correlated with the length of the semi-minor axis
To address the issue that the asymmetric basic type calculation model, which the intersection method relies on in highway alignment design, fails to perform calculations when turning curves include incomplete transition curves, the asymmetric basic type calculation model was used as the foundation. By analyzing the causes of the model’s failure in solving incomplete transition curve scenarios, the structure and solution logic of the calculation model were optimized and improved, and an asymmetric general type calculation model was further proposed. This new model introduced a novel definition of transition curve direction. It classified transition curves into two categories, positive and negative, by judging the relationship between the curvature change trend of the transition curve and the route’s traveling direction. Then, based on the positional order of the transition curve within a single curve, a special local coordinate system was established. Through geometric derivation, the tangential growth value and curve offset value of the incomplete transition curve were obtained, enabling the subsequent use of the asymmetric basic type calculation model for further solution. The research has shown that the asymmetric general type calculation model eliminates the restrictions of the asymmetric basic type model on alignment combination types, allowing the curvature radii at the start and end points of transition curves to be arbitrary values. By comparing the calculation results of the same complex curve segment with those obtained using the traditional element method, the differences in the calculated mileage values and coordinates of the control stakes are both less than 1 mm, which meets the engineering accuracy requirements.
To study the mechanical constitutive model of steel bridge coating, uniaxial tensile tests were carried out on the long-lasting coating system, obtaining the stress–strain curves for the topcoat, intermediate coat, primer, and composite coating. The unified expression for the constitutive equation of the ascending segment of the long-lasting coating system was obtained through dimensionless processing, with corresponding constitutive equations provided for each coating film. The results are as follows. 1) The stress–strain curve for H06-X epoxy zinc-rich primer (80% zinc content) and long-lasting composite coating consists of an elastic and plastic stage, a strain-hardening stage, and a failure stage; the stress–strain curve for H06-C2 epoxy thick mica ferric oxide intermediate coat consists of a strain-hardening stage and a failure stage; the stress–strain curve for E01-JY fluorocarbon topcoat consists of an approximate linear elastic stage and a failure stage. 2) Based on the stress–strain curves, the mechanical property parameters of the primer, intermediate coat, topcoat, and composite coating, such as the elastic modulus, Poisson’s ratio, shear modulus, uniaxial tensile strength, and tensile fracture strain, are obtained. The primer shows the highest uniaxial tensile strength, followed by the intermediate paint, with the topcoat being the weakest. In contrast, the topcoat exhibits the best deformability, followed by the intermediate coat, with the primer showing the worst.
To mitigate the deformation and upward arching defects prone to occur in the longitudinally continuous ballastless track structures of high-speed railway under high-temperature conditions, a reflective insulation coating with medium brightness and high reflective properties was formulated by using self-made fluorine-modified black pigments. This coating can effectively control the temperature while avoiding the visual damage caused by conventional white reflective coating with high brightness to people seeing it. The molecular structure of the self-made fluorine-modified black pigment was characterized by infrared spectroscopy. The mechanism underlying the high solar reflectance performance of the self-made black pigment was elucidated by using a UV-VIS-NIR spectrophotometer, with a comparison made against conventional cool pigments. Based on this, a reflective thermal insulation coating with medium brightness was developed, and the properties of the film-formed coating, including temperature control, adhesion, and durability, were tested. Furthermore, the full-scale track slab structures under natural exposure conditions were coated, and long-term temperature monitoring and analysis were conducted to evaluate the actual temperature control effect of the coating. The results show that the self-made fluorine-modified black pigment can effectively improve the solar reflectance performance of the reflective thermal insulation coating with medium brightness through the transparency characteristics of its near-infrared band. The solar reflectivity of the self-made coating can be increased by more than 7.2% compared to the coating with medium brightness by using conventional pigments. The insulation temperature difference under simulated solar radiation can be increased by more than 3.0 ℃. The coating possesses good uniformity, adhesion, and resistance to ultraviolet-induced aging. Under typical sunny conditions, it can reduce the surface peak temperature of a full-scale track slab structure by more than 10.0 ℃, the daily temperature difference on the surface by 5.0–10.0 ℃, and the longitudinal positive temperature gradient of the track slab by about 50%.
