• ISSN 0258-2724
  • CN 51-1277/U
  • EI Compendex
  • Scopus
  • Indexed by Core Journals of China, Chinese S&T Journal Citation Reports
  • Chinese S&T Journal Citation Reports
  • Chinese Science Citation Database

2025 Vol. 60, No. 4

Display Method:
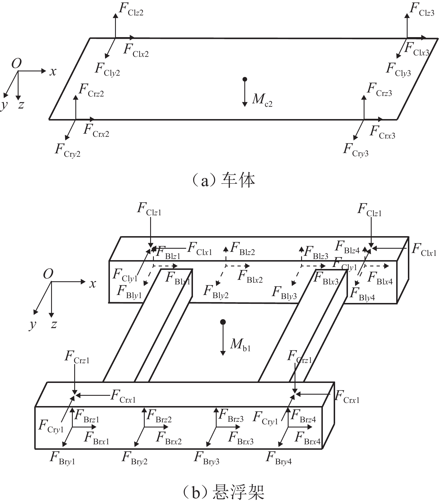
Aerodynamic Characteristics of Open Wire of Superconducting Maglev Train and Its Influence on Levitation State
ZHAO Chunfa, LI Yuhan, PENG Yeye, YANG Jing, NING Xiaofang, FENG Yang
2025, 60(4): 793-802. doi: 10.3969/j.issn.0258-2724.20240470
Abstract:

The design speed of the superconducting maglev train reaches 600 km/h, causing intensified flow around the vehicle body and a sharp rise in aerodynamic loads. To study the train’s levitation state under aerodynamic loads, the finite element method was used, and the SST k-ω turbulence model was adopted to calculate the aerodynamic characteristics of a certain type of maglev train under open wire conditions. Additionally, based on these aerodynamic characteristics, a method for extracting aerodynamic loads and loading them in parts was proposed, which could more accurately reflect the dynamic responses under aerodynamic loads. The aerodynamic characteristics of the maglev train indicate that the U-shaped track significantly restricts flow near the vehicle body, making the tail vortex dissipate over a considerable distance within the U-shaped rail. Variations in transverse clearance between the maglev suspension frames and the track lead to the formation of negative pressure beneath the suspension frames. By taking a speed of 600 km/h as an example, the overall extraction of the head train and the middle train generates lift force, while the tail train experiences downforce. Additionally, the lift force is extracted from the individual components of all three vehicle bodies, and the vehicle bodies with lift force values in descending order are as follows: head train, tail train, and middle train. The suspension frames experience downforce, with the pressure amplitude of the first and fourth suspension frames being greater than that of the second and third suspension frames. Although the aerodynamic load force remains consistent across the two extraction methods, the aerodynamic lift amplitude of the vehicle body extracted through partial components is approximately five times greater than that of the whole extraction method. The results of vehicle dynamics under aerodynamic load reveal that the impact of aerodynamic load on suspension frame displacement is minimal, with the maximum height variation being less than 7 mm and showing little difference between the various loading methods. The primary distinction between the two loading modes in terms of dynamics is observed in the variation of the air spring force, where the maximum air spring force in the partial component loading mode is 2.86 times greater than that in the whole loading mode.

Fuzzy Compensation-Based Non-Singular Terminal Sliding Mode Control of Maglev Vehicle Levitation System
SUN Yougang, ZHANG Dandan, JI Wen, XU Junqi
2025, 60(4): 803-811. doi: 10.3969/j.issn.0258-2724.20240499
Abstract:

To improve the degradation of high-precision dynamic levitation performance in electromagnetic suspension (EMS) maglev trains caused by time-varying system parameters, crosswind aerodynamic lift, and passenger load variations during actual operation, an adaptive fuzzy non-singular terminal sliding mode control (FNTSC) method was proposed. Firstly, a dynamics model of a single electromagnet levitation system considering system uncertainty and external disturbance was established. Secondly, a fuzzy logic system was employed to achieve online approximation and dynamic compensation for the unknown nonlinear function in the levitation system. Then, to address the singularity issue and chattering phenomenon inherent in conventional sliding mode control (SMC), a non-singular terminal sliding mode controller was designed, and the finite-time convergence of the tracking error was proved based on the Lyapunov stability theory without any linearization. Finally, the PID, SMC, and fuzzy PID control methods were simulated and compared with the FNTSC method, and further experimental comparisons of the PID and FNTSC methods were carried out to verify their effectiveness and robustness. The experimental results show that the FNTSC exhibits smaller steady-state errors and superior tracking performance under random external disturbances and irregular trajectories. Compared with the PID control method, the FNTSC reduces the root-mean-square (RMS) error of static levitation by 15.7% and constrains the tracking error for a sinusoidal irregular trajectory with a 2 mm amplitude within 0.05 mm.

Global Sensitivity Analysis of Single-Point Levitation System for High-Speed Maglev Train Based on Sobol’ Method
NI Fei, FAN Lin, XU Junqi, LIN Guobin, JIA Wantao
2025, 60(4): 812-822. doi: 10.3969/j.issn.0258-2724.20240545
Abstract:

The impact of uncertain parameters on the dynamic response of the high-speed maglev train levitation system was investigated, aiming to provide a theoretical foundation for the optimal design of maglev trains. Firstly, the high-speed maglev train levitation system was simplified to a single-point levitation system incorporating secondary suspension, and a corresponding polynomial chaos expansion (PCE) model was established. On this basis, the Sobol’ method was employed for global sensitivity analysis. Compared to the method of solving Sobol’ sensitivity through Monte Carlo simulation on the original model, the PCE-based approach enhances computational efficiency by 73 times while maintaining the calculation error within 0.004. Furthermore, the influence patterns of vehicle structural parameters, track irregularity parameters, and levitation control parameters on the levitation gap response and the vertical acceleration of the train body were analyzed, identifying key influencing parameters and their interaction effects. The results indicate that the coil turns of the electromagnet and the effective area of the electromagnet core significantly affect the vertical acceleration of the train body and the levitation gap response, with total sensitivity indexes exceeding 0.20, whereas the electromagnet mass and the secondary suspension parameters have a relatively minor impact, with total sensitivity indexes less than 0.10. The train operating speed and track irregularity wavelength significantly influence the levitation gap and the vertical acceleration of the train body, with total sensitivity indexes exceeding 0.80 and a notable interaction effect between the two. Among the levitation control parameters, the gap response is most sensitive to changes in the proportional coefficient, with the total sensitivity index approaching 1.00.

