• ISSN 0258-2724
  • CN 51-1277/U
  • EI Compendex
  • Scopus
  • Indexed by Core Journals of China, Chinese S&T Journal Citation Reports
  • Chinese S&T Journal Citation Reports
  • Chinese Science Citation Database

2025 Vol. 60, No. 5

Display Method:
Analysis Method for Water-Rich and Fractured Risks in Tunnel Surrounding Rock Based on Fuzzy Bayesian Network
ZHU Qing, ZHENG Weipeng, WU Haoyu, DING Yulin, GUO Yongxin, WANG Qiang, LIU Li, ZHANG Junxiao
2025, 60(5): 1071-1079. doi: 10.3969/j.issn.0258-2724.20230397
Abstract:

Unfavorable water-rich and fractured geological zones easily bring about water inrush disasters during tunnel construction. To accurately analyze water-rich and fractured risks in tunnel surrounding rock and address the need for automated and quantitative risk analysis, a fuzzy Bayesian network model for risk assessment was constructed by using tunnel excavation data. Geological parameter uncertainty was quantified via membership functions, and Bayesian probabilistic inference was employed to integrate data from tunnel seismic prediction and transient electromagnetic methods, yielding the probability of water-rich and fractured risks. A three-dimensional voxel model was used to map the risk probability to spatial coordinates, visualizing the spatial distribution of risks. A typical deep-buried long tunnel was selected for analysis. The results demonstrate that the assessment model achieves classification accuracies of 80.91% for groundwater conditions and 82.81% for rock mass integrity. Not affected by incomplete data, the model can conduct quantitative analysis under both single-source and multi-source data conditions. The constructed three-dimensional voxel model provides an effective reference for risk prevention and control. Analysis results of multi-source data fusion show higher spatial consistency with field-exposed water-rich and fractured zones than those of single-source data.

Coupling Optimization and Regulation of Roadbed and Environment in Mountainous Railways
BAO Xueying, SHEN Duhua, LI Yajuan, HE Zhenxia, ZHANG Chenghao, CHEN Huixin
2025, 60(5): 1080-1089. doi: 10.3969/j.issn.0258-2724.20230340
Abstract:

To achieve high-quality coordinated development of roadbed and environment in mountainous railways, a coupling optimization and regulation method of roadbed and environment was proposed. Firstly, the compatibility and symbiosis between the railway roadbed and the environment were defined, and a green element indicator system was constructed. The coupling regulation framework was clarified by combining the coupled Rubik’s cube game model. Secondly, the coupling coordination degree model, pressure bearing model, and functional relationships between key elements were used to jointly construct the objective function and constraint conditions for roadbed and environment regulation and optimization. The green key elements of roadbed engineering were taken as the main control variables, and an intelligent optimization algorithm, namely the chameleon swarm algorithm (CSA) was adopted to solve them, obtaining the optimal solutions of each main control variable in a compatible and symbiotic state. Finally, an empirical analysis was conducted by using the railway roadbed in a certain mountainous area as an example. The results show that when the main control variables of road cut excavation size, embankment filling size, support structure design, support structure layout, engineering protection structure design, slope engineering protection layout, plant protection structure design, slope plant protection layout, ecological sound barrier structure design, and ecological sound barrier layout are optimized by 36.83%, 43.14%, 49.93%, 68.91%, 69.98%, 68.91%, 23.42%, 68.91%, 19.64%, and 19.60%, respectively, the evolution of railway roadbed and environment from primary coordination state to intermediate coordination state can be achieved. The research results verify the rationality of the constructed roadbed and environment regulation and optimization model and the effectiveness of CSA in finding the optimal solution, providing a scientific basis for achieving green construction of railway roadbed engineering in mountainous areas.

Heat–Mass Transfer and Salt-Frost Heave Mechanism of Saline Soil under Freeze–Thaw Cycle
YU Yunyan, LUO Chongliang, CUI Wenhao, DU Qianzhong, GAO Yuan, ZHANG Tinghua
2025, 60(5): 1090-1097, 1120. doi: 10.3969/j.issn.0258-2724.20230299
Abstract:

To study the heat–mass transfer patterns and structural damage mechanisms of sulfate saline soil under freeze–thaw cycles, a freeze–thaw cycle test was carried out under non-pressurized supply condition with saline soil from Hexi Corridor as the research object. The pore structure damage mechanism of sulfate saline soil before and after freeze–thaw cycles was analyzed using nuclear magnetic resonance (NMR) and scanning electron microscope (SEM). The study shows that temperature transfer in the sulfate saline soil under freeze–thaw cycles exhibits the “depth effect” and “time-lag effect”, with a time lag of about five hours. The freezing depth initially develops downward before stabilizing, reaching a maximum depth of 8.54 cm. The solution supply amount increases as temperature decreases and decreases as temperature rises. Water and salt content increase in the frozen zone after a 240-hour freeze–thaw cycle while remaining basically unchanged in the unfrozen zone. The deformation of saline soil due to salt-frost heave follows a cyclic pattern of “heave and thaw”, with a time lag in response to temperature changes. Repeated cycles of “freezing–condensation–crystallization–thawing–dissolving” cause significant increases in medium and large pores of saline soil, leading to interconnected cracks. The soil structure transitions from a laminar structure before freeze–thaw cycle to a flocculent structure afterwards.

Flexural Bearing Performance of Prestressed Concrete Pipe Piles with Hybrid Reinforcement under Influence of Prestressed Control Level and Hybrid Reinforcement
TANG ChangYi, XU Yan, CUI Kai, CHEN Feng, HOU Weisheng, ZHANG Shengjie
2025, 60(5): 1098-1105. doi: 10.3969/j.issn.0258-2724.20230393
Abstract:

The actual flexural bearing capacity of prestressed concrete pipe piles with hybrid reinforcement (PRC pipe piles) is different from the theoretical design value due to the influence of prestressed control level and hybrid reinforcement, which leads to the potential risk of pile body damage or performance degradation during its service. In order to study the actual flexural bearing capacity of PRC pipe piles, the flexural load test of PRC pipe piles under different prestressed levels and hybrid reinforcement was carried out. The monotone continuous loading method was adopted in the load test. The bending moment-deflection curves of different PRC pipe piles were recorded to determine the flexural load variation rule. Finally, the experimental data were compared with the theoretical calculation value of relevant bending moment bearing capacity in current standards. The results show that the deformation of the hybrid reinforcement method improves the bearing capacity and ductility of the pile body. A higher initial prestress-to-tension control ratio indicates a longer elastic deformation section of the specimen, a larger cracking moment, and a delay in crack occurrence. When the initial prestress is 0.5 times the tensile force, the ductility of the specimen is the best; the bending deformation ductility is greater than 10; the maximum deflection is more than 54 mm, and the crack width is 1.05–1.5 mm. The member deformation under simultaneous tension of steel bars for prestressed concrete (PC steel bar) and screw-thread steel is relatively slow, and ductility and toughness are better. When the non-prestressed steel bars contribute to the prestress, the ultimate bending moment is increased by about 2.5%, and the cracking deflection at the end of the elastic stage is larger. The measured cracking moment of different PRC pipe piles is 1.25–1.50 times the design theoretical value, and the measured ultimate bending moment is 0.96–1.07 times the theoretical value.

