• ISSN 0258-2724
  • CN 51-1277/U
  • EI Compendex
  • Scopus 收录
  • 全国中文核心期刊
  • 中国科技论文统计源期刊
  • 中国科学引文数据库来源期刊

当期目录

2026年  第61卷  第1期

显示方式:
浮充工况锂电池组早期内短路快速定量诊断方法
李志强, 刘媛, 李彬, 时玮, 郑岳久, 来鑫
2026, 61(1): 1-8. doi: 10.3969/j.issn.0258-2724.20230704
摘要:

锂离子电池的浮充工况广泛存在于备用电源、通讯基站等场景,是一种状态趋于稳定的特殊工况;然而,这种稳定性却对该工况下电池内短路定量诊断带来挑战. 本文提出一种基于间歇式充电的锂离子电池组早期内短路定量诊断方法,该方法利用重复的“充电-断电”过程,根据充电电量与漏电量的关系计算出等效漏电流,实现内短路的快速定量诊断. 仿真与实验结果表明:对于500 Ω级别的电池微短路,所提出方法的诊断误差小于2%,检测时间约为33 min,实现对浮充电工况下电池内短路的早期高精度定量诊断;在诊断100 Ω级别中,所提出方法相较于常规恒压源方法内短路的精度提高超16倍以上,且计算负担低,对提高电池组安全性具有重要意义.

数字孪生铁路地理地质知识库分布式管理方法
朱庆, 赵元祯, 郭永欣, 丁雨淋, 王强, 潘岩, 陈俊桦, 张利国
2026, 61(1): 1-10. doi: 10.3969/j.issn.0258-2724.20230389
摘要:

高效的铁路工程地理地质知识服务是支撑数字孪生铁路多尺度多专业智能应用的重要基础. 为提高数字孪生铁路 “区域-工程-施工面”多尺度应用中的查询检索完整性和协同耦合分析能力,构建地理地质知识动态分布的元网络模型,设计以铁路多专业用户、业务部门、知识关联关系、多尺度应用场景为节点,设计知识库分布网络体系;实现分布优化的元网络打击算法,基于度中心度指标计算节点重要性,通过扰动分布关系网络分析分布影响力,计算节点的影响范围并得到知识库的分布优化结构;以某铁路特大桥工程的数字孪生铁路知识库管理及应用为实验场景,采用本文方法对已有知识库分布结构进行优化. 实验结果表明,在处理工程尺度和区域尺度的知识检索任务时,分布优化方法提高了查询检索结果的数量,缩短了查询检索时间,并提高了结果的匹配度.

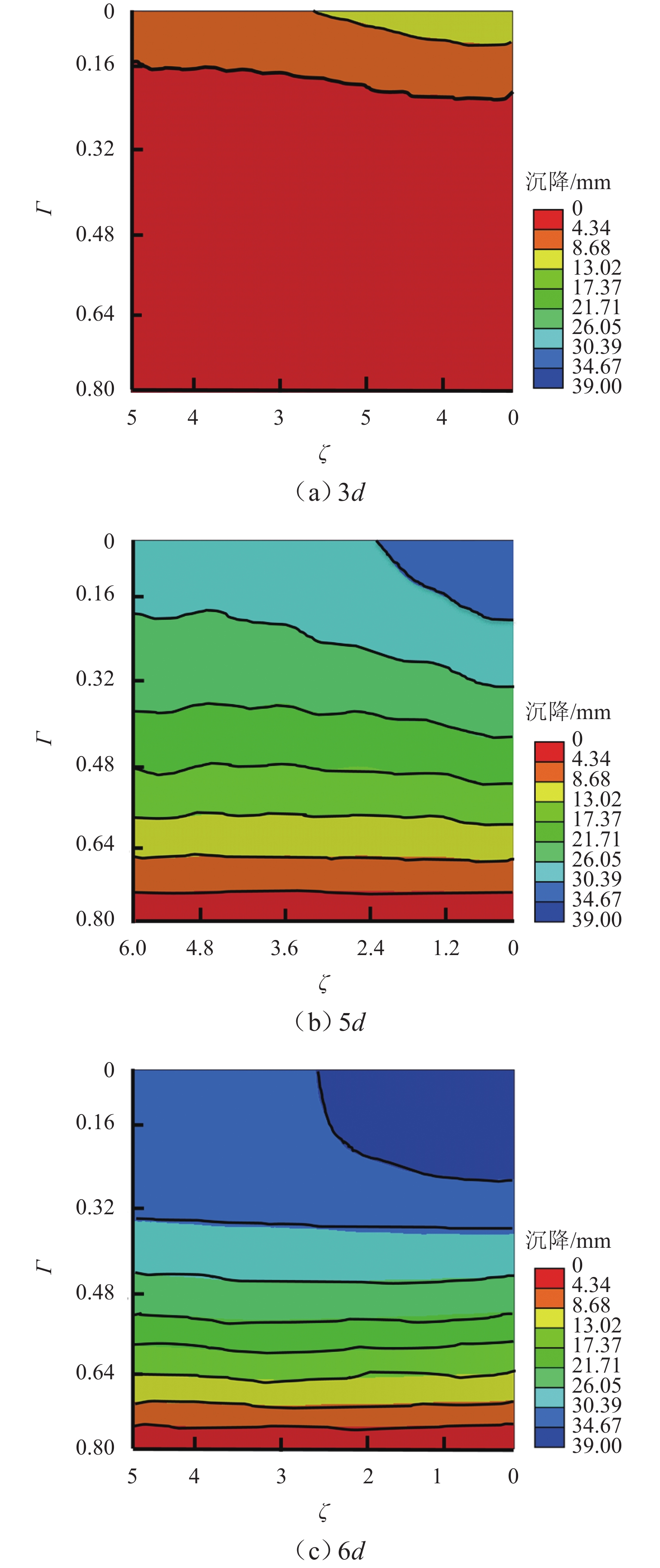
飞机滑行荷载对跑道桩网复合地基影响的数值分析
蔡靖, 张博硕, 范怡飞, 周鹏
2026, 61(1): 11-20, 40. doi: 10.3969/j.issn.0258-2724.20230692
摘要:

桩网复合地基可以有效降低道路工程工后沉降,近年来常用于对我国沿海机场飞行区的跑道和机坪系统进行地基处理. 然而,目前关于桩网复合地基的研究多集中于工前静承载特性,缺乏跑道下地基工前沉降完成后,飞机滑行荷载作用对跑道桩网复合地基影响的定量评价研究. 本文通过改变填土层厚度、桩间距、飞机机型等参数,基于动载影响系数、工后差异沉降比和土拱度退化系数等指标,利用有限元软件ABAQUS对飞机滑行荷载作用下跑道桩网复合地基的受力变形特性进行数值分析,量化飞机滑行荷载对跑道桩网复合地基承载和沉降特性的影响. 研究表明:当填土层厚度由4.5 m减小至1.5 m时,土拱退化参数由3.3%升至15.1%;当桩间距由6d减小至3dd为桩直径)时,土拱退化参数由7.8%升至12.0%,软土层位置处的工后差异沉降比可能超过规范建议值;填土层厚度越小、桩间距和飞机重量越大、起落架荷载越集中,飞机滑行荷载作用后的土拱弱化越明显.

落石冲击荷载计算方法研究
王玉锁, 田四明, 杨竣翔, 王明年, 王伟, 李传宝, 赵状, 肖鹏
2026, 61(1): 21-30. doi: 10.3969/j.issn.0258-2724.20240019
摘要:

为明晰落石冲击力与冲击荷载的关系,定义能反映落石、缓冲土层及结构间相互作用的综合反射系数(其值越大说明对结构的冲击效应越显著),提出基于波动理论的落石冲击荷载计算方法. 通过落石冲击上覆缓冲土层拱形结构试验研究落石冲击荷载的大小和分布特征,得到综合反射系数的取值和影响规律,并利用所提出的计算方法分析落石冲击荷载和落石冲击力的关系;进一步明确结构的落石冲击荷载在横剖面上呈对称抛物线分布,可由拱顶处最大冲击压力峰值和结构跨度控制的二次抛物线曲线方程表征. 结果表明:在落石自由下落高度10 m及缓冲土层厚度2.0 m范围内,综合反射系数与缓冲土层厚度呈显著负相关性;缓冲土层厚度2.0 m时其受落石形状及下落高度影响较小,可取0.55;当厚度为1.0、0.5 m时,立方体落石的综合反射系数要大于球面体或锥体落石,且与落石下落高度呈正相关;结构所受落石冲击荷载的合力与落石对缓冲土层的冲击力与缓冲土层厚度和落石形状有关,当缓冲土层厚度为2.0 m时二者接近,前者稍小于后者,将落石冲击荷载合力等于落石冲击力对结构设计是偏于安全的,当缓冲土层厚度小于2.0 m时反之,且厚度越小相差的倍数越大;缓冲土层厚度1.0 m时,立方体落石冲击荷载合力较落石冲击力平均增大约20倍,而球顶锥体的增大约3倍,缓冲土层厚度0.5 m时,两种形状的落石冲击荷载合力较落石冲击力平均增大分别约30倍和10倍;相同条件下,立方体落石的冲击荷载合力大于球顶锥体的,且随落石下落高度增大或缓冲土层厚度减小,立方体与球顶锥体相差倍数越大.

甘肃积石山Ms6.2级地震诱发滑坡快速评估
曾营, 张迎宾, 储峰, 柳静, 冯振海, 苏金蓉
2026, 61(1): 31-40. doi: 10.3969/j.issn.0258-2724.20240041
摘要:

震后迅速获取同震滑坡分布及灾情评估对于应急救援和重建工作至关重要,采用IDNPM (InSAR data-newmark physical fusion driver model)方法对2023年12月18日甘肃积石山地震引发的滑坡进行快速评估,以期迅速精准掌握滑坡灾害的宏观分布. 首先,通过时序星基增强系统(SBAS)-InSAR揭示该地区有着严重的冲沟发育和溯源侵蚀现象,这些地质特征为滑坡提供了有利的孕育环境;然后,运用IDNPM方法对积石山地震进行滑坡快速评估,预测出赵木川村、塔沙坡村、大河家镇等地的陡峭斜坡及沟壑两侧为地震诱发滑坡的高风险区域;最后,综合实地考察、数值模拟及卫星识别技术,验证该模型在实际应用中的可靠性. 结果表明:全区共有2.657%的高风险区,需要重点关注此类区域;对已发生崩滑的坡体紧急清理和加固,对于未发生滑移的区域,应采取监测和评估措施,以防范可能发生的震后次生滑坡事件;研究成果可为受灾区的灾后应急救援和恢复重建工作提供有力的数据支撑.