Influence of Bridge Parameters on Vehicle-Bridge Coupling Stability of Maglev System
ZHOU Danfeng, ZHU Pengxiang, QU Minghe, WANG Lianchun, LI Jie
2025, 60(4): 823-832. doi: 10.3969/j.issn.0258-2724.20240381
Abstract:

To solve the self-excited vibration problem during vehicle-bridge coupling in the maglev transportation and guide maglev bridge design, a mathematical model of the bridge was established based on the modal analysis method, so as to study the influence of the bridge parameters on the stability of the vehicle-bridge coupling in the maglev system. Firstly, by taking a stretched overpass in a maglev project as an example, the mathematical model of the overpass with elastic support structures was established using the modal analysis method, and the influence of the pier position on the modal frequencies of the overpass was studied. Secondly, according to the levitation control system model of the maglev train, the vehicle-bridge coupling system model was established. Then, the causes of self-excited vibration were studied by analyzing its open-loop frequency characteristics. Finally, the effects of parameters, including the first-order modal frequency of the overpass, the span, the damping ratio, and the line density on the stability of vehicle-bridge coupling were discussed. The results show that when the first-order modal frequency of the overpass is close to or higher than the critical levitation frequency, the closed loop may be unstable. Therefore, a light bridge with the first-order modal frequency of above 10 Hz is more likely to induce self-excited vibration during vehicle-bridge coupling; long-span bridges have lower modal frequencies and gains and are more stable than short-span bridges; a smaller damping ratio and line density of the overpass mean wider unstable frequency range; compared to girders with supports at both ends, under the fixed bridge length and cross-section, the first-order modal frequency of the stretched bridge shows a trend of first increasing and then decreasing as the span decreases, with the maximum frequency exceeding 53.9%, which makes it more likely to fall into the unstable frequency range. Therefore, the short-span stretched bridges should be excluded from maglev projects as much as possible.

Optimized Control Method for Guidance System of High-Speed Maglev Train
WANG Zhiqiang, GUO Weipeng, SANG Ziliang, LI Bowen, LONG Zhiqiang, LI Xiaolong
2025, 60(4): 833-841, 864. doi: 10.3969/j.issn.0258-2724.20230516
Abstract:

To further enhance the control performance of the guidance system for high-speed maglev trains, the guidance system was taken as the research subject, and the design and simulation of a guidance controller were carried out based on the mathematical model of a jointed guidance system. The behavior of the maglev train navigating through curves was analyzed under two operating conditions: different velocities while navigating curves and varying magnitudes of lateral disturbance forces. A mathematical model incorporating these disturbances was developed, and a nominal guidance controller was designed using the linear quadratic regulator (LQR) method. The controller parameters were then optimized using a particle swarm optimization (PSO) algorithm. A simulation model of the guidance system was established, and the system’s responses under the two specific operating conditions were analyzed using a simulation platform. A comparison between the algorithms before and after optimization was conducted. The results indicate that, under simulated disturbance forces of 1 kN, 2 kN, and 3 kN, the fluctuation amplitudes of the guidance gap are reduced by 9.46%, 9.70%, and 11.82%, respectively. Furthermore, the recovery velocity of the guidance gap is improved with the optimized algorithm compared to the pre-optimization version. The optimized algorithm also improves the train’s performance when navigating curves and when subjected to crosswind disturbances.

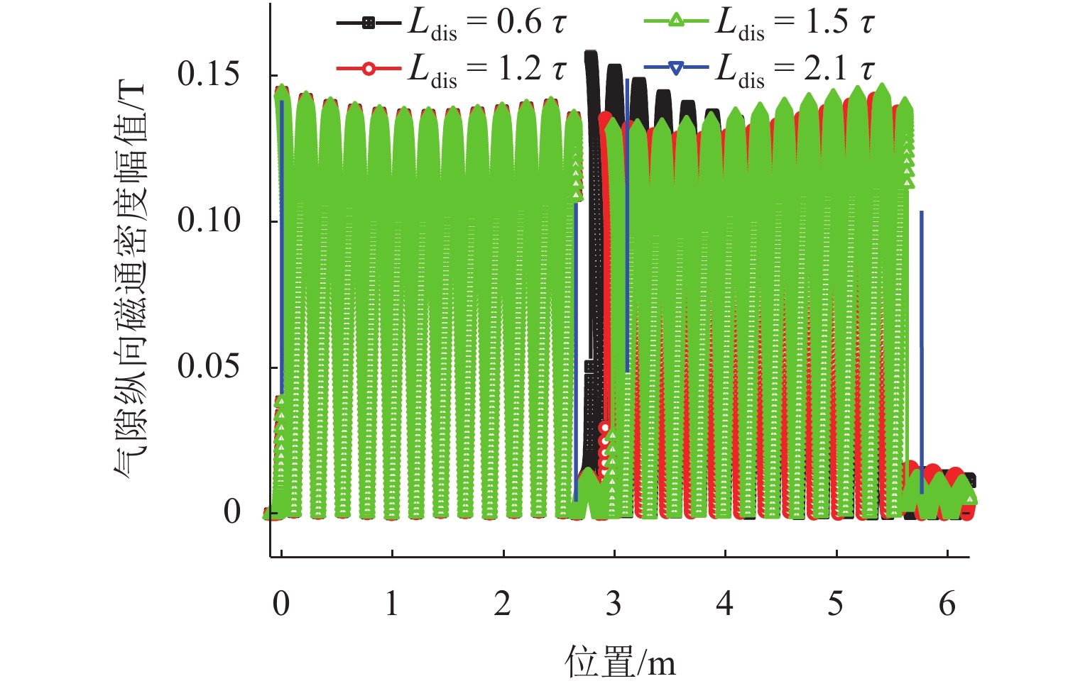
End Effect and Electromagnetic Force Characteristics of Two Adjacent Linear Induction Motors
ZHANG Min, LUO Shujuan, CAO Yi, LUO Shihui
2025, 60(4): 842-850. doi: 10.3969/j.issn.0258-2724.20240250
Abstract:
Objective

The medium and low speed maglev is driven by linear induction motors (LIMs), which are composed of finite-length primary winding and infinite-length secondary induction rail. This configuration offers several advantages, including structural simplicity, low construction costs, and ease of maintenance. However, the structural characteristics of a discontinuous primary and a continuous secondary plate result in mutual interference of secondary eddy currents at adjacent positions. This interference alters the air-gap magnetic field of the motor, which directly impacts both the traction force and the normal force of the motor. To elucidate the influence characteristics and underlying mechanisms of adjacent motor configurations on electromagnetic forces, enhance motor traction performance, and address issues related to the normal force, this study focused on two adjacent and series-connected LIMs. Theoretical and simulation models were developed to investigate the effects of two key factors, including the motor spacing and slip frequency, on the traction and normal forces of the two motors.

Methods

To investigate the influence of adjacent LIM arrangements on electromagnetic forces in medium and low speed maglev and gain a deeper understanding of the magnetic field interference between two LIMs, as well as its intrinsic effects on electromagnetic forces, firstly, vector magnetic potential equations were established for each region of the adjacent motors based on Maxwell’s equations, and the two-dimensional vector magnetic potential for each region was solved by using boundary conditions. Secondly, the expressions for the air-gap magnetic field, traction force, and normal force of the two LIMs were derived based on the air-gap vector magnetic potential and the distribution of primary currents. These expressions were used to analyze the characteristics and underlying mechanisms of how magnetic field interference between adjacent motors affects electromagnetic forces. Thirdly, a finite element analysis (FEA) model of two adjacent motors was developed by using Maxwell software to calculate the electromagnetic forces under different motor spacings. The simulation results were compared with theoretical predictions to validate the accuracy of the theoretical calculation method. Finally, the established theoretical model was utilized to explore the effects of two critical factors, including motor spacing and slip frequency, on the electromagnetic forces of the adjacent motors. By analyzing the air-gap magnetic field under various operating conditions, the study revealed the intrinsic mechanism by which the electromagnetic force of LIM2 was influenced by motor spacing.