Deterioration Characteristics of Tunnel Support Structures under Surrounding Rock Creep
LAN Riyan, YANG Kai, QIU Yunhui, CUI Yaozhong, QIAO Minjie, YAN Qixiang
2025, 60(5): 1106-1120. doi: 10.3969/j.issn.0258-2724.20230442
Abstract:

To investigate the long-term deterioration characteristics of tunnel support structures under creep effect, mechanical models of anchor bolt fracture, steel arch frame yielding, and concrete plastic damage were established for the tunnel support structure system. Numerical examples were used to verify the validity of the mechanical models for support structure deterioration. The deterioration characteristics of anchor bolt fracture, steel arch frame yielding, and lining damage were explored under conditions dominated by vertical stress, hydrostatic pressure, and horizontal stress. The results show that the fracture first occurs at the anchor bolt at mid-height of the tunnel sidewall and then develops circumferentially towards both sides. The axial force of the steel arch frame first increases rapidly, then develops slowly, and finally decreases significantly. The rapid decrease of axial force is accompanied by drastic changes in the bending moment, with some measuring points appearing a change of bending moment from negative to positive. The compressive damage zones are mainly distributed at the sidewall and wall foot positions of the tunnel, while tensile damage first appears on the surface of the secondary lining at the mid-height of the sidewall. As the lateral pressure coefficient increases, the anchor bolt fracture, the steel arch frame yielding, formation of a continuous compressive damage zone in the lining, and the maximum tensile damage appear earlier.

Seismic Fragility Analysis of Shallow-Buried Subway Station Structure in Loess Strata
SUN Weiyu, ZHU Hui, YAN Songhong, LIANG Qingguo, ZHANG Jianzhe, YANG Bin, ZHANG Rongling
2025, 60(5): 1121-1130. doi: 10.3969/j.issn.0258-2724.20230597
Abstract:

In order to study the seismic fragility of subway stations situated in loess sites, a typical two-story three-span subway station structure in a loess area was chosen as a representative example, and incremental dynamic analysis (IDA) was conducted on the subway station structure by using the ground motion input method based on viscoelastic boundaries. The results of IDA were then used to comprehensively evaluate 37 seismic intensity indices in terms of their effectiveness, practicality, and benefit. Based on this evaluation, seismic intensity indices that were suitable for the site conditions and structural configuration of the subway station were selected. Seismic fragility curves and damage state probability curves for the subway station structure were established using a double-parameter lognormal distribution model. These curves facilitated the determination of the probability of the subway station structure exceeding various performance levels and encountering different damage states under specific seismic intensities. The findings suggest that acceleration-related and velocity-related indices are more suitable as seismic intensity indices for predicting the seismic response of underground structures, while displacement-related and ratio-related indices are not appropriate. Under frequent seismic events, the probability of the subway station structure experiencing damage is relatively low. For design-level seismic events, the structure primarily sustains slight damage. In the case of rare seismic events, the subway station structure is more prone to slight and moderate damage. The results provide a reference for the seismic design of performance-based subway stations constructed on loess strata.

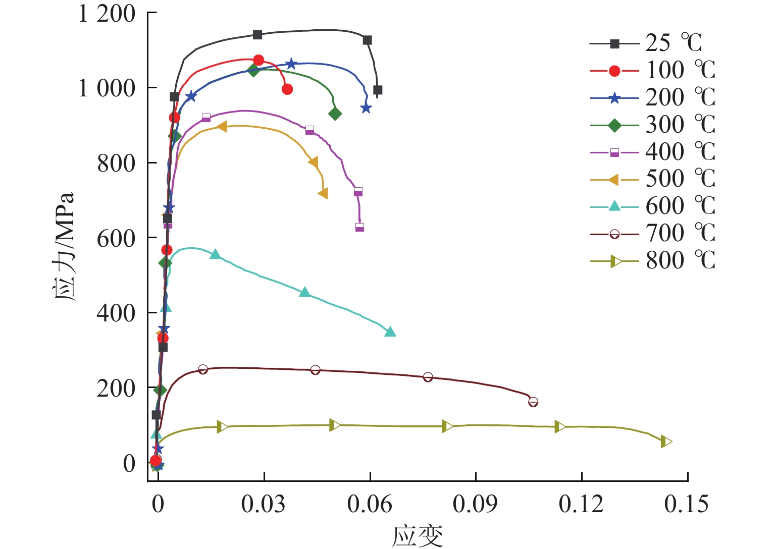
Energy Evolution Mechanism and Constitutive Model of Sandstone Subjected to Different Temperatures
LEI Ruide, ZHOU Linsen, HU Chao, LI Menglai, HUANG Ling
2025, 60(5): 1131-1138. doi: 10.3969/j.issn.0258-2724.20230714
Abstract:

To investigate the effect of high temperature on the deterioration of the physical and mechanical properties of sandstone, uniaxial compression tests were conducted on thermally-treated sandstone subjected to different temperatures. Firstly, the deterioration characteristics of macroscopic mechanical parameters of sandstone were obtained through the analysis of mechanical strength and failure modes. Secondly, the influence of different temperatures on the energy evolution mechanism and elastic energy dissipation ratio of sandstone was studied. Finally, combined with the temperature and load damage factor, the piecewise function method was applied to develop a thermo-mechanical coupling damage constitutive model, considering the crack closure stage. The results show that as temperature increases, the peak strength and elastic modulus of thermally-treated sandstone increase first and then decrease, reaching a maximum value at 200 ℃. The failure mode transforms from oblique shear to “Y”-shaped conjugate tension–shear mixed failure, with the critical temperature threshold for the brittle and ductile transition occurring at 400 ℃. Based on dissipated energy evolution characteristics, the deformation and failure process is primarily divided into crack closure, elastic, macro-crack extension, and post-peak stages. The turning point of the elastic energy dissipation ratio (K) serves as the critical point where sandstone transitions from elastic to plastic behavior. The model’s size parameter (m) first increases and then decreases with increasing temperature, while the shape parameter (n) gradually decreases, reflecting the strength and plasticity of sandstone. The good agreement between the theoretical model and the laboratory results indicates that the model can invert the whole process of damage development of sandstone under thermo-mechanical coupling conditions.