高温-干湿循环作用下混凝土分区抗硫酸盐的侵蚀性能
李福海, 黄绍宁, 肖赛, 霍佳腾, 范少轩, 刘梦辉, 丁玉乔, 田杨
2026, 61(1): 41-51. doi: 10.3969/j.issn.0258-2724.20240058
摘要:

针对海洋工程中混凝土材料在硫酸盐环境中的损伤劣化问题,开展在半浸泡环境中不同浓度的硫酸盐溶液侵蚀和高温作用下混凝土侵蚀试验、微观试验. 通过分析混凝土试件质量变化、动弹性模量、侵蚀产物的成分与含量、硫酸根离子含量,结合微观测试,揭示半浸泡和硫酸盐环境下高温-干湿循环作用下混凝土损伤劣化规律. 结果表明:硫酸盐侵蚀初期,硫酸盐侵入浸泡区混凝土内部,促进水化作用,混凝土内部的AFT、石膏会填充初始缝隙,产物起到填充作用及骨架作用;后期产物量继续增大会对混凝土造成破坏,动弹性模量下降12%~30%;吸附区的混凝土同时受到干湿循环和热循环,2种循环会加剧毛细作用、扩散作用,使盐类在混凝土内部易产生结晶,热循环会加速骨料和水泥基体脱离,形成更多的孔隙,有利于盐类继续侵入;硫酸钠的物理结晶前期填充作用对强度有提升,质量提升0.50%~1.75%,但后期的破坏作用更加严重.

泡沫沥青冷再生胶结料界面黏聚性的改善方法
郭乃胜, 王家伟, 崔世超, 刘世盟
2026, 61(1): 52-64. doi: 10.3969/j.issn.0258-2724.20240059
摘要:

为提升泡沫沥青冷再生胶结料(由水泥、旧沥青和泡沫沥青组成)的黏聚性,选取多聚磷酸(PPA)、丁苯橡胶(SBR)、甘油三酯(TG) 3种泡沫沥青冷再生胶结料改性剂,利用分子动力学模拟方法建立不同改性剂及其掺量的泡沫沥青冷再生胶结料分子模型;基于界面能、相互作用能、扩散系数和水分子径向分布函数(RDF)等指标,研究不同改性剂及其掺量对泡沫沥青冷再生胶结料界面特性改善效果的影响规律,并通过显著性检验和层次分析法分别探讨各指标间显著性差异和改性方案的权重. 结果表明:添加0.8% 的PPA对泡沫沥青冷再生胶结料黏聚性提升效果最为显著,可以有效改善泡沫沥青冷再生胶结料的界面能、自由体积和水损害的影响,亦使泡沫沥青冷再生胶结料具有较好的扩散能力;添加15.0%的TG对泡沫沥青冷再生胶结料的相互作用改善效果较好,但扩散性能较差;添加2.0%的SBR对泡沫沥青冷再生胶结料的抗水损害能力改善效果最好,但SBR总体改性效果一般; 不同剂掺量之间不存在显著性影响,各改性剂掺配方案相互独立且各有优势.

玄武岩纤维风积沙混凝土单轴受压应力-应变试验研究
董伟, 泽里罗布, 银英姿, 薛刚
2026, 61(1): 65-73. doi: 10.3969/j.issn.0258-2724.20240098
摘要:

为研究不同玄武岩纤维(BF)掺量下风积沙混凝土(ASC)轴心受压力学性能,试验以0%纤维掺量的混凝土为基准组,设计不同纤维掺量(0.05%、0.10%、0.15%和0.20%)的风积沙混凝土(BF-ASC),分析BF体积分数对风积沙混凝土轴心抗压强度、峰值应力、峰值应变和弹性模量的影响. 结果表明:混凝土峰值应力和弹性模量均随着纤维体积分数的增加呈现先增大后减小的趋势,当BF掺量为0.10%时,其峰值应力和弹性模量分别为基准组的115.6%和112%;峰值应变和韧性指数则随纤维体积分数增大而增大,掺量为0.20%时,其峰值应变较基准组增长34.92%,韧性指数增长7.2%;BF-ASC应力-应变全曲线变化同普通风积沙混凝土都经历了弹性、塑性和破坏3个阶段;依据Carreira and Chu模型及过镇海模型对BF-ASC本构关系进行分段描述,其上升段符合Carreira and Chu本构模型,下降段符合过镇海模型;对考虑BF掺量的BF-ASC单轴受压本构模型进行回归分析,相关系数均大于0.98,该本构模型与试验曲线吻合度较高.

不同应变率下超高延性混凝土的动态拉伸性能
王义超, 吴平飞, 余江滔, 张耀, 谢星星
2026, 61(1): 74-84. doi: 10.3969/j.issn.0258-2724.20240264
摘要:

超高延性混凝土(UHDC)具有优异的应变硬化和多裂缝开裂特性,在抵抗冲击荷载等方面具有巨大的应用潜力. 为研究UHDC拉伸性能的应变率效应,在从准静态到冲击状态范围内的11种应变率(0.0001189.0700 s−1)条件下进行直接拉伸试验,分析应变率对UHDC拉伸应力-应变曲线形态、裂缝开裂模式以及拉伸性能指标的影响,进一步建立拉伸性能指标动态增长因子关于应变率的表达式;此外,分析拉伸速率对纤维-基体界面黏结性能的影响,进一步解释UHDC拉伸性能的应变率效应. 结果表明:UHDC变形能力随应变率的增加呈下降趋势,但在应变率达到102.0000 s−1时,依然具有显著的应变硬化和多缝开裂能力,拉伸应变可达4%;平均裂缝宽度基本不随应变率变化,保持在100 μm左右,显示出UHDC优异的裂缝控制能力;拉伸性能指标动态增长因子与应变率的关系曲线呈现明显的两阶段特性.