Results

The variation trends of the traction force between the two motors, as calculated through both theoretical and finite element simulation methods, exhibit a high degree of consistency, thereby validating the accuracy of the theoretical model. In the boundary conditions of the theoretical model, the magnetic permeability of the iron core and back iron is assumed to be infinite, and the primary current is approximated as a thin layer. Consequently, the theoretical calculations yield slightly larger fluctuations in the traction force of LIM2 with respect to motor spacing compared to the simulation results. From the expression of the air-gap magnetic field of the motor, the backward traveling wave caused by the end effect at the exit of LIM1 is influenced by factors such as the primary current, slip frequency, and motor spacing of LIM2. Similarly, the forward traveling wave caused by the end effect at the entry of LIM2 is affected by the parameters of LIM1 and the spacing between the two motors. Consequently, the air-gap magnetic field of the linear motor is altered due to the influence of the adjacent motor. The impact of adjacent motor arrangements on the longitudinal air-gap magnetic field is relatively minor, whereas the effect on the vertical air-gap magnetic field is more pronounced. This influence leads to corresponding variations in the motor’s traction force and normal force. As the motor is less affected by the backward traveling wave induced by the exit-end effect and more significantly affected by the forward traveling wave induced by the entry-end effect, LIM1 is less affected by LIM2, whereas LIM2 is more significantly influenced by LIM1. The computational results indicate that the traction force of LIM1 is nearly unaffected by motor spacing and exhibits minimal variation under different slip frequencies. For various slip frequencies, the operating speed and input current of LIM1 remain consistent, resulting in negligible differences. In contrast, for LIM2, as the slip frequency is smaller, its traction force is more significantly influenced by motor spacing. As the spacing increases, the amplitude of traction force fluctuations for LIM2 decreases across all slip frequencies. When the slip frequency is 8 Hz, and the spacing is 1.5 times the pole pitch, the traction force of LIM2 reaches 8.4 kN, which is 1.83 times that of LIM1 (4.6 kN), representing an 83% increase. Conversely, when the spacing is reduced to 0.6 times the pole pitch, the traction force of LIM2 drops to 0.6 kN, which is merely 13% of LIM1’s traction force, signifying an 87% reduction. These results underscore the importance of spacing design in optimizing the traction performance of LIM2. Furthermore, as the slip frequency decreases, the normal force of LIM1 increases. However, the normal force of LIM1 is almost unaffected by the motor spacing at different slip frequencies. In contrast, the normal force of LIM2 exhibits fluctuations with varying spacing under different slip frequencies. Smaller spacing and slip frequencies lead to a greater impact on the normal force of LIM2. A well-designed motor spacing can effectively reduce the normal force of LIM2, thereby enhancing the stability of maglev vehicles. When the slip frequency is 8 Hz, and the motor spacing is 2.1 times the pole pitch, the normal force of LIM2 is 1 kN, which is 6.6 kN lower than that of LIM1 measured at 7.6 kN. This reduction translates to a weight decrease of 660 kg per motor for the levitation system. However, when the motor spacing is reduced to 1.2 times the pole pitch, the normal force of LIM2 rises dramatically to 28.2 kN, which is 3.7 times greater than that of LIM1, representing a 270% increase. This additional force imposes approximately two tons of extra load on the levitation system per motor.

Conclusion

The electromagnetic force of a rear-positioned LIM is significantly influenced by the presence of a front-positioned LIM, as well as the spacing between the motors. However, the optimal spacing for achieving the desired traction force and normal force varies under different operating conditions and system requirements. Therefore, in practical engineering applications, both the traction demands and levitation capabilities of the vehicle should be considered for the design of the motor spacing. The findings can provide theoretical guidance and technical support for the application of LIMs in medium and low speed maglev trains. However, due to the complexity of LIM theoretical derivations and the numerous parameters involved, certain idealized assumptions and simplifications are necessary during the mathematical analysis. The quantitative results presented should be interpreted as reference values, and the results of the study are based on two-dimensional electromagnetic field theory. Future research may explore the electromagnetic interaction between adjacent motors by using three-dimensional field models to achieve more precise findings.

Lateral Control of Permanent Magnet Electrodynamic Suspension Vehicle Based on Improved Nonlinear Model Predictive Controller
BI Jingguo, KE Zhihao, YANG Yiying, LI Zhengyan, DENG Zigang
2025, 60(4): 851-864. doi: 10.3969/j.issn.0258-2724.20240494
Abstract:
Objective

The permanent magnet electrodynamic suspension (PMEDS) vehicle, with its integrated levitation and propulsion system, shows significant potential for applications in areas such as ultra-high-speed and heavy-load highways, as well as mountainous road transportation. However, the PMEDS vehicle is a lateral underdamped system, and its lateral open-loop system is extremely unstable. It is prone to instability when exposed to disturbances, such as lateral gusts, which seriously affect driving safety. Therefore, it is crucial to study lateral motion control under the conditions of insufficient lateral force, model uncertainty, and time-varying disturbances.

Methods

In order to achieve precise control of the lateral motion and enhance the lateral anti-disturbance ability of the PMEDS vehicle, a lateral operation mode was proposed, and a lateral nonlinear dynamic model was derived. Moreover, an improved nonlinear model predictive lateral tracking controller (NMPC-ESO-EKF) with constraints was established, and its effectiveness was verified by simulation and experiment. Firstly, the working principle of the radial annular Halbach permanent magnet wheel was introduced; the feasibility of compensating for the lateral force of the system by deflecting the magnetic wheels was analyzed, and the vehicle’s lateral operation mode via symmetrically deflecting the same-side magnetic wheels was proposed. Secondly, according to the principle of lateral operation, the lateral damping term was introduced to derive the lateral nonlinear dynamic model for the PMEDS vehicle. Then, based on the dynamic model, a nonlinear discrete state-space model was derived as the prediction model; a cost function and the amplitude constraint of the deflection angle were designed. According to the prediction model, cost function, and system constraints, the nonlinear model predictive controller (NMPC) was established; the control problem was transformed into a nonlinear programming problem in the finite time domain. Meanwhile, in order to improve the anti-disturbance ability of the NMPC, the extended state observer (ESO) was constructed to observe the internal and external disturbances of the system, compensating for the control input. In order to reduce the sensitivity of ESO to sensor measurement noise, an extended Kalman filter (EKF) was introduced to filter the raw signals. Moreover, the convergence of the overall control framework was demonstrated. Finally, the simulation and analysis of lateral constant trajectory tracking and lateral anti-disturbance under internal and external disturbances conditions were conducted using the MATLAB/Simulink-Simscape joint simulation platform. Additionally, experiments were performed by using the lateral running experimental device and the principle prototype, covering short-distance constant trajectory tracking, square wave signal trajectory tracking, and the analysis of anti-disturbance ability under long-distance constant trajectory tracking.