In view of the complex light environment problems such as sudden light changes, dimness, and glare in highway tunnels, a lane line recognition method, improved Hough & least squares (IHLS), based on embedded artificial intelligence (AI) is proposed. It used the improved Hough transform algorithm to carry out Hough transform for detecting straight lines at lane feature points, and employed the least squares method (LS) for curve fitting to identify curved lane lines. Real-time brightness detection and AI-based enhancement were performed on the captured image by embedding AI vision processing algorithm on the in-vehicle camera. The image was enhanced by the zero-reference deep curve estimation (Zero-DCE) model. The edge detection was performed by the improved Nobuyuki Otsu method (Otsu method), and the dynamic region of interest (DROI) was divided by pixel statistics. The image was enhanced and smoothed by guided filtering to improve the accuracy of lane line recognition. The experiment on the proposed method was based on the Liupanshan Tunnel of Qingdao-Lanzhou Expressway. Compared with the LS algorithm, the IHLS algorithm shows a mean intersection over union (MIoU) index increased by 4.14%, average precision (AP) increased by 3.08%, and running time (RT) increased by 0.01 s. Compared with Hough transform, the algorithm presents an MIoU index increased by 4.18%, AP increased by 2.88%, and RT increased by 0.01 s. The IHLS algorithm embedded with AI visual processing solves the optical problems such as machine vision overexposure, color imbalance, and distortion, and realizes real-time recognition and tracking of lane lines in complex light environments.
The roles of connection and transfer in the travel chain of residents are played by bus stops. The high density of slow-moving heterogeneous groups in these areas increases the possibility of traffic conflicts among them. Existing studies mostly focus on the traffic conflict problem in bus stop areas, whereas the causal mechanism of traffic conflicts among slow-moving heterogeneous groups in bus stop areas and the heterogeneity among influencing factors are not deeply studied. Four types of bus stops in Kunming were taken as research objects. Data from 20 bus stops from December 2022 to March 2023 were collected, and the movement characteristics of slow-moving heterogeneous groups were analyzed. The severity of conflicts was discriminated based on the dutch objective conflict technique for operation and research (DOCTOR) method. A random parameter Logit model considering the heterogeneity of mean and variance was constructed to better identify the heterogeneity in random parameters and improve the safety of bus stop areas. The results indicate that in terms of random parameter distribution, the lateral conflict and non-motorized lane width for pedestrians follow
One significant challenge in railway transportation organization is how to quickly develop high-quality wagon flow routing schemes while considering complex constraints such as line capacity, with the aim of minimizing total transportation costs. Given the distinct tree structure of wagon flow routes, all the wagon flow towards the same destination station was considered as a whole, and the concept of in-tree was proposed. By doing so, the flow routing problem could be transformed into determining the in-tree scheme for each destination station (i.e., root node). On this basis, the classic arc-based multi-commodity flow model was reformulated using the in-tree selection variables. Subsequently, a two-stage solution approach was proposed in consideration of the structure of the reformulated model. The first-stage model aimed to generate a pool of promising in-tree schemes by using the column generation algorithm. The second-stage model was intended to select the best in-tree scheme for each root and obtain the wagon flow routes. Finally, by using basic data from the railway network in Southwest China, test instances of varying network scales were constructed to evaluate the algorithm’s performance. The results demonstrate that the proposed method can obtain near-optimal solutions within a short computation time. Compared to CPLEX, the column generation algorithm achieves higher solution efficiency; compared to a simulated annealing algorithm, it delivers better solution quality. The in-tree model exhibits lower model complexity and higher computational efficiency than the traditional arc-based model.
Variable marking intervention in expressway weaving sections based on the cellular automaton was proposed by combining the advantage that variable markings can flexibly change the marking form according to the needs of traffic scenarios and provide more marking control strategies to solve the problems of fixed marking control in the weaving sections of urban expressways, with the intervention effect evaluated. First, the cellular automaton model was built based on the three-phase traffic flow theory to provide a basis for fuzzy controller building. Second, the strategy library of active variable marking intervention was generated, and the fuzzy controller was constructed to realize the full-time simulation of weaving section scenarios under variable marking control. By selecting the coil data of weaving sections and typical traffic flow data during peak periods in Shanghai as the traffic flow input for full-time simulation, the output was obtained for the marking control scheme. Finally, the intervention effect was evaluated in terms of operation efficiency, potential accident risk and pollutant emission. The results show that the average delays of the scenarios of real working conditions and designed working conditions are significantly reduced under variable marking intervention compared with ordinary markings, with the average delay of the designed working conditions decreasing from 71 to 48 s. The number of hazardous scenarios under variable marking intervention in real working conditions is reduced by 23.4% compared with ordinary markings. The mean values of several important pollutants emitted by the vehicles are significantly reduced.