自感知功能填料在混凝土结构中的应用研究进展
许靖业, 严丁辉, 肖赛, 洪彧, 张津毓, 蒲黔辉, 李福海
2026, 61(1): 85-101. doi: 10.3969/j.issn.0258-2724.20240087
摘要:

用于健康监测的自感知混凝土材料是结构工程领域的新兴研究热点,但其工程应用和产业化进程还面临着一些挑战. 为进一步促进自感知混凝土在结构健康监测领域的推广和应用,介绍不同导电功能填料的掺量比例、形状特征、二次改性及与其他种类填料混杂等因素对自感知混凝土性能的影响,并回顾自感知混凝土功能填料的重要和阶段性成果. 自感知功能填料的测试与标定规范尚需完善,不同的测试设备和方法会对检测结果产生明显影响,无法保证结果的可比性;有关自感知功能填料的环境适应性评估较为缺乏,复杂环境条件(温度、湿度、腐蚀等)对材料耐久性和使用寿命的影响很大,材料在实际运营下的长期稳定性欠缺研究;批量生产过程中的品质控制未得到重视,大规模生产的原材料和工艺差异会严重影响产品性能的一致性;实际工程应用案例较少,开展多参数实时监测与多功能耦合的智能自感知混凝土在大型桥梁、隧道等结构中的运用试验,能进一步补充自感知混凝土的相关数据,具有良好的研究前景.

桥梁竖向隔振球型支座开发及试验研究
王勇, 顾海龙, 艾宗良, 向律楷, 李小珍, 贾立志, 胡元宏, 宋建平
2026, 61(1): 102-110. doi: 10.3969/j.issn.0258-2724.20240203
摘要:

为降低高铁桥梁车致振动对周围环境的影响,首先,提出一种内置金属盘式隔振器的桥梁竖向隔振球型支座,给出支座力学本构模型和整体竖向刚度计算方法;结合仿真和试验对比研究金属盘式隔振器竖向刚度的设计符合性,并仿真分析不同摩擦支承面对金属盘式隔振器竖向刚度和应力的影响;然后,通过竖向隔振球型支座的系列试验,研究了支座的常规性能、竖向刚度、隔振荷载、动静刚度比和刚度稳定性;最后,以高速铁路32 m跨混凝土简支箱梁为背景,探究了列车作用下的支座隔振效果. 结果表明:3种不同竖向承载力设计的金属盘式隔振器的竖向刚度仿真与实测值偏差均在±10%以内;金属盘式隔振器的底部支承面摩擦系数在0.01~0.10内时,竖向刚度增加2.1%,应力减小0.9%;竖向隔振球型支座样件的常规性能满足设计要求,竖向刚度和隔振荷载的试验值与设计值偏差均在±10%以内;支座在过载卸载后竖向刚度保持稳定,对金属盘式隔振器起到保护作用;激励频率1~17 Hz时,支座动静刚度比的范围为1.00~1.15;支座1000万次疲劳后刚度增加量小于10%,各部件完好;竖向隔振球型支座支承下的桥梁满足列车安全性和乘坐舒适性指标要求,竖向隔振球型支座较普通球型支座的土体振动响应衰减量达4 dB左右.

卵石破碎面数目影响集料直剪性能规律研究
井国庆, 程岩, 刘贵宪
2026, 61(1): 111-116. doi: 10.3969/j.issn.0258-2724.20240161
摘要:

为了研究道砟颗粒的破碎面数目对道床直剪性能的影响规律,首先,对光滑的河卵石进行破碎,得到拥有不同破碎面数目的道砟集料;其次,针对以上工况在不同垂向应力下开展直剪试验,得到剪切过程中道砟集料的应力应变关系和变形特性;最后,通过公式计算,得出道砟集料的峰值抗剪强度和内摩擦角随垂向应力的变化规律. 研究结果表明:在强度特性方面,道砟破碎面数目为0、1、2、3个时,同一垂向应力下道砟集料的剪切强度和内摩擦角在一定范围内会随着道砟破碎面数目的增加而增加,剪切强度依次提高了14.7%~25.6%、12.2%~27.4%、6.0%~10.1%;对于变形特性,道砟集料的剪缩特性会随着破碎面数目的增加而增加,最大增加了76.4%,而剪胀特性会随着破碎面数目的增加而减少,最大减少20.8%.

德标减振轨道插入损失率的理论修正方法及应用
韦凯, 刘延滨, 王显, 蒲前华
2026, 61(1): 117-126. doi: 10.3969/j.issn.0258-2724.20240116
摘要:

为准确高效评价轨道减振性能,德国标准DIN V 45673-4规定了插入损失率的高效计算方法,能够排除线路运营条件与轨道不平顺等随机因素的干扰,但该方法在模型等效时未考虑轨道抗弯刚度的贡献,不能准确得到实际轮轨系统共振频率,进而无法准确判断减振轨道的减振频带. 为提高计算精度,在不降低计算效率的前提下改进德标插入损失率计算模型,以弹性地基梁近似反映轨道实际结构尺寸与刚度特征,综合考虑弹性元件与轨道抗弯刚度对轨道刚度的贡献,修正模型刚度;以减振垫浮置板轨道为例,针对我国环评要求的1~80 Hz减振频带,讨论轨道尺寸及弹性元件减振优化方案. 研究结果表明:刚度修正后,轮轨系统共振频率误差由76.0%大幅降低至4.9%;单纯提高扣件损耗因子可以实现环评1~80 Hz频带的整体减振,然而在30~90 kN/mm扣件刚度范围内,单纯降低(单纯提高)扣件刚度仅能提高60~80 Hz (30~60 Hz)频带的插入损失率,但是却降低了30~60 Hz (60~80 Hz)的插入损失率,无法实现环评1~80 Hz频带的整体减振;只有当扣件刚度提升至90 kN/mm以上时,才可实现环评1~80 Hz频带的整体减振,且当减振垫刚度越低或浮置板厚度越大时,所需提高的扣件刚度越大.