Mechanical Model of Downhole Debris Flow Mechanism Based on Key Block Theory
NIU Xiangdong, HOU Kepeng, SUN Huafen
2025, 60(5): 1139-1148, 1159. doi: 10.3969/j.issn.0258-2724.20230525
Abstract:

To achieve quantitative and precise prevention and control of downhole debris flows in mines mined by the natural caving method, a large-scale laboratory experimental method for downhole debris flow was employed by taking the Plan copper mine as a case study. The channel types and inducing mechanism of the downhole debris flow formation were analyzed, revealing the critical conditions for the occurrence of downhole debris flow. The key block theory was applied to conduct a mechanical analysis of the key block of downhole debris flows under critical conditions. A mechanical model of the inducing mechanism of the downhole debris flow was constructed, and the theoretical critical ore yield induced by the natural caving method was deduced. The results show that under non-uniform ore drawing conditions, three types of debris flow channels are prone to form in the caved ore layer: straight ore drawing channels, separated layer channels, and curved channels. The spatiotemporal evolution mechanism of the formation of a downhole debris flow involves four stages: formation and expansion of the debris flow channel, migration and accumulation of source material, accumulation of runoff water from rainfall, and induction through vibration factors. The critical condition for inducing downhole debris flow is the formation of a certain separation space at the interface between the moraine layer and the ore layer. The accuracy and reliability of the model were verified by the occurrence frequency and reduction rate of underground debris flow in the Plan copper mine from 2019 to 2022.

Freeze-Thaw Resistance of Red Mud-Based Stabilized Crushed Stone
HE Jingyuan, GAO Weihao, ZHANG Jian, WANG Chuan, LI Zhaofeng, YOU Hao
2025, 60(5): 1149-1159. doi: 10.3969/j.issn.0258-2724.20230350
Abstract:

In order to achieve the safe application of red mud-based cementitious materials in road engineering, the mechanical properties and quality of red mud-based stabilized crushed stone base under freeze-thaw cycles were studied. The influence of freeze-thaw cycle temperature and number on mechanical properties and quality loss was explored by industrial CT scanning and SEM-EDS. Research has shown that when the temperature ranges from 20 ℃ to −20 ℃ for 28 days, the maximum quality loss rate of the cementitious material with a 5% dosage is 1.85%. The change in quality loss rate of stabilized crushed stone with 5% and 6% red mud-based cementitious materials is higher than that with 7% and 8% red mud-based cementitious materials. In addition, with the increase in freeze-thaw cycles, the quality loss rate continues to increase. Through industrial CT and SEM-EDS microscopic analysis, as the number of freeze-thaw cycles increases, the porosity of stabilized crushed stone increases. After the stabilized crushed stone undergoes 28 days of curing and 20 freeze-thaw cycles with a 6% dosage, the porosity increases by 1.53%, and internal crack damage increases and accumulates continuously, showing a changing pattern from less to more and from narrow to wide. The research results have a positive role in promoting the green construction of transportation engineering and the large-scale application of red mud.

Experimental Study on a New Clamping Anchor for Carbon Fiber Reinforced Polymer Plate
HOU Suwei, TIAN Shuheng, TANG Zhiqiang, XI Jianying
2025, 60(5): 1160-1169. doi: 10.3969/j.issn.0258-2724.20240554
Abstract:

To address the problem of uneven transverse compressive stress distribution in traditional carbon fiber reinforced polymer (CFRP) plate anchors, which makes the plate prone to tearing failure during the tensioning process, a new clamping anchor for CFRP plates was developed. The new anchor features a preloaded bolt arranged along the central axis. By setting the bolt length and controlling its displacement, a quantified compressive force was applied to the CFRP plate, and the force mechanism of the new anchor was analyzed. Next, finite element software ANSYS was used for simulation, and the key factors affecting anchorage performance were analyzed. Finally, a static tensile test was performed on a CFRP plate with a thickness of 2 mm and a width of 50 mm. The results are as follows: 1) The anchorage performance of the new anchor is closely related to the clamp thickness, the outer clamp plate thicknesses, and the bolt preload force. When the clamp thickness is 20 mm, the transverse compressive stress distribution of the CFRP plate is relatively uniform, with a difference between the maximum and minimum compressive stresses of only 9.8 MPa. When the thicknesses of the upper and lower outer clamp plates are 30 mm and 20 mm, respectively, the bending stress of each component remains within a safe range. When the preload force of the bolt is 170 kN, the compressive stress level in the CFRP plate significantly increases, while the shear stress remains consistently low. 2) In the static tensile test, the new anchor withstands a maximum tensile force of 260.7 kN, achieving an anchoring efficiency of 108.63%. The failure mode of the CFRP plate is fiber rupture, with no tearing or other abnormal failure modes observed. The anchor demonstrates excellent static anchorage performance.

Seismic Failure Analysis of High-Pier Aqueduct Water-Stop Based on Fluid-Solid Coupling
DENG Kailai, ZHANG Yexin, LI Zhiyuan, HAO Minghui, LIAO Wenbin
2025, 60(5): 1170-1177. doi: 10.3969/j.issn.0258-2724.20230640
Abstract:

To explore the water-stop performance of a large-scale high-pier aqueduct under earthquakes, a finite element model of the aqueduct was established based on the fluid-solid coupling method, and the nonlinear coupling behavior of the aqueduct and water under dynamic effects was simulated. By introducing the deformation and failure threshold of the water-stop, the failure process between the aqueduct spans was reproduced, and the overflow of the water body in the aqueduct after the water-stop failure was revealed. Based on an actual high-pier aqueduct structure, the macro- and micro-seismic response of the aqueduct was obtained through nonlinear dynamic analysis, including pier strain, bearing displacement, and water-stop damage. The impact of different bearing types and seismic isolation devices on the seismic performance of aqueducts was revealed. The research results show that under rare earthquakes, severe structural damage will not occur to the piers and the aqueduct, and the structural safety of the aqueduct under earthquakes is guaranteed. However, under designed earthquakes, the water-stop of the aqueduct will fail, which cannot guarantee that the aqueduct will maintain the water diversion function after an earthquake. Adding steel dampers can effectively control the deformation of the aqueduct spans, ensuring that the water-stop of the aqueduct will not be damaged under a designed earthquake. However, the water-stop will inevitably be damaged under rare earthquakes, and the deformation control of the aqueduct spans under strong earthquakes still faces challenges.