In view of the problems of low efficiency and high cost associated with current three-dimensional (3D) printing methods for fabricating physical terrain models, a rapid printing method for terrain models based on improved K-dimensional (KD) tree spatial segmentation was proposed, aiming to enhance printing efficiency and reduce material consumption. First, the correlation between digital terrain model features and 3D printing parameters was analyzed to establish a rule set of spatial segmentation constraints. Subsequently, an improved KD tree model integrating dimension adaptation and size constraints was constructed, overcoming the rigid limitations of positions and dimensions in traditional segmentation and achieving refined segmentation for the terrain model and effective removal of underground sections. Building upon this foundation, a rapid spatial segmentation algorithm incorporating a greedy strategy was designed. This algorithm maximized the hollowed-out volume of the base by pursuing locally optimal segments. Micro terrain areas were integrated by means of regional clustering to optimize the sub-block segmentation results. For each terrain unit after segmentation, a rapid prototyping method based on block-based parallel and inverted printing was proposed. Fine support structures at four corners prevented model distortion while enabling substantial base hollowing and reducing material consumption and printing time. Finally, an experimental environment was established; case experiments and analysis were carried out; five typical disaster terrain data, including earthquakes, wildfires, floods, landslides, and debris flows, were selected for printing validation under conditions of varying resolutions and spatial scales. Research results demonstrate that the proposed method effectively overcomes the rigid limitations of traditional segmentation and the problem of model sagging distortion in fused deposition modeling. Across cases of the five disaster types, the approach achieves an average reduction of 17.69% in 3D printing time and 28.98% in material consumption. This facilitates rapid and low-cost physical terrain model printing with high applicability across diverse terrains.
Accurate and uninterrupted position information is crucial for ensuring the safe and efficient operation of rail transit trains. However, realizing seamless and precise positioning still poses a significant challenge for current train positioning systems operating in complex environments such as tunnels, elevated tracks, urban canyons, and suburban areas. Resilient positioning, navigation, and timing (PNT) system can produce continuous, reliable, and robust position information by integrating diverse PNT information sources. It can withstand hazards, adapt to risks, and counteract interference, offering a viable solution to the aforementioned challenges and demonstrating significant potential in fields such as military defense and aerospace. To promote the application and development of this technology in the rail transit sector, the navigation, positioning, and timing requirements of users of the rail transit industry were analyzed. According to the existing navigation and positioning capabilities of rail transit systems, the concept and framework of a resilient PNT system tailored for rail transit was proposed. Given the unique characteristics of rail transit PNT, the fundamental characteristics and evaluation metrics of the resilient PNT system of rail transit were summarized, and the relationship between resilience and accuracy, integrity, continuity, availability, and other indicators was elaborated. On the basis of multi-source PNT sensors, including global navigation satellite system (GNSS), responders, and 5G-railway (5G-R), the key technologies of the resilient PNT technology system and information fusion for rail transit were discussed. In conclusion, deep fusion of multi-source information and resilient fusion architecture are important research directions for achieving continuous seamless positioning in future rail transit.
To achieve digital modeling and performance evaluation of ancient stone arch bridges, the reverse modeling method was explored based on unmanned aerial vehicle (UAV) oblique photography and image contour extraction technology. Firstly, the UAV was used to collect multi-view sequence images of the stone arch bridge. Secondly, based on the structure from motion (SfM) and multi-view stereo (MVS) algorithms, a three-dimensional (3D) model of stone arch bridges was constructed. Then, based on the characteristics of color difference between stone blocks and mortar, as well as the geometric regularity of stone blocks, strategies of color difference enhancement and small-area impurity filtering were proposed to improve the Canny edge detection. Cyclic quadrilateral recognition and shape optimization were introduced to improve the polygon approximation algorithm, so as to realize the automatic identification of surface contours. Subsequently, the real scale was calibrated based on ground control points, and the finite element model was generated through parametric modeling using the extracted contour coordinates. Finally, the proposed method was applied to model the Toulong Bridge and analyze its performance, and compared with experimental results. The study has shown that no obvious diseases are detected on the surface of the 3D real-scene model of the Toulong Bridge, with the maximum dimensional error of 0.8%. The maximum calculation error of the deflection of the finite element model is 2.1%. This method can accurately reflect the geometric shape and mechanical properties of ancient stone arch bridges, providing technical support for their digital protection and performance evaluation.