Results

The simulation results show that under the disturbance-free condition, the system can effectively realize the lateral trajectory tracking control function under PID, MPC, NMPC, and NMPC-ESO control strategies. The response speeds of the various controllers are relatively similar. The PID controller exhibits the largest overshoot, while MPC experiences some overshoot, though significantly smaller than that of PID. Both NMPC and NMPC-ESO have minimal overshoot, with their response curves closely resembling each other, indicating that ESO has no noticeable effect. Under external disturbance conditions, the addition of ESO significantly improves the anti-disturbance ability of NMPC. The lateral displacement fluctuations are minimal for NMPC-ESO, and the system recovery time is the shortest. When sensor measurement noise is introduced, the system can stably control within a range close to the target position under NMPC control, but there is still an error compared to the target position. Due to the excessive sensitivity of ESO to the noise, it overcompensates the deflection angle, leading to instability in the NMPC-ESO control after ESO’s application. To address this issue, an EKF is introduced to suppress the impact of internal noise on ESO’s disturbance estimation. Under both internal and external disturbance conditions, NMPC-ESO-EKF significantly improves the lateral trajectory tracking accuracy by 89.77% and greatly enhances the anti-disturbance ability, demonstrating the necessity of incorporating EKF. The experimental results indicate that the error between the values filtered by EKF and the true values is very small. PID-EKF exhibits significant overshoot and oscillation under various operating conditions, which poses safety concerns in practical engineering applications. Under short-distance constant reference signals, compared to PID-EKF control, NMPC-ESO-EKF reduces the overshoot by 98.90% to 2.12 mm, with the shortest system settling time of 4.7 s, which is reduced by 47.78%. Under square wave reference signals, the trajectory tracking curves of MPC-EKF, NMPC-EKF, and NMPC-ESO-EKF are all relatively stable, with NMPC-ESO-EKF showing the smallest average overshoot and tracking error, improving performance by 93.77% and 36.13%, respectively, compared to PID-EKF. Under long-distance constant reference signals, larger overshoots are observed across all controllers. After applying continuous disturbances, each controller can make the system return to the stable target value. After stabilization, the input deflection angle fluctuates around −10° to continuously resist external disturbance; the displacement fluctuation amplitude of MPC-EKF is the largest, with the longest recovery time; the anti-disturbance ability of NMPC-ESO-EKF is optimal, with the fluctuation amplitude reduced by 34.51% and the recovery time shortened by 42.08% compared to PID-EKF.

Conclusion

The PMEDS vehicle, under the improved nonlinear model predictive control method, has enhanced its lateral stability and possesses the basic functionality of flexible lateral movement. It is suitable for scenarios such as lateral anti-disturbance during normal driving, active lane change, lateral hill climbing, and parallel parking. Up to now, significant breakthroughs have been achieved in areas such as the optimization of electromagnetic forces of magnetic wheels, structural design of vehicles, and single-degree-of-freedom control research. However, it is still in the theoretical research stage. In order to realize engineering applications as soon as possible, future efforts will focus on intelligent system perception, path planning, and multi-degree-of-freedom coupling trajectory tracking control research.

Horizontal Curve Alignment and Parameters of Turnout for High-Speed Electromagnetic Suspension Maglev Transit
PENG Yeye, SONG Xinyue, ZHAO Chunfa, FENG Yang, LOU Huibin
2025, 60(4): 865-873. doi: 10.3969/j.issn.0258-2724.20240447
Abstract:

High-speed electromagnetic suspension (EMS) maglev turnouts are one of the weak links in maglev transit, and the study of their alignment parameters is essential for optimizing turnout design. To explore the impacts of the horizontal curve alignment and parameters on the turnout design, the geometric constraints of the vehicle-track system, the requirements for smooth and comfortable train operation, and the demands of turnout manufacturing and maintenance economy on turnout alignment were comprehensively analyzed. Subsequently, the combinations of turnout curve alignment and the principles for selecting key parameters of high-speed EMS maglev turnouts were explored. Finally, horizontal alignment schemes for turnouts under three passing conditions, low speed, moderate speed, and high speed, were proposed. The results show that the horizontal curve radius of turnouts, constrained by the geometric constraints of the vehicle-track system, should not be less than 350.00 m. Single circular curve turnouts exhibit abrupt lateral acceleration changes and are only suitable for low-speed passing. Clothoid-to-circular curve turnouts require large land occupations and are not recommended. Clothoid-circular-clothoid curve turnouts allow parameter adjustments according to operational requirements and are applicable to diverse scenarios. In clothoid-circular-clothoid curve turnout designs, the turnout zone length, lateral displacement at the ends, and switching angle decrease as the circular curve radius increases. The circular curve radius is subject to an upper limit to satisfy lateral displacement after the turnouts. Both the switching angle and lateral displacement at the ends increase with the increase in the clothoid-to-circular ratio, which is recommended to be selected between 2 and 4.

Fuzzy Comprehensive Evaluation and Improved Design of Levitation System for Medium and Low Speed Maglev Trains
CAO Yi, ZHANG Min, LIU Jing, LIU Qinghui, MA Weihua, SHAN Lei, LI Tie
2025, 60(4): 874-883. doi: 10.3969/j.issn.0258-2724.20240190
Abstract:

To enhance the fault tolerance capability of the levitation system of a medium and low speed maglev train, a reliability analysis was conducted using Failure Mode, Effects, and Criticality Analysis (FMECA), identifying typical failure modes. A fuzzy comprehensive evaluation based on expert judgment was employed to quantify the indicators, reducing subjective bias, and avoiding duplication of hazard values. The analytic hierarchy process (AHP) was used to assign weights to different influencing factors, ensuring that the calculated comprehensive hazard levels of failure modes better reflect practical engineering needs. Furthermore, based on Markov theory, improvement measures were proposed for failure modes with high comprehensive hazard levels. A prototype was developed, and levitation and fault simulation tests were conducted on a single levitation test bench. The results indicate that the control board, interface board, and power module exhibit the highest comprehensive hazard levels, which are 6.314 7, 5.484 1, and 5.653 4, respectively. After a fault occurs, the master–slave switching time is less than 100 μs, with the levitation gap root-mean-square error remaining below 0.1 mm and acceleration fluctuations within 0.6 m/s2.

Multi-objective Asymmetric Design for Optimizing Superconducting Electrodynamic Suspension System
WANG Jin, GE Qiongxuan, ZHAO Lu
2025, 60(4): 884-892. doi: 10.3969/j.issn.0258-2724.20240477
Abstract:

In order to improve the performance of superconducting electrodynamic suspension systems, an optimal design method for asymmetric levitation coils was proposed based on global sensitivity analysis and a multi-objective optimization algorithm. First, a mathematical model of the superconducting electrodynamic suspension system was established using the space harmonic method. The magnetic flux intensity of the superconducting magnets and the electromagnetic forces of the levitation coils were then calculated. Next, the model underwent asymmetric optimization. The Sobol’ method was used to calculate the sensitivity of each design parameter, with the levitation force and the mass of the levitation coils per kilometer as the objectives. Based on the sensitivity analysis results, the non-dominated sorting genetic algorithm Ⅱ (NSGA-Ⅱ) was used for optimization. Finally, finite element simulation was carried out to validate the analytical model based on the space harmonic method. The models before and after optimization were compared. The results indicate that the suspension system model established via the space harmonic method was consistent with the finite element model. Compared with the initial system, the optimized asymmetric suspension system shows an 8.3% improvement in levitation force and a 12.9% reduction in the mass of levitation coils per kilometer. When the vertical displacement is 0.02–0.04 m, the levitation force increases from 262.2 kN to 270.2 kN, and the drag force increases from 4.5 kN to 5.4 kN. When the horizontal displacement is 0.17–0.20 m, the levitation force decreases from 306.5 kN to 228.8 kN, and the drag force decreases from 6.2 kN to 4.6 kN. The fluctuations in levitation force and drag force are approximately 6% and 65%, respectively. The variation patterns of levitation and drag forces with respect to displacement directions were revealed, demonstrating the advantages of asymmetric design in enhancing levitation force and achieving lightweight performance. This provides a theoretical reference for the optimal design of superconducting electrodynamic suspension systems.