基于多机制融合PGSA的弦支穹顶结构预应力优化
姜正荣, 苏昌旺, 石开荣, 周梓杰
2026, 61(1): 127-135. doi: 10.3969/j.issn.0258-2724.20240023
摘要:

针对模拟植物生长算法(PGSA)以固定步长搜索难以收敛于全局最优解、对初始生长点选取依赖性强和生长空间巨大的局限性,提出自适应变步长搜索、高斯扰动变异和生长空间筛选3种机制的新策略,建立基于多机制融合的模拟植物生长算法(多机制融合PGSA),进一步采用多机制融合PGSA对弦支穹顶结构进行预应力优化,并与其他优化算法进行对比. 结果表明:与原PGSA相比,引入自适应变步长搜索机制,可避免算法陷入局部最优解,引入高斯扰动变异机制,可解决由于初始生长点的选取不当而造成优化结果不佳的问题,引入生长空间筛选机制,可在算法收敛后有效终止生长,显著缩小生长空间(降幅最大达97.64%);与其他优化算法相比,多机制融合PGSA的迭代次数最少(仅为45次),且优化得到的支座平均水平径向反力绝对值最小(仅为0.004 kN),验证了该算法的适用性.

冷弯薄壁型钢部分包覆轻质混凝土十形柱的抗震性能
李补拴, 张坤, 周伟, 梁仪伟, 陈明, 赵根田
2026, 61(1): 136-146. doi: 10.3969/j.issn.0258-2724.20240053
摘要:

针对冷弯薄壁型钢构件局部易屈曲和陶粒轻质混凝土易开裂问题,考虑建筑室内布置美学方面要求,提出一种可预制装配的冷弯薄壁型钢部分包覆轻质混凝土十形柱. 以粗骨料取代率为参数设计并制作4根十形柱,完成低周往复加载试验;基于此,采用有限元软件ABAQUS对轻骨料混凝土强度、钢板强度、钢板厚度和加载角度进行拓展分析. 试验结果表明:4个试件滞回曲线均呈对称饱满的梭形,试件破坏形态呈现压弯破坏;随着粗骨料取代率由0%增大到30%、70%和100%,试件重量分别减轻77、176、252 kg/m3,碳减排量分别降低19.18%、38.11%和49.93%,极限承载力分别降低1.0%、4.7%和9.2%,延性系数先增大1.4%,后降低3.8%和4.2%,耗能分别降低8.6%、2.5%和6.7%;采用粉煤灰陶粒替代普通石子作为混凝土粗骨料对冷弯薄壁型钢部分包裹混凝土十形柱抗震性能影响不显著,但相比于普通混凝土具有巨大的碳排减潜力;提高轻骨料混凝土强度对试件的承载力、延性及耗能性能提升不明显;当钢板强度由Q235提高至Q355时,试件极限承载力提高45.1%;当钢板厚度由4 mm分别增加至5 mm和6 mm时,试件极限承载力分别提高14.8%和35.5%;试件的最不利加载角度为45°.

基于全维动态卷积与聚焦IoU的多视角森林火点检测方法
曹云刚, 曾雅慧, 程海波, 隋百凯, 赵俊, 潘如梦
2026, 61(1): 151-159. doi: 10.3969/j.issn.0258-2724.20240229
摘要:

森林火点检测在林火应急救援中起着至关重要的作用. 鉴于现有模型在样本质量、多尺度问题以及多视角图像泛化能力方面存在不足,以YOLOv7为基础,提出一种森林火点目标检测方法FFD-YOLO (forest fire detection based on YOLO). 首先,构建多视角可见光图像森林火灾高点检测数据集FFHPV (forest fire of high point view),旨在增强模型对多视角火点知识的学习能力;其次,引入全维动态卷积,构建空间金字塔池化层(OD-SPP),以此提升模型针对多视角数据的火点特征提取能力;最后,引入具有动态非单调聚焦机制的边界框定位损失函数Wise-IoU (wise intersection over union),降低低质量数据对模型精度的影响,提高小目标火点的检测能力. 实验结果表明:所提出的FFD-YOLO方法相较于YOLOv7,精度提高3.9%,召回率提高3.7%,均值平均精度提高4.0%,F1分数提高0.038;同时,在与YOLOv5、YOLOv8、DDQ (dense distinct query)、DINO (detection transformer with improved denoising anchor boxes)、Faster R-CNN、Sparse R-CNN、Mask R-CNN、FCOS和YOLOX的对比实验中,FFD-YOLO具有最高的精度75.3%、召回率73.8%、均值平均精度77.6%和F1分数0.745,验证了该方法的可行性与有效性.