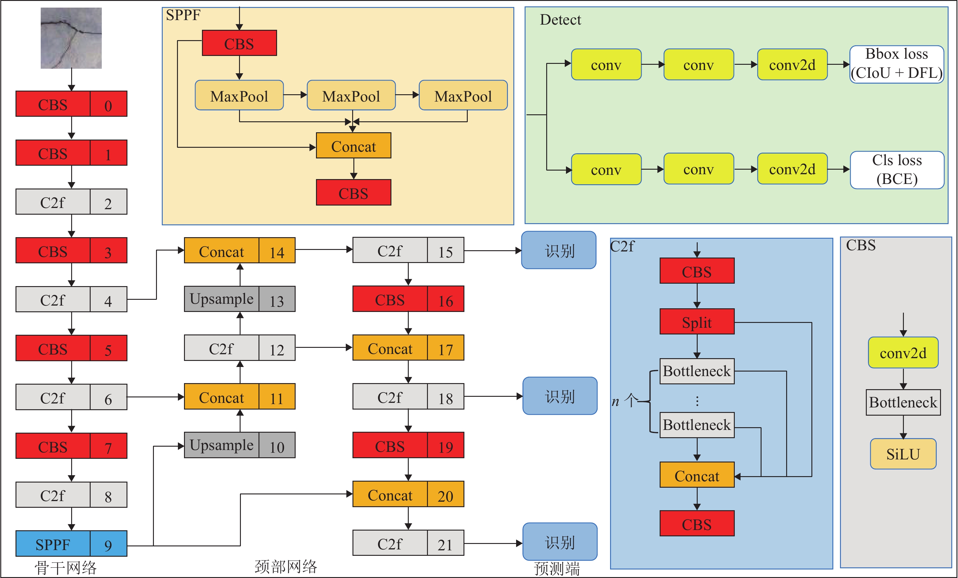
To enhance the accuracy and efficiency of crack detection of ancient bridges and address the issues of information loss and secondary damage caused by traditional sensor detection methods, a crack identification and measurement method was proposed based on an improved You Only Look Once 11 (YOLO11) and SegFormer. First, to overcome the limitations of the YOLO11 model, including its large parameter size and restricted inference speed, the You Only Look Once-crack detect (YOLO-CD) object detection model was introduced. The StarNet lightweight backbone network was employed to reduce computational costs. The HSANet neck network was integrated to enhance the ability to preserve the crack edge detail, and an optimized spatial context detection (OSCD) head was designed to improve multi-scale detection efficiency. Second, an enhanced SegFormer-HF semantic segmentation model was proposed, which incorporated a feature fusion module (FFM) and a high-low frequency decomposition block (HLFDB) to mitigate information loss during sampling and improve semantic consistency in crack segmentation. Finally, a joint detection-segmentation framework was developed, combining a skeleton line algorithm to achieve automatic calculations of crack length and width. Based on the experiments conducted on the crack dataset of ancient bridges, the results have demonstrated that the YOLO-CD model achieves F1 score, mAP50, and mAP50-95 values of 0.678, 0.715, and 0.464, respectively, while reducing floating-point operations (GFLOPs) by 47.62% compared to YOLO11. The SegFormer-HF model achieves superior performance with F1-score, mIoU, and mPA of 0.915, 0.852, and 0.905, respectively, outperforming existing mainstream models. The results validate that the proposed method achieves higher efficiency and compact model size while balancing detection speed and accuracy, which is suitable for deployment on mobile devices such as cameras and drones.