Alignment Design of Superconducting Electrodynamic Suspension Turnouts and Optimization of Lateral Crossing Speed
ZHANG Rongxin, CAI Xiaopei, TANG Xueyang, WANG Yi
2025, 60(4): 893-903. doi: 10.3969/j.issn.0258-2724.20240421
Abstract:

To improve the speed of superconducting electrodynamic suspension (EDS) trains when passing through the turnout sideways, a coupled dynamics model for the superconducting EDS train-turnout was established based on multi-body dynamics theory and differential equations of motion. By analyzing the effects of the length of different turnout beams on the vehicle dynamic response, the optimal length of turnout beams was determined, and the corresponding alignment for maglev single-open turnout was designed. The dynamics response characteristics under different lateral crossing speeds were further investigated, and the critical values of lateral crossing speeds satisfying passenger comfort and travelling safety were clarified. The results show that a shorter turnout beam and lower passing speed can expand the stabilized region of the system, reduce the fluctuation of levitation and guide gap, and improve the comfort of passengers and the smoothness of train operation. When the train passes through the turnout line with a turnout beam length of 8 m at a speed of 100 km/h, the dynamic response is optimal, satisfying the comfort of passengers. The lateral crossing speed of the turnout can be up to 130 km/h, which is 85% higher than that of the existing maximum speed of maglev trains. With the increase of the lateral crossing speed, the effect of the turnout line on the safety of maglev train operation and the comfort of passengers becomes more significant, and the vehicle dynamic response is more obvious. The critical value of the lateral safe crossing speed is 150 km/h.

Measurement Method for Permanent Magnet Guideway Irregularity Based on Self-Adaptive Noise Cancellation
LUO Yi, YUAN Yuhang, DENG Bin, DENG Zigang
2025, 60(4): 904-911. doi: 10.3969/j.issn.0258-2724.20240563
Abstract:

When the dynamic detection of permanent magnet guideway (PMG) irregularity is conduced, eliminating the vibration components generated by the vibration of the measured carrier in the measured signal is conducive to grasping a more accurate real-time state of the guideway. The self-adaptive noise cancellation (SANC) method was applied to the detection of PMG irregularities, effectively separating the periodic and non-periodic components of a single signal and reducing the interference of vibration components with periodic characteristics when conducting irregularity measurement. Experimental research was carried out on the high-temperature superconducting high-speed maglev engineering prototype and test line. A single Dewar was used as the measurement carrier, and the Hall sensor was employed to measure the magnetic induction intensity on the PMG surface. The SANC method was adopted to separate the measured signal. The periodic components obtained after separation could be defined as vibration components, while the random components represented the actual PMG irregularity. The comparative analysis and research on the signals before and after separation in the time domain and frequency domain show that the random components in the time-domain signal fluctuate less after separation, and the vibration components corresponding to the measurement carrier in the frequency-domain signal have been separated into the periodic components, which proves the effectiveness of the method proposed in this paper.

Active Disturbance Rejection Speed Control for Maglev Trains Based on Multiple Population Genetic Algorithm
LI Zikang, DAI Chunhui, HUANG Cuicui, LONG Zhiqiang
2025, 60(4): 912-920. doi: 10.3969/j.issn.0258-2724.20240113
Abstract:

To realize precise speed control of maglev trains in complex disturbance environments, an active disturbance rejection control (ADRC) method with self-tuning parameters was proposed. Firstly, the longitudinal dynamic model of maglev trains was established by force analysis to describe the nonlinear hysteresis characteristics of maglev trains during operation. Secondly, the unknown parameters of the model and external disturbances were regarded as the extended state, and a third-order extended state observer was designed to observe the extended state in real time. In addition, the convergence condition of the observer was analyzed based on the Lyapunov stability theorem. Then, to solve the problem of many control parameters and difficult parameter adjustment in traditional ADRC, the multiple population genetic algorithm (MPGA) was introduced to realize adaptive optimization and adjustment of parameters. Finally, the simulation experiment was carried out based on the data collected from the real operation environment of maglev trains, and the simulation results show that compared with traditional ADRC, the speed control accuracy is increased by 22.7% and the tracking stability is improved by 25.6% by means of MPGA-ADRC method, which indicates that the proposed method can effectively improve the stability and ride comfort of maglev trains.

Re-adhesion Performance of High-Power Permanent-Magnet Direct-Drive Bogie-Suspended Locomotives
MA Qun, YI Xingli, YAO Yuan, QIAO Jinchuang, ZHONG Wensheng
2025, 60(4): 921-929. doi: 10.3969/j.issn.0258-2724.20240652
Abstract:

To address the high-power permanent-magnet direct-drive bogie-suspended traction systems, the impact of suspension parameters of the wheelset drive system on the re-adhesion performance of locomotives was investigated. Based on the average slip rate and dynamic slip rate, the mechanism of locomotive stick-slip vibration was analyzed, and a simplified torsional vibration model of the wheelset drive system was established to clarify the suspension parameter matching principles. A multi-body dynamics simulation model of a specific locomotive was constructed, and the starting condition was taken as an example to explore the impact of suspension parameters of the wheelset drive system on the locomotive’s re-adhesion performance. Simulation results show that lower suspension stiffness of the wheelset drive system increases the risk of stick-slip vibration in the locomotive. Increasing the torsional stiffness of the diaphragm coupling and the primary longitudinal stiffness can effectively enhance the locomotive’s re-adhesion performance. When the torsional stiffness of the coupling was increased from 1 MN·m/rad to 5 MN·m/rad, the locomotive’s re-adhesion performance is improved by approximately 12%. However, improper matching of suspension parameters may lead to the longitudinal-rotational resonance of the wheelset, which not only exacerbates the vibration of the wheelset drive system but also significantly weakens the locomotive’s re-adhesion performance. Therefore, proper matching of the suspension parameters of the wheelset drive system is crucial for improving the locomotive’s re-adhesion performance.