基于外码分块编码的BATS码度优化
杨柳, 阴慧颖, 马征, 刘恒, 王士恒
2026, 61(1): 160-170. doi: 10.3969/j.issn.0258-2724.20230670
摘要:

为解决分批稀疏码(BATS 码)在现有外码分块编码方案下,由于外码随机分批而导致的数据重复译码及资源浪费问题,系统地研究基于外码分块编码方案的 BATS 码理论批次数优化与动态适应性问题. 首先,在已知丢包率的条件下,构建 BATS 码批次数消耗分析模型,并推导得出最优度值的计算方法,以此应对现有方案在计算理论批次数以及确定最小化批次数消耗的最优度值方面所面临的挑战;其次,针对信道丢包率未知的场景,提出一种基于强化学习的BATS码动态度优化方法,借助智能学习机制,在丢包率未知的情况下实时获取度值;最后,通过仿真实验对所构建的理论模型和提出的动态优化方法进行评估. 理论分析结果显示,所构建的基于外码分块的传输模型及其理论批次数计算公式能够精准计算批次数消耗并确定最优度值. 仿真结果进一步证明,在丢包率未知的场景下,所提出的强化学习优化方案的平均批次数消耗低于固定度值方案,且在动态信道环境中能够保持良好的性能表现.

基于a-PPO算法的列检机械臂在线运动规划方法
赵舵, 谢冠豪, 王叶文, 赵文杰, 黄晨, 袁昭辉
2026, 61(1): 167-177. doi: 10.3969/j.issn.0258-2724.20240085
摘要:

为满足列车底部场景中巡检机械臂主动配合工作人员的人机协作需求,并提高PPO (proximal policy optimization)算法的收敛速度,提出一种自适应PPO (adaptive-PPO, a-PPO)算法,并将其应用于列检机械臂的在线运动规划. 首先,设计系统模型,根据当前环境状态即刻输出策略动作;然后,引入几何强化学习构建奖励函数,通过智能体的探索不断优化奖励值分布;接着,基于策略更新前后的相似度自适应地确定裁剪值,形成a-PPO算法;最后,通过在二维地图上对比分析a-PPO算法的改进效果,并验证其在仿真和真实列车场景中的可行性和有效性. 结果表明:在二维平面仿真中,a-PPO算法在收敛速度上优于其他PPO算法,且路径稳定性显著提高,路径长度标准差平均比PPO算法低16.786%,比Informed-RRT* 算法低66.179%;仿真与真实列车场景的应用实验中,机械臂可实现运动过程中动态更改目标点和主动规避动态障碍物,展现出对动态环境的适应能力.

基于混合线路的高压专线贯通供电系统性能分析与优化
张丽艳, 王凡, 李澳, 贺昆
2026, 61(1): 178-188. doi: 10.3969/j.issn.0258-2724.20230709
摘要:

针对高压专线贯通供电系统中电缆应用引发的工频过电压与高成本问题,提出基于混合线路的优化配置方案. 首先,利用二端口网络理论构建系统空载等效电路模型,结合混合线路分布参数特性,理论推导沿线电压与空载环流分布规律;其次,通过端口等效建立系统π型等值电路,并采用网络分裂算法构建多负荷统一潮流模型,提出系统等值阻抗与牵引网极限供电距离计算方法,定量评估混合线路的供电能力;进一步,以全寿命周期成本最优为目标,优化电缆与架空线安装比例. 仿真结果表明,“电缆 + 架空线”方案可有效抑制工频过电压,降低空载电流至纯电缆方案的1/3,同时保留电缆长距离供电优势(极限供电距离达95 km),较传统方案节省投资约510万元.

重载列车运行过程的滑模自抗扰控制方法
李中奇, 余剑烽, 周靓
2026, 61(1): 197-206, 242. doi: 10.3969/j.issn.0258-2724.20240120
摘要:

为解决重载列车在复杂环境中运行时易因司机经验不足而导致控车难的问题,基于大秦线Locotrol同步控制原理,建立多机牵引的重载列车多质点动力学模型;针对主控机车设计控制器,将主控机车受到的车钩力、运行阻力及外界干扰等时变量的总和视为总未知量,同时,将总未知量的加速度作为扩张状态设计扩张状态观测器,对其进行实时估计与补偿;引入快速终端滑模控制对自抗扰控制中的非线性误差反馈控制率进行改进,并利用改进的自适应趋近率调节滑模趋近运动的动态品质;以编组形式为“1 + 105 + 1 + 105 + 可控列尾”的重载列车为例,结合大秦线的实际线路数据和金牌司机的驾驶经验进行仿真分析,并与传统方法进行比较. 仿真结果表明:与传统滑模自抗扰控制方法相比,所提控制方法主从控机车的控制力抖振现象降低23.7%,跟踪精度提升19%,跟踪误差可被限定在(−0.7,0.7) km/h.

TBT组合式球轴承组内载荷分布及动刚度特性对比分析
孙凤, 胡玉卓, 刘祥, 赵川, 杨文华, 李博, 徐方超, 赵海宁
2026, 61(1): 207-221. doi: 10.3969/j.issn.0258-2724.20240065
摘要:

支承轴承的动态载荷分布及刚度特性是引起机床振动和切削稳定性的重要因素,为对比分析TBT (back-to-back)组合式球轴承左列和右列在不同工况下的动态载荷分布与动刚度特性,本文基于非线性弹性Hertz接触理论及Jones-Harris模型,结合滚动体-滚道接触状态判定准则,提出多列组合球轴承五自由度分析模型;采用改进的迭代算法求解,大大提高迭代计算在不同外界条件波动下的求解收敛性,得到恒定预紧力作用下TBT组合式轴承组内轴承动态载荷分布和动刚度特性. 研究结果表明:转速、径向载荷、轴向载荷均会改变组合轴承的载荷分布及动刚度特性,且对左列和右列轴承影响效果不同;转速增加会导致组内轴承内部产生非完全接触区域,使轴承载荷分布发生振荡;相较于单个轴承在等效外界载荷条件下,组合轴承的径向动刚度较轴向动刚度提升效果更明显.