The conservation of ancient stone arch bridges is severely hindered by drawing deficiency, difficult on-site survey, and structural deterioration. These obstacles make it difficult to acquire the geometric parameters required for refined mechanical models and to reproduce the real damage state of individual blocks. As a result, refined mechanical models can hardly be established effectively. To solve the problem, a finite-element (FE) modeling strategy of ancient stone arch bridges based on masonry structure gap image recognition is proposed. First, a dataset with a large number of labeled contours of blocks in stone arch bridges was constructed, and a trained YOLOv8 convolutional neural network was used for instance segmentation of the block contours on the bridge images. Second, the recognition results were post-processed with the Douglas–Peucker algorithm, and key geometric information of individual blocks was extracted. Finally, a parametric modeling procedure was developed: an ABAQUS parametric modeling script was developed to automatically generate a separate FE model that faithfully replicates the actual masonry structure, with contact interfaces defined between blocks for subsequent FE simulation analysis. The results show that under self-weight and deck loads, the peak principal stress in the arch rib predicted by the separate FE model is about 1.2 times that given by a conventional monolithic FE model, and conspicuous stress concentrations appear at masonry defects. The separate model can more accurately reproduce the block distribution and local defects of the actual bridge. It has significant advantages for revealing the damage mechanism of the masonry structure of ancient bridges, and provides a new perspective and method for the mechanical simulation study of ancient bridge protection.
Currently, most Min-Zhe timber arch lounge bridges suffer from the lack of detailed blueprint documentation, leading to unsatisfactory preservation effects and insufficient research on fire spread patterns and disaster prevention. To solve these problems, a digital reconstruction technology based on three-dimensional scanning and BIM parameterization was proposed to construct the digital twins of timber arch lounge bridges, and a BIM-fire dynamics simulator (FDS) was used to analyze the fire spread patterns and fire prevention strategies of such bridges. Firstly, the original point cloud model of Helong Bridge was obtained through on-site three-dimensional scanning, and after registration, denoising, and thinning processes, a BIM parametric digital twin was established to calculate its fire load density. Secondly, the IFC format was adopted to realize the interaction between BIM and FDS, and the fire digital twin of the timber arch lounge bridge was established. Simulation analysis was conducted through parameters such as heat release rate (HRR), fire spread phenomenon, visibility, temperature, and harmful gas concentration, and the fire spread patterns were derived by simulating and analyzing multiple typical fire source scenarios in FDS. Finally, fire prevention optimization strategies such as material flame-retardant treatment, bridge deck non-combustible transformation, and sprinkler system layout were discussed. The research results indicate that the fire load density of the timber arch lounge bridge is as high as 4 017.764 MJ/m2, far exceeding that of typical Chinese and foreign buildings, thus posing an extremely high fire risk. Among multiple typical fire source scenarios, excluding HRR mutation values, the HRR peaks of the arch structure and bridge bottom working conditions are stable at 100 MW and 95 MW, respectively. The HRR peaks of the bridge center and bridge head working conditions are stable at 88 MW and 70 MW, respectively. The HRR of the bridge side bottom and bridge top working conditions does not reach the peak within 1 000 seconds, with maximum values of 55 MW and 22 MW. Therefore, the fire risk of ignition under the bridge is the highest, followed by ignition on the bridge deck, while the fire risks of roof ignition and ignition at the bridge side bottom are relatively low. Through fire simulation and quantitative analysis of multiple fire parameters, it is confirmed that the three fire prevention measures can delay the fire spread of timber arch lounge bridges, and the upper and lower fire compartments, wood flame retardancy, and sprinkler systems reduce the HRR peak by 23 MW, 39 MW, and 63 MW, respectively. The research results can serve as the basis for information storage, quantitative analysis of fire spread, and preventive protection of timber arch lounge bridges and provide technical support for the long-term safe operation and maintenance of cultural heritage buildings.
To develop an optimal sensor placement method for ancient stone arch bridges, by taking the Beijing Lugou Bridge, a national key cultural relics protection unit, as an example, a sensor optimization model considering initial damage and random material parameters was established. A fitness function design and solution method considering complex monitoring targets was proposed, along with a meta-genetic algorithm based on the concept of meta-learning for solving the sensor placement optimization problem. The proposed method was compared with two optimization methods based on conventional genetic algorithms, achieving optimal sensor placement for ancient stone arch bridges. The results show that the proposed method offers better parameter identification capability, damage sensitivity, and information redundancy level. When the noise level is within 5%, the sensor placement scheme given by the meta-genetic algorithm can successfully detect the damage, while the other two methods achieve only a 60.0% success rate. When the noise level reaches 10%, the meta-genetic algorithm can detect 60.0% of the damage, while the other two methods fail to detect damage effectively.