Motion Decoupling and Dynamic Response of Permanent Magnet Maglev Bogie
LU Jing, MA Weihua, LI Miao, LUO Shihui, WANG Bo, XU Aokang
2025, 60(4): 930-943. doi: 10.3969/j.issn.0258-2724.20250162
Abstract:

To address levitation and guidance performance deficiencies in permanent magnet maglev “Red Rail” train bogies, an innovative bogie scheme was proposed, and dynamic analyses were performed. First, the finite element method was used to analyze the Halbach array’s magnetic field and force characteristics and clarify the influence of lateral offset of the permanent magnet on guidance performance and that of motion decoupling on stable levitation. Next, the innovative bogie’s structural design was detailed, and a vehicle system dynamics model was built to investigate the dynamic responses of key bogie components during straight-line operation and passing through a 50-m radius curve (R50). Finally, the impact of free gaps and stiffness of lateral wheels on bogie impact vibration was explored. The results show that when the free gap of lateral wheels is 0, and the stiffness is 6 × 106 N/m, bogie impact vibration is effectively suppressed. When the train passes through a curve, the bogie balances centrifugal force by keeping lateral wheels in close contact with the inner curve side under the lateral offset force of a permanent magnet, which is distinct from traditional rail vehicle dynamics. When the speed is no more than 60 km/h, the lateral and vertical ride quality indices of no-load (AW0) vehicles outperform those in overload (AW3), with both indices controlled below 2.5.

Modeling and Simulation of a Novel Heteropolar Radial Hybrid Magnetic Bearing
LIU Xin, YUAN Pengyu
2025, 60(4): 944-953. doi: 10.3969/j.issn.0258-2724.20230315
Abstract:

For environments with high space utilization rate requirements such as high-speed motors and flywheel energy storage systems, a novel heteropolar radial hybrid magnetic bearing (HRHMB) was proposed. Firstly, the equivalent magnetic circuit model of the new magnetic bearing was established, and the current stiffness, displacement stiffness, and electromagnetic force were obtained by analyzing the magnetic field. The effectiveness was verified by finite element simulation. Then, the stiffness characteristics and space utilization rate of the magnetic bearing were analyzed by comparison with the traditional biased magnetic bearing under the same constraint conditions. Finally, the electromagnetic force coupling between two degrees of freedom in the radial direction of the novel magnetic bearing was studied by finite element simulation and compared with the traditional magnetic bearing. The results show that the volume of the novel magnetic bearing is only 0.87 times that of traditional magnetic bearing under the same bearing capacity and other constraints. At the same time, under the influence of control current and rotor displacement, the relative error value of the electromagnetic force for the novel magnetic bearing is 6.5%, while that for the traditional magnetic bearing is 13.6%. The radial two-degree-of-freedom electromagnetic force coupling of the new magnetic bearing is smaller than that of the traditional magnetic bearing, and the decoupling effect is good.

Rotational Inertial Characteristics of Motorized Spindle Time-Varying Mass System for Magnetic Suspension Milling
KANG Huimin, XI Jiale, LIU Houcai, DUAN Lianghui
2025, 60(4): 954-964. doi: 10.3969/j.issn.0258-2724.20240295
Abstract:

As chips continuously enter and leave from the tool flute during the cutting process of the motorized spindle for magnetic suspension milling, the size and distribution of the system mass are constantly changing, leading to the nonlinear change of system dynamics characteristics. To address these issues, firstly, the mass of a single chip was calculated based on the principle of continuous metal cutting, and then combined with the theory of continuous beam vibration, the dynamics model of the “magnetic suspension bearing–motorized spindle–tool–chip” time-varying mass system was established by using the finite element method. Secondly, the Runge-Kutta method was used to solve the differential equation of motion of the system, and the influence of chip mass change on the natural frequency and mode shape of the system was analyzed during the entire process covering the chip’s entry into and leave from the tool flute. Then, the vibration response patterns of the system under the excitation of rotational inertial load, gyroscope torque, cutting force, and electromagnetic force of magnetic suspension bearings caused by time-varying chip mass were explored. Finally, the MATLAB software was used to simulate and solve the system. The results show that as the chip mass increases from 0 to 2.08 × 10−5 kg, the system’s first three critical speeds decrease by about 2.3, 0.7, and 0.3 r/min, respectively, indicating that the time-varying chip mass has a small effect on the system’s inherent characteristics. The rotational inertia load has a significant impact on the system’s dynamic response, especially at the cutting point, causing the radial vibration response and angular vibration response amplitudes at the cutting point to increase by 0–9.7 × 10−7 m and 0–2.5 × 10−5 rad, respectively, and it makes the radial vibration and angular vibration equilibrium positions at the cutting point to increase by about 5.1 × 10−7 m and 9.3 × 10−6 rad, respectively.

Optimized Design of High-Load Capacity Magnetic Bearings
JIANG Hao, SU Zhenzhong, JIANG Yapeng
2025, 60(4): 965-975, 985. doi: 10.3969/j.issn.0258-2724.20240553
Abstract:

High-speed and heavy-load applications are an important trend for magnetic bearings (MBs). To address issues such as low load capacity and disconnection between electromagnetic design and controller in traditional MBs, increasing the working magnetic flux density of the MBs to approach the material’s saturation region was proposed, which helps improve the load capacity. On this basis, an integrated structure-control design of high-load capacity MBs was carried out with the saturation and strong electromechanical coupling characteristics taken into consideration. Firstly, factors such as saturation and rotor eccentricity were considered to establish a nonlinear magnetic circuit model of the high-load capacity MBs. Then, based on the rotor dynamics model, the coupling relationship between the structural design and the control system was analyzed. Constraints such as load capacity, power amplifier voltage, and system stability of the MBs were considered, with optimization objectives set as minimizing the axial length and maximizing the rate of change of force. A multi-objective optimization model for high-load capacity MBs was established and solved using the NSGA-Ⅱ algorithm to obtain the design scheme. Finally, the proposed design scheme was validated through finite element analysis and experiments. The results show that compared to traditional MBs, high-load capacity MBs increase the load capacity by nearly 21%. The error between the measured support stiffness of the prototype and the calculated stiffness from the nonlinear magnetic circuit is within 4.6%, demonstrating stable operation at high rotational speed.

Non-Singular Fast Terminal Sliding Mode Rotor Position Control of Active Magnetic Bearings
GONG Lei, HE Pai, SHI Yong, ZHU Changsheng
2025, 60(4): 976-985. doi: 10.3969/j.issn.0258-2724.20240090
Abstract:

In order to solve problems of slow system response speed and poor anti-interference ability in the position control of the rotor of active magnetic bearings (AMB), a position control method combining the non-singular fast terminal sliding function with the improved super-twisting reaching law was proposed to obtain fast and accurate control effects of dynamic responses. In addition, due to internal and external interference in the system, constant switching gain was added to the sliding mode reaching law, so as to ensure the robustness of the system, but it could exacerbate the system chattering. Therefore, the interference was observed and compensated by a nonlinear extended state observer, which alleviated the contradiction between chattering and anti-interference. Then, the stability of the proposed method was proven Lyapunov stability theory, and the proposed control method was verified by simulation and experiment. The results show that compared with the traditional sliding mode controller, the designed controller has faster response speed and stronger chattering suppression ability, and the time for the rotor to reach the target position is shortened by 56.4%. The dynamic performance of the system is improved, and the average control current is reduced by 68.5%. The chattering suppression ability of the system is enhanced, indicating that the proposed algorithm has strong robustness.