Influence of Vertical Stiffness of Continuous Girder on Dynamic Responses of High-Speed Electromagnetic Suspension Train and Bridge
CHEN Xuli, XIANG Huoyue, TIAN Xiangfu, LI Yongle, CAO Wenjie
2025, 60(5): 1178-1185. doi: 10.3969/j.issn.0258-2724.20230382
Abstract:

Vertical stiffness is critically significant for the operational safety and ride comfort of high-speed electromagnetic suspension (EMS) trains on bridges, constituting one of the essential design parameters in bridge engineering. By using a three-span continuous girder as the study object, the vertical stiffness was modified by adjusting the cross-sectional moment of inertia. A coupled vibration analysis of the EMS train-bridge system was conducted under varying train speeds, rated suspension clearances, and temperatures. The variation rules of the dynamic coefficient of the bridge, acceleration of the train, and suspension clearance change with the adjustment coefficient of vertical stiffness of the bridge were discussed. The results show that when the adjustment coefficient of stiffness decreases to about 0.75, the dynamic coefficient of the bridge increases rapidly, and the vertical acceleration of the train is more sensitive to the vertical stiffness variation of the bridge than the suspension clearance change. When the cooling deformation is considered, higher train speed indicates greater vertical dynamic response of the bridge, and the track irregularity and rated suspension clearance have no obvious influence on the dynamic coefficient of the bridge. Higher train speed indicates smaller rated suspension clearance. When the effects of track irregularity and cooling deformation are considered, the adjustment coefficient of vertical stiffness of the bridge corresponding to the same vehicle dynamic response is larger.

Impact of Horizontal Ribs on Aerodynamic Characteristics of High-Rise Buildings
JIANG Yuan, LIU Jinyang, HUI Yi, LIU Rui
2025, 60(5): 1186-1194. doi: 10.3969/j.issn.0258-2724.20230584
Abstract:

To analyze the wind-resistance working mechanism of facade ribs mounted on high-rise buildings, the impact of horizontal ribs on the flow field and wind load of high-rise buildings under atmospheric boundary layer flow was evaluated by using the large eddy simulation (LES), and the wind-resistance effect of different types of horizontal ribs was compared. The results show that the horizontal ribs significantly inhibit the formation of the separated vortex near the sidewall and elongate the wake vortex. The ribs obviously suppress the vertical flow near the buildings and induce a local vortex near the ribs, which eventually causes significant changes in the pattern of near-wall flow. The changes in the flow field will lead to corresponding alterations in wind pressure distribution and wind load. The horizontal ribs can cause a “zigzag” pattern distribution of the mean wind pressure coefficient along the altitude of the buildings, and the ribs significantly reduce the mean and fluctuating wind pressure on the sidewall. The maximum reductions are about 20% and 17%, respectively. With regard to total wind load, the horizontal ribs have negligible impact on the mean drag, while they can significantly mitigate the fluctuating lift on the buildings, with a maximum reduction of 27%. The effect of the rib arrangement on the aerodynamic characteristics is also significantly different. The continuous horizontal ribs affects the wind pressure distribution and wind load by changing the near-wall flow and the vortex structure, while the influence of discontinuous ribs on wind load is relatively weak.

Seismic Performance of Concrete Short-Leg Shear Wall with High-Strength Steel Bars
YUAN Weiguang, ZHAO Hua, MA Lan, XIAO Qiang, WEI Chengjin
2025, 60(5): 1195-1202. doi: 10.3969/j.issn.0258-2724.20230376
Abstract:

To meet the demand for rapid repair of building structures after earthquakes, a short-leg shear wall with high-strength steel bars (HG bars) as longitudinal reinforcement of the concealed column, namely short-leg shear wall with high-strength steel bars was proposed. Three prefabricated 1/3-scale reinforced concrete short-leg shear wall components were constructed, and quasi-static tests were conducted to analyze the effects of longitudinal reinforcement types of the concealed column and axial compression ratio on the seismic performance and self-restoring capability of the components. The test results show that compared to the ordinary concrete short-leg shear walls, the short-leg shear wall components with HG steel bars demonstrate a good displacement-hardening effect and self-restoring capability under large deformations and develop an overall S-shaped hysteresis curve and an 83% increase in the ultimate bearing capacity. While the residual deformation is relatively small, a residual deformation of 0.65% occurs at a displacement angle of 3.0%. In addition, under the high axial compression ratio (limit value), the ultimate bearing capacity of short-leg shear wall components with HG steel bars increases by 11%, and the residual deformation is 0.50% at a displacement angle of 3.5%.

Characteristics of High Temperature Performance Transformation and Rutting Resistance Index Construction of Asphalt Mixtures
LI Qian, WANG Xudong, ZHOU Xingye, CHEN Meng, LIU Xu
2025, 60(5): 1203-1212, 1219. doi: 10.3969/j.issn.0258-2724.20240516
Abstract:

To reveal the performance transformation characteristics of asphalt mixtures under high temperature and propose corresponding indices for high temperature performance evaluation, the dynamic modulus and phase angle of three fine-grained asphalt mixtures used in RIOHTrack full-scale track were tested under different temperatures, frequencies, and strains. Based on the relationship between the dynamic modulus and phase angle, a characteristic dynamic modulus index that can reflect the high temperature performance transformation of asphalt mixtures was proposed. Dynamic modulus-phase angle curves were fitted by the Bigaussian model to determine the values of the characteristic dynamic modulus and the performance decline rates of three mixtures. Based on this, a comprehensive evaluation index Eww for rutting resistance performance was proposed, which could reflect the characteristic dynamic modulus, phase angle, and performance decline rate at the same time. The reliability of this evaluation index was verified by the observation of pavement rutting deformation with 100 million loads via the full-scale track. The results show that the dynamic moduli corresponding to the maximum phase angles obtained under different experimental conditions are relatively close. The proposed characteristic dynamic modulus index is consistent with the rutting test results, indicating that the index can reflect the rutting resistance performance of the mixtures. The correlation coefficient of the dynamic modulus-phase angle curve fitted by the Bigaussian model reaches over 96%, which demonstrates the high reliability of the method. Compared with laboratory rutting tests, the comprehensive evaluation index proposed in this article is consistent with the rutting detection results of the full-scale test track, indicating that it is necessary to consider the high temperature performance transformation characteristics of asphalt mixtures when rutting resistance performance is evaluated.

Prediction Model for Water Film Thickness of Drainage Asphalt Pavement under Ultimate Rainfall Intensity
WANG Min, HE Zhaoyi, ZHOU Wen, SONG Gang
2025, 60(5): 1213-1219. doi: 10.3969/j.issn.0258-2724.20230159
Abstract:

In order to study the variation law of water film thickness of multi-lane drainage asphalt pavement under ultimate rainfall intensity, a full-scale experimental section of multi-lane drainage asphalt pavement was constructed in the laboratory based on the seepage characteristics of drainage asphalt pavement. The water film thickness of the road surface was measured under different rainfall intensities, and the variation law of water film thickness with factors such as rainfall intensity and drainage path length of the pavement was analyzed. A model for predicting the water film thickness of drainage asphalt pavement under heavy rainfall was proposed, and on-site verification of the prediction model was conducted on the Nanning Ring Expressway in Guangxi Province. The ultimate rainfall intensity for drainage asphalt pavement without water film was determined based on a water film thickness prediction model. The research results indicate that the measured water film thickness of the drainage asphalt pavement increases with the drainage path length of the pavement and rapidly increases with the increase in rainfall intensity. During moderate to light rain periods with minimal rainfall, no water film will appear within 3 m of the road center; the water film thickness increases with the increase in rainfall and drainage path length, and it decreases with the increase in pavement thickness, slope, and porosity; when the drainage path length does not exceed 2 m, drainage asphalt pavement can withstand extremely heavy rainstorm without water film. When the drainage path length exceeds 10 m, the rainfall intensity reaches the level of heavy rain, which will form a water film on the road surface.