To clarify the seismic behavior of earthen-stone masonry walls in traditional Tibetan dwellings in Western Sichuan, four earthen-stone masonry wall specimens were designed, fabricated, and used for conducting quasi-static loading tests. Timber wall reinforcement installation, wall tapering, and wall window openings were adopted as the main parameters to study their influence mechanisms on the seismic behavior of earthen-stone masonry walls. Through the tests, the horizontal load–displacement curves of the earthen-stone masonry walls were obtained, and key seismic performance indicators including bearing capacity, deformation capacity, stiffness, ductility, and energy dissipation capacity were analyzed. The influence of wall openings and timber wall reinforcement installation on the failure mode of the wall was discussed, and a comparative analysis of the shear strength between the earthen-stone masonry walls in Tibetan dwellings and ordinary brick masonry walls was conducted. The research results indicate that the earthen-stone masonry walls in Tibetan dwellings in Western Sichuan generally exhibit good seismic behavior and deformation capacity. In this test, the average shear strength per unit area of each wall component reaches 0.16 N/mm2, and the ultimate deformation capacity is in the range of 2.4%–3.0%, with its deformability showing obvious advantages compared with ordinary brick masonry walls. Both window openings and timber wall reinforcement installation affect the failure morphology and failure mode of the walls. Compared with walls without timber wall reinforcement, the shear strength and energy dissipation capacity of walls equipped with timber wall reinforcement are increased by approximately 27% and 37%, respectively. Meanwhile, the number and width of shear cracks are significantly reduced.
To construct a monitoring system of preventive protection for ancient masonry arch bridges, a monitoring method for risk identification was investigated. Three indicators, which were damage assessment grade, Von Mises stress, and component importance, were used to quantify the most severe damage, unfavorable stress, and critical components. The monitoring target values were solved for the 64 components of the Lugou Bridge based on the loss matrix, force matrix, and importance matrix, and a sensor placement scheme was made accordingly. The results have shown that the method can identify high-value components for monitoring and capture the seasonal fluctuation patterns and cumulative damage risks of Lugou Bridge. Except for the settlement, monitoring data exhibits significant seasonal fluctuation patterns, with peaks in June to July and troughs in January each year. The ratio of winter to summer peak values is 1.577 for strain sensors, 0.849 for displacement sensors at the seventh pier from the east, 1.206 for displacement sensors at the ninth pier from the east, and 1.549 for transverse inclination sensors. The average seasonal fluctuation ratio ranges from 20% to 60%. The settlement of the fifth pier from the East is 1.156 times that of the ninth pier from the East. Sensors near the central arch bridge or located in severely damaged areas have higher peak values among the same type of sensors. The study provides a scientific basis for the monitoring of preventive conservation of ancient masonry arch bridges.
Obtaining the vibrational characteristics of independent substructures from global structures is crucial. The conventional isolated substructure method with time series (SIM-TS) suffers from increased computational errors due to excessively small singular values under noisy conditions. To address this, an improved SIM-TS method named ISIM-TS is proposed, aiming to achieve higher accuracy in substructure modal parameter identification. First, based on SIM-TS, an adaptive truncated singular value decomposition technique was introduced, optimizing the decomposition results by dynamically adjusting the truncation threshold. The ISIM-TS was combined with the covariance-driven stochastic subspace method (SSI-COV) to establish a new substructure modal identification framework, termed ISIM-TS-SSI-COV. Then, the feasibility of the proposed framework was verified via a classical five-degree-of-freedom (5-DOF) numerical simulation. Finally, this method was applied to identify the dynamic characteristics of a substructure in a Tibetan ancient architecture. The numerical results demonstrate that the improved method enhances the identification accuracy of the substructure, particularly reducing the identification error of the second-order frequency by 71.4%, under 1% noise. Furthermore, based on response data acquired under ambient excitation, the proposed method successfully identifies the first two natural frequencies of the substructure as 12.18 Hz and 13.31 Hz, respectively. The results provide an important data foundation for structural model updating and damage identification in the future.