Vibration and Stability Evaluation of Magnetically Suspended Fluid Machinery Based on API 617
ZHANG Yue, XU Yuanping, ZHOU Jin, ZHOU Yang
2025, 60(4): 986-992. doi: 10.3969/j.issn.0258-2724.20240340
Abstract:

To evaluate the design rationality and operation reliability of the magnetically suspended fluid machinery, the API 617 standard was applied to analyze its vibration and stability. Firstly, the relevant specifications and requirements for magnetically suspended fluid machinery in the API 617 standard were introduced. Then, a magnetically suspended blower was taken as the research object, and rotor dynamics analysis, closed-loop transfer function testing, vibration analysis, stability evaluation, and other work were carried out based on the API 617 standard. The results indicate that all indicators meet the API 617 standard requirements. The separation margins between the rotor operating speed and the rigid body critical speed and the first-order bending critical speed are 69.7% and 53.8%, respectively, and the design is reasonable. The modelling of the magnetically suspended rotor system is accurate and can be used to predict the dynamic behavior of the rotor; the peak sensitivity transfer function values of the radial active magnetic bearing (AMB) system are all in zone A, while those of the axial AMB are in zone B, meeting the requirements for long-term and stable operation. The rotor vibration within the operating speed range is less than 10 μm, far below the vibration limit requirement.

Response Analysis and Load Optimization of High Temperature Reactor-Pebblebed Modules Main Helium Blower Rotor System
TANG Xiaoxuan, DU Guowei, SUN Zhe, ZHAO Lei
2025, 60(4): 993-1002. doi: 10.3969/j.issn.0258-2724.20230503
Abstract:

In response to the parameter design and performance optimization of radial active magnetic bearings in the magnetic bearing rotor system of the high temperature reactor-pebblebed modules (HTR-PM) main helium blower, the system boundary conditions were sorted out by applying the expected characteristics to dynamic analysis. Meanwhile, the transient analysis method was used to simulate the influence of bearing control parameters on the system’s response and loads, and the ideal control parameter range that satisfied the design expectations for the rotor system was obtained. Subsequently, based on the dynamic response results of the rotor under different rotational speeds, equivalent unbalance, bearing stiffness, and bearing damping within the parameter range, the influence between the control parameters and rotor response was analyzed. According to the obtained patterns, the optimal control parameters for the magnetic bearing–rotor system at each frequency band within the operating frequency range were determined. Finally, the variation laws between the response displacement, bearing load, equivalent stiffness, and damping ratio of magnetic bearing–rotor system under different working conditions and performance requirements were summarized. A control scheme for selecting appropriate control parameters based on the real-time operating frequency of the rotor was designed and verified. The results show that when the control parameter selection meets the optimization conditions, this method is able to suppress the overall amplitude of the unbalanced response, eliminate the resonance peaks, and optimize the maximum load at the bearings while achieving the working requirements of the rotor system.

Super-Twisting Sliding Mode Control of Linear Magnetic Drive System Based on Fuzzy Variable Gain
SUN Feng, DAI Xuefei, ZHAO Chuan, WANG Xin, PEI Wenzhe, JIN Junjie, XU Fangchao, ZHOU Ran
2025, 60(4): 1003-1012. doi: 10.3969/j.issn.0258-2724.20240621
Abstract:

To enhance the position tracking accuracy of the linear magnetic drive system susceptible to uncertainties such as external perturbations and address the jitter in sliding mode control, a super-twisting sliding mode control strategy was proposed based on the fuzzy variable gain. First, the working principle of the linear magnetic drive system was introduced, and its mathematical model was established with perturbations considered. Next, a speed controller based on the super-twisting sliding mode algorithm was designed to ensure fast and accurate system convergence. The stability of the system was verified by using the Lyapunov function, and the gain of the algorithm was adaptively adjusted via a fuzzy algorithm. Finally, the proposed composite control method was validated through experiments. Results demonstrate that super-twisting sliding mode control based on the fuzzy variable gain achieves high position tracking accuracy and fast response. Compared to that of the original super-twisting sliding mode control, the step position tracking response time is reduced by 28%, and the steady state error decreases from 3 µm to 1 µm. There is no jitter. The phase difference in sinusoidal position tracking is reduced by 13%, and the tracking accuracy increases by 14%. Additionally, square wave position tracking exhibits enhanced dynamic performance. The time of the system to reach a steady state declines by 13% after perturbations are applied, and the delay time is reduced by 80% after the load is applied, significantly enhancing perturbation resistance.

Research on Fuzzy Proportional Integral Differential Control of Magnetic Drive Oil-free Scroll Compressor
DUAN Zhenyun, LIU Yang, SUN Feng, SHI Ce, XU Fangchao, JIN Junjie, ZHANG Xiaoyou, CHEN Xi
2025, 60(4): 1013-1023. doi: 10.3969/j.issn.0258-2724.20240600
Abstract:

Magnetic drive oil-free scroll compressor (MDOFSC) adopts electromagnetic force to drive the orbiting scroll in a non-contact manner. The problems of strong nonlinearity in the compressor system and large trajectory tracking errors under proportional-integral-differential (PID) control were analyzed, and a fuzzy PID controller was designed to adjust control parameters online and improve trajectory tracking performance. Firstly, the structure and working principle of MDOFSC were introduced, and the mathematical model of electromagnetic drive and the system dynamics model were established; the system stability was analyzed. Secondly, fuzzy logic was added for fuzzy controller design; finally, the step response and trajectory tracking results under both PID and fuzzy PID control were compared under the same control parameters. The results show that under the fuzzy PID control, the stabilization time during the step response is reduced by 0.461 s, and the steady state error is reduced by 0.012 mm; the time to reach the stable tracking in the X and Y directions during the trajectory tracking is reduced by 0.365 s and 0.090 s, respectively, and the maximal trajectory tracking error in the X and Y directions is reduced by 0.043 mm and 0.060 mm; the maximal relative error is reduced by 50% and 60%, respectively.

Acceleration Feedback Control of Bilateral Permanent Magnet and Electromagnetic Hybrid Electrodynamic Suspension
LUO Cheng, TANG Hao, WAN Guohao, WANG Ying, LI Songqi, LUO Jun
2025, 60(4): 1024-1031. doi: 10.3969/j.issn.0258-2724.20240551
Abstract:

To improve the dynamic stability of the permanent magnet (PM) electrodynamic suspension (EDS) and reduce the drag during low-speed operation, a bilateral PM and electromagnetic hybrid EDS system was studied. Firstly, a 2D analytical expression of the system electromagnetic force was derived based on Maxwell’s equations. The analytical results were verified by finite element numerical calculations, with a comparison of the electromagnetic force characteristics between unilateral and bilateral structures. Secondly, a suspension dynamic model of the system was established, and an acceleration feedback suspension controller was designed. Finally, a comparative analysis of the air gap, acceleration, and current waveforms under acceleration feedback suspension control and air gap feedback PID control was carried out through Simulink simulation when the system was subjected to track and load disturbances. The results show that the bilateral structure effectively increases the system float-to-drag ratio. At an operating speed of 100 km/h, the float-to-drag ratio for the unilateral and bilateral structures are 3.18 and 15.43, respectively. When the system is subjected to ± 1 mm track disturbances, the controller enables the system vibration acceleration and suspension air gap to quickly stabilize at rated positions of 0 and 20 mm, respectively. When the system is subjected to ± 2 000 N load disturbances, the acceleration feedback suspension controller allows the suspension air gap to quickly stabilize at 19.05 mm and 20.96 mm, respectively, while the PID controller stabilizes the coil current at 4.43 A/mm2 and −4.66 A/mm2, respectively. During stable operation, the steady-state coil current under the acceleration feedback suspension control is 0, while the steady-state suspension air gap under the PID control is 0. The system quickly returns to its initial rated operating state after the disturbances are eliminated.