Bearing Characteristics of X-Shaped Sleeper Based on Scaled Test and Discrete Element Simulation
CHEN Cheng, TANG Yuyan, TANG Zian, ZHANG Lei, YANG Chao
2025, 60(5): 1220-1228. doi: 10.3969/j.issn.0258-2724.20230590
Abstract:

To investigate the trackbed bearing capacity and lateral resistance characteristics of a new X-shaped sleeper, scaled tests comparing the stiffness and lateral resistance between X-shaped and Type Ⅲ sleepers were conducted. A 3D model of a ballast track was established by the discrete element method to analyze the vertical load transmission mechanism and lateral resistance of these two types of sleepers at a micro level. The results indicate that at the maximum vertical load, the X-shaped sleepers significantly reduce vertical displacement (stiffness) by approximately 26.3% compared to Type Ⅲ sleepers (an increase of about 46.6%). Furthermore, the ultimate lateral resistance of the X-shaped sleeper is increased by 22.4%, which effectively improves the lateral stability of the track. The X-shaped sleepers exhibit a substantial increase in the contact area and stress with ballast between the sleepers. The contact forces on the X-shaped sleeper are distributed over four angular segments, making the ballast between the sleepers fully participate in the load sharing. Because the structure of the X-shaped sleeper can increase the participation of the ballast between the sleepers, the stiffness and transverse resistance of the trackbed are increased by about 29.2% and 31.6%, respectively, which is close to the experimental conclusion.

Method for Stress Detection of Freeway Drivers Based on Multimodal Parameters
HE Jie, YE Yuntao, XU Yang, ZHANG Changjian, QIN Pengcheng
2025, 60(5): 1229-1239. doi: 10.3969/j.issn.0258-2724.20230327
Abstract:

To enable real-time driver stress detection without relying on physiological signals, a method based on road alignment parameters, video images, and six-component tire forces was proposed. The proposed method utilized a computer vision model, namely Deeplabv3, to extract semantic information of scene elements from driving videos for characterizing the driving environment. The scene element parameters were incorporated with vehicle dynamics parameters and road alignment parameters to construct a multimodal parameter feature set. Subsequently, a machine learning algorithm was used to achieve driver stress detection. To verify the effectiveness of the proposed method, a field driving experiment was conducted on Jinliwen Freeway for collecting drivers’ eye movement, heart rate data, vehicle dynamics parameters, road alignment parameters, and driving video. The eye movement and heart rate data were utilized to measure stress levels. The random forest, support vector machine, XGBoost, and LightGBM algorithms were applied to build a stress detection model, and shapley additive explained (SHAP) was adopted to analyze influencing factors. The results show that LightGBM has the best performance, with macro average and weighted average F1 values reaching 91.99% and 93.25%, respectively, indicating that the proposed method can achieve accurate stress detection. Additionally, when the standard deviation of aligning torque, vertical force, and longitudinal force exceeds 0.016 3 N·m, 0.237 kN, and 0.229 kN, the average curvature radius of the road section is less than 317 m, and the average transition curve ratio of the road section is less than 0.029 6; the change rates of sky proportion, vegetation proportion, and truck proportion exceed 5.89%, 14.85%, and 6.37%, and the probability of the driver being in a high-stress state is higher. As the required data is easy to collect, the proposed method has a high application feasibility and can provide a reference for the evaluation of freeway safety and comfort. Moreover, it provides theoretical support for the landscape and alignment design of freeways, as well as the design of vehicle driver warning systems.

Time Covariate Modeling of Overtaking Risk Evolution on Two-Lane Highways
JI Xiaofeng, XU Yinghao, HAO Jingjing, QIN Wenwen
2025, 60(5): 1240-1249. doi: 10.3969/j.issn.0258-2724.20230449
Abstract:

In order to obtain the temporal characteristics of overtaking risk evolution on two-lane highways, a full-parameter accelerated failure time (AFT) model based on an improved shape parameter covariate modeling method was proposed to predict the expected overtaking time of the road section, which was carried out after introducing the overtaking risk sight distance index to analyze the evolution characteristics of overtaking risk. A total of 328 sets of complete overtaking trajectory data collected by UAVs in typical overtaking road sections were analyzed and compared. The results show that the overtaking risk evolution consists of two stages: a risk-increasing stage (T1) and a risk-decreasing stage (T2). The average overtaking distances for T1 and T2 are 141.10 and 99.41 m, respectively, and the average durations are 8.18 and 5.61 s, respectively, indicating a significant occurrence of speeding during overtaking. Oncoming vehicles can prolong T1, while overtaking of trucks can shorten T1, indicating a strong effect of scene heterogeneity. The full-parameter AFT model demonstrates better performance in terms of data fitting and heterogeneity capturing. The mean overtaking speed, overtaking distance, and standard deviation of relative lateral deviation were identified as key covariates of the model. Under a survival rate of 1%, the expected overtaking time ranges for the three studied scenarios are 18–93, 18–50 s, and 18–39 s, respectively. The research advances the overtaking duration modeling method for two-lane highways and provides valuable insights for the management of overtaking on existing road sections and the design of road sections under construction.

Lane Selection of Automated Vehicle Groups Approaching Intersections Based on Vehicle–Infrastructure Cooperation
YANG Da, FENG Tingwei, ZHONG Jiayue, ZHENG Bin, YANG Guo
2025, 60(5): 1250-1258, 1314. doi: 10.3969/j.issn.0258-2724.20230216
Abstract:

In front of signalized intersections, frequent lane-changing and turning maneuvers often lead to conflict and reduced traffic efficiency. To address this issue, a shared deep Q-network (DQN)-based reinforcement learning framework was developed for vehicle group control, aiming to optimize lane selection. Firstly, real-time state information on surrounding vehicles and intersection signal lights was obtained using sensing and connected devices. Lane selection was then carried out based on the shared DQN model, and the vehicle’s next position, speed, and steering angle were calculated accordingly. A reward function incorporating efficiency and safety indicators was then constructed to evaluate lane selection decisions. The state, decision, and reward evaluation information were integrated into experience and stored in a shared experience pool to iteratively update the parameters of the shared DQN model. Finally, simulation of urban mobility (SUMO) and Python were used to simulate different traffic scenarios to verify the trained model. Experimental results show that, compared with the lane selection model in SUMO, the proposed shared DQN-based lane selection model for vehicle groups approaching signalized intersections improves average speeds in low, medium, and high traffic scenarios, while reducing queue lengths before intersections by 9.6%, 22.5%, and 24.8%, respectively. The model can effectively reduce the queue length at signal intersections, increase average speeds on road sections before signalized intersections, and improve the efficiency of vehicles arriving at the intersection from upstream, providing a theoretical reference and technical support for future application of vehicle–infrastructure cooperation.