To investigate the flood resistance performance of traditional timber corridor bridges with cantilevered beams and the effectiveness of flood resistance measures, a quantitative analysis of flood loads and flood resistance performance was conducted under various flood conditions and flood resistance measures. First, flood loads on the superstructure of the corridor bridge were obtained using computational fluid dynamics (CFD) simulations, and the effects of water levels, flow velocities, and weatherboard removal were investigated. Next, the distribution of flood loads on main components was analyzed at the moment of maximum drag force of the superstructure. Finally, the flood resistance performance of the corridor bridge was assessed by calculating the sliding and overturning risks of the superstructure, and the enhancement effects of weatherboard removal and deck weighting on flood resistance performance were quantitatively evaluated. The results show that the drag force on the superstructure increases by 145.38% and 95.71% with the increase of water level and flow velocity, respectively. In the presence of weatherboards, the drag force is primarily distributed on the upstream weatherboard and the cantilever beams along the longitudinal axis of the bridge. After removing weatherboards, the drag force is mainly distributed on the cantilever beams along the longitudinal axis and the main beams. Under baseline flood conditions, the maximum drag force on the superstructure decreases by 17.79%; the reduction reaches 48.08% under high water level conditions; while an increase of 1.51% is observed under high flow velocity conditions. As the water level rises, the lift force acting on the superstructure increases rapidly and then stabilizes. Removing weatherboards can reduce the maximum lift force but leads to an earlier occurrence of the peak lift. The corridor bridge faces sliding failure risks under both high flow velocity and high water level conditions. When the uniformly distributed load added to the bridge deck reaches 4.0 kN/m2, the stability of the corridor bridge under the most unfavorable conditions can be ensured. If weatherboards are simultaneously removed, the required uniformly distributed load on the bridge deck can be reduced to 0.5 kN/m2 and 2.5 kN/m2 under high flow velocity and high water level conditions, respectively.
Freeze-thaw cycles are among the primary factors affecting the limestone cultural relics in northern China. These cycles often result in various forms of surface weathering, seriously threatening the long-term preservation of these cultural relics. Water immersion freeze-thaw simulation weathering experiments were conducted on fresh limestone. The development patterns of physical and mechanical property indicators were obtained by utilizing various characterization techniques. By examining variations in pore structure, the freeze-thaw damage mechanism of limestone was quantitatively revealed from both macro and micro scales, and a comprehensive evaluation of weathered limestone was performed using an entropy weight-linear weighting method. The results have shown that after 50 freeze-thaw cycles, the P-wave velocity and surface hardness significantly decrease, with a loss rate of over 10%. The capillary water absorption coefficient increases by more than one time; The uniaxial compressive strength decay rate was 30.6%. As the number of cycles increases, the structural integrity of the compressed limestone becomes worse. The pores of limestone are primarily composed of mesopores (0.1–
Due to the unique structural form of stone masonry walls in traditional Tibetan architecture, the complexity of the material composition, and the interference of environmental factors, the accurate detection of hidden damage in the wall is extremely challenging. To address the limitations of traditional methods in target signal identification, experimental data obtained from ground-penetrating radar (GPR) testing of Tibetan stone masonry walls were used to verify the reliability of the numerical simulation results. Then, the propagation characteristics of the effective wave were systematically analyzed, with the focus on the effects of different GPR antenna center frequencies, GPR spacing from the wall, and crack width on the echo characteristics. Finally, the successive variational mode decomposition (SVMD) method was applied for signal decomposition and reconstruction. Its stability, applicability in target signal identification, and its advantages over existing techniques were evaluated across varying noise levels and crack widths. The results have shown that when the SVMD method is applied to the noise reduction of GPR signals in masonry walls of traditional Tibetan architecture under specific conditions, it improves the signal-to-noise ratio by 58.36% and 18.67% compared to the empirical mode decomposition (EMD) and variational mode decomposition (VMD) methods, respectively. It can effectively separate the target signals, background wall signals, and noise signals, providing reliable technical support for extracting damage characteristics in masonry walls of traditional Tibetan architecture.
Email alert
RSS

[Abstract]
[FullText HTML]
PDF 2136KB
Supplements