单轴并联PHEV个性化最优换挡规律
阴晓峰, 李鸿, 张金红, 李海波, 牛铭奎
2026, 61(1): 222-233. doi: 10.3969/j.issn.0258-2724.20240123
摘要:

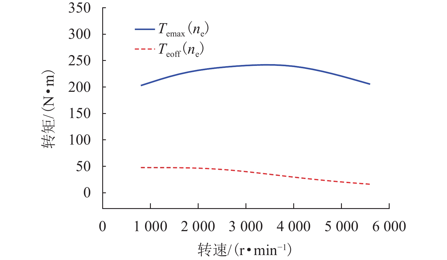
为实现插电式混合动力汽车(PHEV)个性化综合性能最优,针对单轴并联PHEV,提出了一种体现驾驶意图的动力性和经济性综合最优换挡规律优化方法. 首先,根据需求转矩、发动机特性曲线、动力电池荷电状态(SOC)确定不同工作模式之间的切换逻辑,并针对不同模式制定转矩分配策略;其次,采用模糊推理方法建立驾驶意图量化模型,以根据驾驶操作及车辆状态计算驾驶员的动力性和经济性期望值;然后,以不同驾驶意图对应的性能期望值作为动力性和经济性分目标函数的权值,采用线性加权法构造综合评价函数,分别对不同驾驶意图下的换挡规律进行优化;最后,使用MATLAB/Simulink软件搭建仿真模型,分别取SOC初始值为0.5和0.9,使用最佳动力性、最佳经济性和个性化最优换挡规律在世界轻型汽车测试循环工况下进行仿真. 结果表明:2种SOC初始条件下,个性化最优换挡规律在能体现驾驶意图的同时,其等效油耗比最佳动力性换挡规律明显降低,SOC初始值为0.5时,降幅为10.1%,SOC初始值为0.9时,降幅为11.8%;其等效油耗比最佳经济性换挡规律有所增加,SOC初始值为0.5时,增幅为5.3%,SOC初始值为0.9时,增幅为1.7%.

三轴车中、后桥液压互联悬架的减振特性
索雪峰, 刘湘, 杜腾, 焦生杰, 王刚锋
2026, 61(1): 234-242. doi: 10.3969/j.issn.0258-2724.20240031
摘要:

三轴矿用自卸车中、后桥为主要承重桥,其输出特性影响车辆的行驶稳定性. 为解决矿用自卸车的承载问题和提高车辆的行驶稳定性,提出一种液压互联悬架;采用阻抗传递矩阵法推导悬架的压力-流量关系式,得到1/2车辆机械-液压耦合方程;通过求解系统状态矩阵实现对车身-车轮运动模态的完全解耦,并开展路面障碍试验对悬架的工作特性进行研究. 分析结果表明:所提悬架系统能够降低车身垂跳运动的固有频率,增大阻尼比,使车身垂跳振动快速衰减,且改善了中、后轮的动载荷分配情况;当车辆以15 km/h速度驶越120 mm高的三角形障碍物时,其2个油气缸产生的最大压差达1.15 MPa,峰值响应出现在0.3 s内,有效实现负载均匀;2个油气缸位移量近似相等而方向互逆,很好地起到位移补偿作用,有助于维持行驶过程中的车身姿态.

考虑车端接触与车钩失稳的高速列车三维碰撞动力学模型
丁浩谞, 郭力荣, 李宗治, 朱涛, 王彬霖, 杨冰, 肖守讷
2026, 61(1): 243-252. doi: 10.3969/j.issn.0258-2724.20240084
摘要:

为有效表征高速列车碰撞过程中车端接触与车钩失稳力学响应,建立一种适用于薄壁结构纵向冲击的接触力计算方法,该方法考虑车辆错位对接触力及接触力矩的影响,构建针对不同制式钩缓装置在压溃行程结束后的载荷特征表征方法;基于上述2种方法形成一种考虑车端接触与车钩失稳的列车三维碰撞动力学模型;对比2种工况下动力学模型与有限元模型的计算结果. 研究结果表明:所提车端接触力计算方法能较好反映不同薄壁结构在不同冲击速度下的接触力响应,与有限元结果最大相对误差为9.83%;钩缓装置载荷特征表征方法能有效区分不同制式车钩压溃后的载荷特性;所构建的列车三维碰撞动力学模型在车辆速度响应、碰撞界面力响应、车体垂向响应等关键指标上,与有限元计算结果吻合良好.