Schedule Design Method for Feeder Flex-Route Transit Connecting Urban Rail Transit
ZHANG Jin, LI Wenquan, GUO Rongrong
2025, 60(5): 1259-1267. doi: 10.3969/j.issn.0258-2724.20230367
Abstract:

To cater to passenger travel, a rational transit operation schedule formulated should maintain stable operation and reduce operating costs. Firstly, aimed at the operation characteristics of flex-route transit different from traditional fixed-route transit, a strategy for the transformation of the traditional fixed-route transit into feeder flex-route transit connecting urban rail transit was proposed to serve the original fixed-route passengers and urban rail transit passengers of short-distance travel without opening new feeder routes. By analyzing the rules and characteristics of passenger travel behavior, the mixed integer nonlinear programming was used to construct the model and algorithm for the coordinated optimization of routes, time, and scheduling of the feeder flex-route transit connecting urban rail transit according to the space-time information of flex-route transit and urban rail transit and space-time parameters of passenger transfer behavior. Finally, cases were employed to analyze the influences of vehicle driving speed, travel demand level, and different time cost emphasis on indicators such as departure interval, vehicle operating time, and operating costs. The results indicate that increasing the departure frequency appropriately during operating periods can effectively reduce passenger travel costs without increasing the total system costs. The study provides the basic theory and automatic compilation method for the schedule design of the feeder flex-route transit with urban rail transit, thus reducing travel costs and improving the operation efficiency and service quality of transit.

Optimization Method for Train Formation Plan with Fuzzy Chance-Constrained Programming
XUE Feng, WANG Jin, CHENG Daibing, XIANG Xingyan
2025, 60(5): 1268-1277. doi: 10.3969/j.issn.0258-2724.20230325
Abstract:

To improve the utilization capacity and transportation efficiency of the railway network, a highly applicable method for optimizing freight train formation plans was proposed. First, under the condition of unknown car flow routing, the stochastic nature of both accumulation time and shunting time was considered. A fuzzy chance-constrained programming method was adopted to limit the cost of accumulation time and shunting time within a certain fluctuation range, leading to the construction of a 0-1 integer programming model under uncertainty. By taking the minimum freight car accumulation time cost, shunting time cost, and transportation cost as the objective function, time uncertainty was addressed using triangular fuzzy numbers. The volatility constraints for accumulation time and shunting time were introduced. The particle swarm optimization algorithm was adopted to obtain the train formation plan. A numerical example was then constructed to validate the effectiveness of the proposed method. The results show that the optimized train formation plan reduces the total detention time of freight cars at stations to 3 914 car-hours, accounting for 54% of the total freight transportation cost. This represents a reduction of about 13% compared to the actual average station detention time of freight cars in the railway network, indicating a significant improvement in the freight train formation plan.

Influence of Braking Conditions on Residual Stress and Warping Deformation of Brake Discs of High-Speed Trains
LI Zhiqiang, ZHENG Yinan, ZHANG Xiaokang, LI Jie, YANG Zhiyong
2025, 60(5): 1278-1286. doi: 10.3969/j.issn.0258-2724.20230691
Abstract:

The brake disc of electric multiple units (EMUs) will form complex residual stress during long-term service, which will lead to irreversible warping deformation after disassembly. In order to investigate the influence of residual stress and warping deformation on the feasibility of subsequent maintenance and reuse of brake discs, firstly, the Ramberg-Osgood constitutive model of corresponding materials was constructed by testing the tensile stress-strain data of cast steel for wheel-mounted brake discs of EMUs at different temperatures. A cyclically symmetric three-dimensional transient numerical simulation model of brake discs was established in finite element software. Secondly, the formation and balance process of residual stress in the surface and center of the brake disc were analyzed by indirect coupling method for different braking conditions considering different initial braking speeds and different average decelerations of the train. The change in warping deformation of the brake disc after structural constraint release was studied. The functional relationship between brake disc deformation and braking energy and heat input power was fitted by piecewise function and polynomial. Finally, by measuring the warping deformation and testing the X-ray residual stress of the brake disc after service, the residual stress distribution law on the friction surface of the brake disc under the corresponding simulation condition was compared. The simulation results had good data and trend consistency with the measured data. The study reveals that the warping deformation of the brake disc is positively correlated with braking energy and braking deceleration. More severe braking condition indicates greater warping deformation of the brake disc. The simulation and measurement show that the high residual tensile stress is located in the middle of the friction surface and close to the bolt holes. The high residual tensile stress value is higher when the braking condition becomes more severe.

Vibration Fatigue Fracture Mechanism of e-Type Clip Under Rail Corrugation Excitation
DONG Bingjie, CHEN Guangxiong, FENG Xiaohang, REN Wenjuan, SONG Qifeng, MEI Guiming
2025, 60(5): 1287-1295. doi: 10.3969/j.issn.0258-2724.20230707
Abstract:

To study the reason for the abnormal fracture of e-type clips on small-radius curved subway tracks, the development of rail corrugation on Line X of the Chengdu Metro over an extended period was monitored and measured. Based on the theory of friction-induced self-excited vibration, a comprehensive solid finite element model of the wheelset−rail−fastening system was established. The effects of short-pitch rail corrugation and long-pitch rail corrugation on the vibration fatigue life of e-type clips were studied by means of implicit dynamic analysis and harmonic response analysis. The study reveals that both types of rail corrugation result in a decrease in the vibration fatigue life of the e-type clips. Greater amplitude of rail corrugation indicates shorter vibration fatigue life of the clips. Rail corrugation can not only induce the e-type clip to generate forced vibrations at the frequency matching that of the rail corrugation but also easily trigger vibrations at multiples of this frequency in the e-type clips. For short-pitch rail corrugation, due to the existence of a frequency twice that of the rail corrugation, the rail corrugation with wavelengths of 25 mm and 40 mm is most likely to lead to vibration fatigue failure of the e-type clips under the influence of short-pitch and long-pitch rail corrugation with the same wave depth amplitude. When the wave depth amplitude of long-pitch rail corrugation with a wavelength of 120 mm is large, the vibration fatigue life of the clips decreases sharply due to the excited 6-fold vibration. However, the long-pitch rail corrugation with a wavelength of 240 mm has only a limited impact on the vibration fatigue life of the clips due to the attenuation of vibration intensity.