Sensorless Control Method of High-Frequency Injection for Long-Stator Synchronous Motor of Maglev Trains Considering Phase Shift Compensation
ZHANG Wenbai, LIN Guobin, KANG Jinsong, ZHAO Yuanzhe, LIAO Zhiming
2025, 60(4): 1032-1041. doi: 10.3969/j.issn.0258-2724.20240310
Abstract:

In order to study the influence of high-frequency signal injection (HFSI) response to electrical angle phase shift on the low-speed control accuracy of maglev trains, the constraint relationship between the control delay and the sampling delay on the angular error lag was considered, and a compensation method for minimizing the angle error of sensorless estimation was proposed. Firstly, a zero-low-speed HFSI model for long-stator synchronous motor (LSM) of high-speed maglev trains was established, and a high-frequency response current model was constructed by using the estimation-real-delay coordinate transformation theory. Secondly, by analyzing the influence of system delay on angular error in a high-power electric drive system, the high-frequency response current model with estimated angular phase shift error was reconstructed. Then, the objective function for the discrete estimation of the angular error was designed, and the bisection method considering the gradient change was proposed to calculate system delay and angular error online. Finally, the algorithm was verified by the low-speed test platform of maglev motors. The experimental results show that compared with the uncompensated sensorless control, when the set current is 20, 21 A, and 22 A, the estimated angular error is decreased by 73.3%, 70.4%, and 72.1% by the proposed compensation method considering phase shift lag compensation. When the set speed is 0.8 m/s, 0.9 m/s, and 1.0 m/s, the estimated angular error is decreased by 67.9%, 70.5%, and 75.5%, and the speed tracking error is decreased by 50% on average.

Fault Diagnosis of Suspended Electromagnet Based on Current Change Rate Increment
JIANG Qilong, YAO Weifeng, ZHANG Ye
2025, 60(4): 1042-1049. doi: 10.3969/j.issn.0258-2724.20250067
Abstract:

To improve the accuracy of fault diagnosis for suspended electromagnet coils under complex operating conditions, a fault diagnosis method for electromagnet coils based on the increment of current change rate within a cycle was proposed based on the changes in current characteristics before and after the failure, taking into account the effects of temperature, load variation, and air gap disturbances. By establishing a mathematical model for the increment of the electromagnet coil’s output current change rate under two-level control, the current variation characteristics were analyzed. It was clarified that an interturn short circuit in the electromagnet coil was the fundamental cause of abnormal current change rate increment, making it feasible to use the variation in current change rate increment as a criterion for fault detection. Moreover, to address the issue of false diagnoses triggered by changes in the air gap that affected the current change rate increment, the least squares method was used to derive the relationship between the actual air gap and the current change rate increment under normal conditions. A lookup table was then established to dynamically adjust the threshold of the current change rate increment in real time based on air gap variations. Simulation and experimental results verify that the proposed algorithm is suitable for various operating conditions of maglev trains, demonstrating strong robustness. When the coil’s short circuit ratio is less than 5%, the fault diagnosis accuracy reaches as high as 97%, with high sensitivity. Moreover, the algorithm is capable of completing fault diagnosis within a single fundamental cycle, ensuring rapid detection.

Remanence Compensation of Maglev Planar Motor Based on Digital Twin Model
XU Fengqiu, QIU Yi, HE Jiawen, XU Xianze
2025, 60(4): 1050-1059. doi: 10.3969/j.issn.0258-2724.20240556
Abstract:

A remanence compensation method for permanent magnet arrays was proposed to enhance the control performance of maglev planar motors after demagnetization faults, and the effectiveness of the proposed method was verified by a digital twin model. Firstly, a digital twin framework for maglev planar motors based on a five-dimensional digital twin model was constructed, and the components of the five-layer architecture were clarified. Secondly, the relationship between the magnetic field around the mover and the residual magnetization intensity was explored by using a magnetic charge node model to obtain a remanence inversion expression. Then, the inverted remanence data were introduced into the motion decoupling process to derive the control current after remanence compensation. Digital twin data of maglev planar motors with different demagnetization distributions were used to obtain remanence values through inversion. Multiple trajectory tracking simulation experiments were conducted to compare motion simulations under three conditions: no demagnetization, neglecting demagnetization effects, and remanence inversion compensation. The results show that compared with neglecting demagnetization effects, the remanence inversion compensation method reduces the root mean square error of horizontal ramp trajectory tracking by 56.5% and the maximum error by 40.9%. The setting time in planar motion step response is decreased by 41.3%, and the overshoot is reduced by 15.7%. When a circle contour is tracked, the root mean square of contour error is decreased by 85.0%, and the maximum error is reduced by 38.9%.

Fault Monitoring of Electromagnetic Vibration Damping System Based on Magnetic Flux Density Signals
ZHOU Ran, LU Sijia, SONG Yuanyuan, WU Liping, SHAN Guangkun, SUN Feng, ZHANG Zhiqiang, QU Jianzhen
2025, 60(4): 1060-1070. doi: 10.3969/j.issn.0258-2724.20240580
Abstract:

Most existing fault diagnosis studies for electromagnetic vibration damping systems rely on mechanical signals such as displacement or acceleration signals, while relatively few studies focus on the changes in internal magnetic field signals. Magnetic field signals detected by the Hall sensor were used as the basis. By considering the effects of various faults during the service process of a linear motor-type electromagnetic vibration damping system on the air gap magnetic flux density signals, a finite element model of the electromagnetic vibration damping system was established, and fault monitoring was analyzed. First, a magnetic circuit analysis of the linear motor-type electromagnetic vibration damping system was carried out; an equivalent magnetic circuit model was established, and the conditions under which various faults affected the air gap magnetic flux density signals were analyzed. Then, a simulation model of the electromagnetic vibration damping system was established using the Maxwell electromagnetic simulation platform to study the variation patterns of magnetic flux density signal parameters in the air gap under different fault conditions. Finally, fault characteristic information in the time and frequency domains was obtained under various fault conditions. Ensemble empirical mode decomposition (EEMD) was applied to the frequency-domain feature information, and the time-frequency domain characteristics were compared to achieve fault monitoring. The results show that the time-domain kurtosis value is 1.6 under normal conditions, while the values are 2.5 and 6.5 under demagnetization and eccentricity fault conditions, respectively. The frequency-domain evaluation indicators exhibit different degrees of variation compared with those under normal conditions, and the effectiveness of the fault monitoring method is verified through experiments.