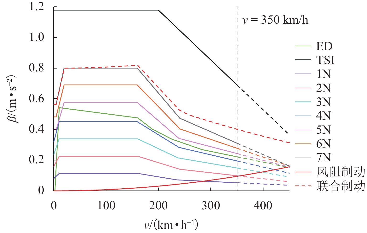
风阻制动装置纵向布局密度对高速列车制动效果的影响
谢红太, 王红
2026, 61(1): 253-264. doi: 10.3969/j.issn.0258-2724.20240219
摘要:

为进一步探究风阻制动装置在速度400 km/h及更高速列车上的协同布局,明确适配现阶段我国标准动车组风阻制动系统的整体制动收益和制动效率,以CR400AF平台动车组车体外形和基础制动系统配置为参考,装配不同数量的“蝶形”风阻制动装置;仿真计算不同工况下装配风阻制动装置高速列车的气动特性,提出适用于风阻制动问题的直接积分法解算方法;将列车在某一初速度工况下单纯依靠风阻制动装置进行制动停车,与列车惰行至停车的制动效果作对比分析;建立列车制动运行方程,采用分段累计法计算风阻制动配合常用制动与紧急制动的制动距离和制动时间. 研究结果表明:风阻制动装置的安装对于提高列车整体气动阻力有明显的制动收益,布置密度越大,前后排风阻制动板间气动干涉效应越显著;采用联合风阻制动的复合制动方式可有效弥补高速阶段黏着制动力的不足,同时,可解决风阻制动低速阶段制动力收益低的问题;联合制动距离与速度平方成正比,制动时间与速度一次方成正比,联合风阻制动可将350 km/h的初速度紧急制动距离缩减至5500 m以内.

平衡个人和社会利益的区域高速公路多层网络路径诱导模型
王璞, 廖雨笛, 李胜楠, 柯日宏, 王天浩
2026, 61(1): 265-274. doi: 10.3969/j.issn.0258-2724.20240003
摘要:

为增强路径诱导策略的针对性,提升路径诱导策略的效率和可实施性,提出一种基于区域高速公路多层网络和道路车源信息的路径诱导模型. 首先,基于复杂网络理论构建区域高速公路多层交通网络,通过识别高速公路网络中的拥堵路段并定位车源,对车源进行聚类以进一步确定发布路径诱导信息的位置;然后,运用社会公益系数控制出行成本函数,建立参数可变的路径诱导模型,以平衡个人和社会利益;最后,构建一个路径诱导信息发布框架,研究实施路径诱导方案时使用诱导路径的出行者占比对系统的影响. 研究结果表明:所提模型针对少部分出行者进行路径诱导,其平均出行时间仅增加2.1 min,而所有出行者的平均出行时间下降9.1 min;生成的路径诱导方案对出行者的不利影响较小,能够在考虑个人公平性的基础上有效减少系统总出行时间,为缓解高速公路交通拥堵提供更高效可行的方案.

政府奖惩机制下的中欧班列协同发展模型
李成兵, 宋雅文, 王佳琳, 安旭鹏
2026, 61(1): 275-286. doi: 10.3969/j.issn.0258-2724.20240010
摘要:

为减少中欧班列运营商竞相低价揽货、抢夺货源现象的发生,基于地方政府对中欧班列运营商和中欧班列供货商的补贴,并结合中欧班列运营过程中实际情况,构建政府奖惩机制下的“政府-运营商-供货商”非对称性三方演化博弈模型;在此基础上,通过数值仿真分析政府补贴、惩罚等主要因素对系统演化稳定策略的影响,并据此为中欧班列协同发展提供理论参考. 研究结果表明:政府增大惩罚力度将有效推动运营商和供货商的协同发展;根据运营商和供货商的不同策略实行差额补贴,不同补贴力度之间的差值越大越有益于协同;合理设置政府提供给运营商的单位集装箱最大补贴额,并视情况逐渐减小额度直至补贴完全退出,是促进协同的有效途径;政府的额外社会效益是决定政府策略选择的正向影响因素.

粤港澳大湾区复合灾害系统脆弱性评估
王伟, 宋月, 黄莉, 徐凤凰, 石雨欣
2026, 61(1): 287-298. doi: 10.3969/j.issn.0258-2724.20240208
摘要:

自然灾害之间相互作用形成复杂灾害链,致使复合灾害引发的损失更为严重. 为量化复合链生灾害风险并评估区域面对复杂灾害链的脆弱性,有效推进灾害风险防范工作,考虑灾害链的触发和叠加(折减)效应,从承灾体暴露度、孕灾环境敏感性和适应性3个维度,构建复合灾害系统脆弱性评估指标体系,进而建立串联式复合灾害承灾体暴露度、孕灾环境敏感性和适应性评估模型,并加权得到串联式复合灾害系统脆弱性评估模型. 以粤港澳大湾区暴雨-滑坡灾害链为例,结合卷积神经网络(CNN)、参数最优地理探测器-层次分析法耦合模型(OPGD-AHP) 、序关系法-TOPSIS (G1-TOPSIS)、熵权-TOPSIS等方法,计算得出粤港澳大湾区暴雨、滑坡,以及暴雨-滑坡灾害链的脆弱性指数,采用ArcGIS工具进一步绘制了对应的脆弱性等级统计图. 研究结果表明:粤港澳大湾区暴雨-滑坡灾害链脆弱性呈现出西部地区多高和较高脆弱区,中西部、西南部和东北部多中脆弱区,中部、中南部和东部多低和较低脆弱区的分布特征;同一区域面对不同单灾种的脆弱性之间,除了叠加关系,还存在一定的触发和协同效应,尤其是在高脆弱区与高脆弱区之间,以及低脆弱区与低脆弱区之间. 成果可在复合灾害系统脆弱性评估工作中推广应用,为我国复合灾害系统风险评估与减灾防灾提供技术支撑.