Analysis of Vibration Characteristics of Curved Floating Slabs and Train Anomalies Based on Trackside Multi-Sensor Fusion
GAO Tianci, JIANG Lepeng, WANG Yuan, LIU Xiaozhou, LUO Qin, HE Qing, WANG Ping
2025, 60(5): 1296-1302. doi: 10.3969/j.issn.0258-2724.20240423
Abstract:

To investigate the influence of curves and train conditions on the vibration response of floating slab tracks, portable intelligent sensing terminals were installed on floating slabs at multiple locations, including both straight sections and curves. The vibration acceleration of the floating slabs was measured as trains passed, and the corresponding displacements were calculated. By conducting a comparative analysis of vibration characteristics, including acceleration and displacement, at different locations of floating slab tracks in straight and curved sections, the differences in vibration behavior between curved and straight sections can be identified. Additionally, by analyzing the vibration characteristics of the floating slabs at the same position for different trains, potential train issues such as wheel irregularities were found. The results show that the vibration acceleration of floating slab tracks in curved sections is higher than in transition curve sections and straight sections. Specifically, the 95th percentile peak-to-peak vertical acceleration at the end of a floating slab with a 500-meter radius is approximately 5 to 10 times higher than that in straight sections, while vertical displacements remain relatively similar across these sections. Trains with polygonal wheels exhibit more intense vibration when passing over floating slabs compared to normal trains. The 95th percentile peak-to-peak vertical acceleration for such trains is about three times higher than that for normal trains, although the vertical displacements remain largely similar. Based on these vibration differences, a “vehicle spectrum” was developed to identify issues such as wheel irregularity, ​​providing a technical basis​​ for rapid detection of vehicle-related faults in metro floating slab track sections.

Modeling and Operational Characteristic Analysis of High-Voltage Dedicated Line Continuous Power Supply System
ZHANG Liyan, WANG Fan, LI Ao, HE Kun
2025, 60(5): 1303-1314. doi: 10.3969/j.issn.0258-2724.20230384
Abstract:

The high-voltage dedicated line continuous power supply system (HDLCPSS) is a novel traction power supply scheme that enables long-distance and phase separation-free operation. To accurately grasp the operational characteristics of this system, the continuous high-voltage transmission network was simplified using the two-port network theory by considering the parallel capacitance of high-voltage transmission lines and the coupling relationship between the train and the catenary. A constant power load was used to simulate the train load, and a power flow equivalent model of the HDLCPSS was constructed. Based on this model, the forward-backward substitution method was used for dynamic power flow calculation of trains. The variation patterns of traction network current distribution, system’s equivalent impedance, and their influencing factors were theoretically analyzed. Finally, a simulation analysis was conducted on the voltage distribution of the traction network, the power distribution of traction substations under different operating conditions, and the transmission characteristics of no-load circulating current. The results show that during light-load operation, using the cable approach for the continuous high-voltage transmission network leads to a significant increase in the terminal voltage of the line. Trains with regenerative braking contribute to the improvement of catenary voltage levels and the efficient utilization of regenerative energy. Under no-load conditions, keeping the actual transformation ratio of each traction transformer consistent and reducing the length of the continuous high-voltage transmission network effectively reduce the no-load circulating current.

Overall Reliability Analysis of Transmission Towers with Asymmetrical Legs Based on Sample Moment and Maximum Entropy Method
WANG Cheng, WANG Tao, HUANG Xing, LIU Xiangyun, LI Zhengliang, LIU Chang
2025, 60(5): 1315-1324. doi: 10.3969/j.issn.0258-2724.20230105
Abstract:

To accurately assess the overall safety of transmission towers with asymmetrical legs, a refined numerical model for a transmission tower with asymmetrical legs was established based on a 500 kV transmission line project. Based on the Technical Specification for the Design of Steel Supporting Structures of Overhead Transmission Line (DL/T 5486—2020) and numerical results, functional expressions for different failure modes of the transmission tower with asymmetrical legs were derived, and these were equivalently described using the principle of equivalent extreme value events. Subsequently, random sample points were generated based on the low discrepancy sequence method, and the sample responses were calculated to obtain statistical moments of the equivalent functional expressions. Finally, the overall reliability index of the transmission tower with asymmetrical legs was calculated using the improved maximum entropy method. The results show that the relative error and computational cost of the overall reliability index of the transmission tower with asymmetrical legs obtained by this method are 0.46% and 0.05%, respectively, compared with the Monte Carlo simulation (MCS) method. The reliability index derived from a single failure mode is lower than the overall reliability index of the transmission tower with asymmetrical legs, suggesting that the latter is more accurate for the safety assessment of transmission towers with asymmetrical legs. Moreover, there is an inverse relationship between the difference in tower leg lengths and the overall reliability index of the transmission tower with asymmetrical legs. Specifically, the overall reliability index of a transmission tower with a 16-meter leg length difference is 15.72% lower than that of a transmission tower with equal-length legs. Therefore, it is recommended to avoid excessive leg length differences during the design phase.

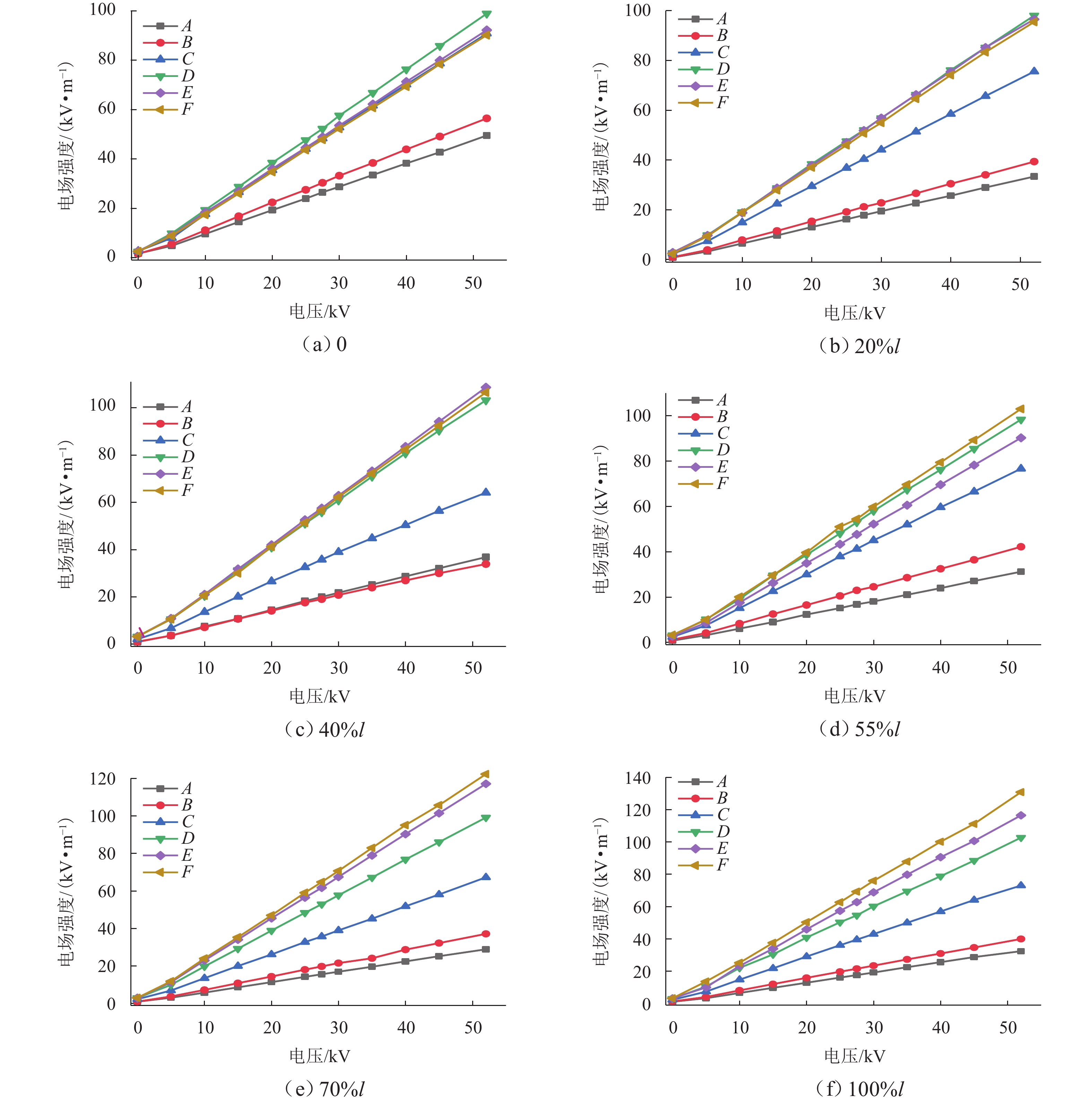
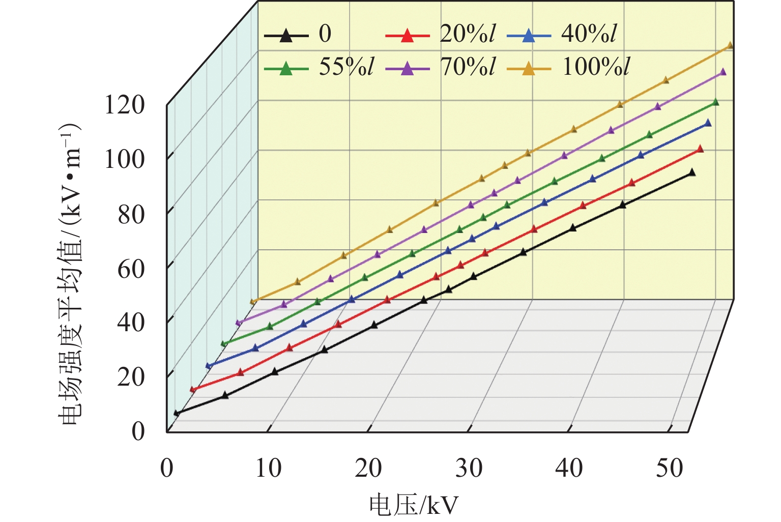
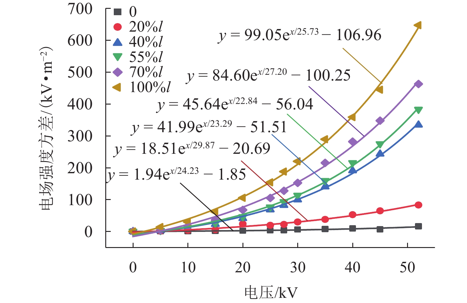
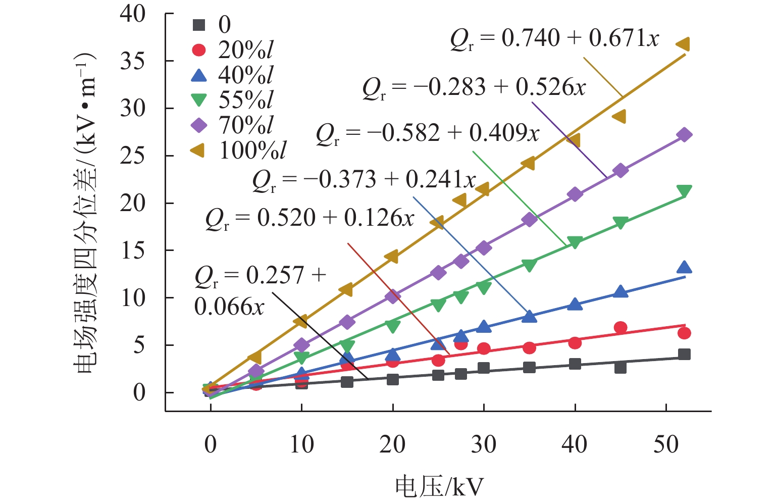
Detection of Air Gap Defects in Cable Terminals of Electric Multiple Units Based on Electric Field Characteristics
TANG Yujing, GAO Guoqiang, XU Yuqi, XIN Dongli, LIU Kai, CHEN Kui, WU Guangning
2025, 60(5): 1325-1332. doi: 10.3969/j.issn.0258-2724.20230244
Abstract:

The existing detection methods for the insulation of cable terminals of electric multiple units (EMUs) are complex and susceptible to onsite noise interference, and they thus have low detection efficiency. Therefore, a novel method for detecting the insulation condition of cable terminals based on electric field intensity was proposed. Firstly, cable terminals of EMUs with prefabricated air gap defects of different lengths were prepared. Secondly, high frequency current transform (HFCT) signals of the prefabricated air gap defects in the cable terminal samples were obtained. Finally, electric field intensity values of cable terminals with different defect lengths were measured by using electric field sensors. The research results show that by analyzing the peak value of HFCT signals and the electric field intensity characteristics of cable terminals with defects, the development of defects in cable terminals can be divided into three stages: S1, S2, and S3. As the defect size increases, the interquartile range, mean value, variance, and coefficient of variation of the electric field intensity along the surface of the cable terminals increase. When the interface defect increases from 20%l to 100%l (l refers to the length of the stress control tube in the first layer inside the high-voltage cable terminal), the slope of the interquartile range of electric field intensity increases from 0.126 to 0.671, and the variance of electric field intensity increases by approximately 81.30% for the pre-exponential factor and 80.66% for the absolute value of the offset.