• ISSN 0258-2724
  • CN 51-1277/U
  • EI Compendex
  • Scopus 收录
  • 全国中文核心期刊
  • 中国科技论文统计源期刊
  • 中国科学引文数据库来源期刊

考虑风速纵、横分量的列车气动载荷变化特性

于梦阁 李美香 刘加利 戴志远

于梦阁, 李美香, 刘加利, 戴志远. 考虑风速纵、横分量的列车气动载荷变化特性[J]. 西南交通大学学报, 2024, 59(1): 39-45. doi: 10.3969/j.issn.0258-2724.20220150
引用本文: 于梦阁, 李美香, 刘加利, 戴志远. 考虑风速纵、横分量的列车气动载荷变化特性[J]. 西南交通大学学报, 2024, 59(1): 39-45. doi: 10.3969/j.issn.0258-2724.20220150
YU Mengge, LI Meixiang, LIU Jiali, DAI Zhiyuan. Aerodynamic Load Characteristics of Trains Exposed to Wind Velocity with Longitudinal and Lateral Components[J]. Journal of Southwest Jiaotong University, 2024, 59(1): 39-45. doi: 10.3969/j.issn.0258-2724.20220150
Citation: YU Mengge, LI Meixiang, LIU Jiali, DAI Zhiyuan. Aerodynamic Load Characteristics of Trains Exposed to Wind Velocity with Longitudinal and Lateral Components[J]. Journal of Southwest Jiaotong University, 2024, 59(1): 39-45. doi: 10.3969/j.issn.0258-2724.20220150

考虑风速纵、横分量的列车气动载荷变化特性

doi: 10.3969/j.issn.0258-2724.20220150
基金项目: 国家自然科学基金(51705267);中国博士后科学基金(2018M630750);山东省自然科学基金(ZR2022ME180)
详细信息
    作者简介:

    于梦阁(1985—),女,副教授,博士,研究方向为列车空气动力学,E-mail:yumengge0627@163.com

    通讯作者:

    刘加利(1985—),男,教授级高级工程师,博士,研究方向为列车空气动力学,E-mail:liujiali0612@163.com

  • 中图分类号: U270.1

Aerodynamic Load Characteristics of Trains Exposed to Wind Velocity with Longitudinal and Lateral Components

  • 摘要:

    为探索侧向环境风作用下列车气动载荷变化特性,对任意风向角下随车移动点处的风速纵、横分量进行建模,研究考虑风速纵、横分量的列车气动载荷计算方法,并分析在列车速度200~400 km/h、平均风速10~35 m/s及风向角30°~150° 时的列车气动载荷特性. 研究发现:在不同风向角下,考虑风速横向分量后,高速列车气动载荷波动变大,作用于列车上的瞬时气动载荷极值增大;风速横向分量主要影响列车气动载荷的标准差,且影响程度与风向角有关;随着风向角接近临界风向角,风速横向分量对列车气动载荷标准差的影响逐渐变小,随着风向角远离临界风向角,风速横向分量对列车气动载荷标准差的影响逐渐变大;列车气动载荷的标准差/均值主要与侧偏角有关,且在风向角为30° 及150° 时较大,其次是风向角60° 和120°,而在风向角90° 时则较小.

     

  • 图 1  随机风模拟坐标系

    Figure 1.  Coordinate system of stochastic wind simulation

    图 2  速度矢量

    Figure 2.  Velocity vector

    图 3  速度矢量分解及合成

    Figure 3.  Decomposition and synthesis of velocity vectors

    图 4  气动载荷系数

    Figure 4.  Aerodynamic load coefficients

    图 5  模拟的随机风速无量纲功率谱与目标谱对比

    Figure 5.  Comparison of simulated stochastic wind velocity dimensionless power spectrum with target spectrum

    图 6  列车侧力

    Figure 6.  Side force of the train

    图 7  侧力的均值及标准差随风向角的变化

    Figure 7.  Change of mean value and standard deviation of side force with wind angle

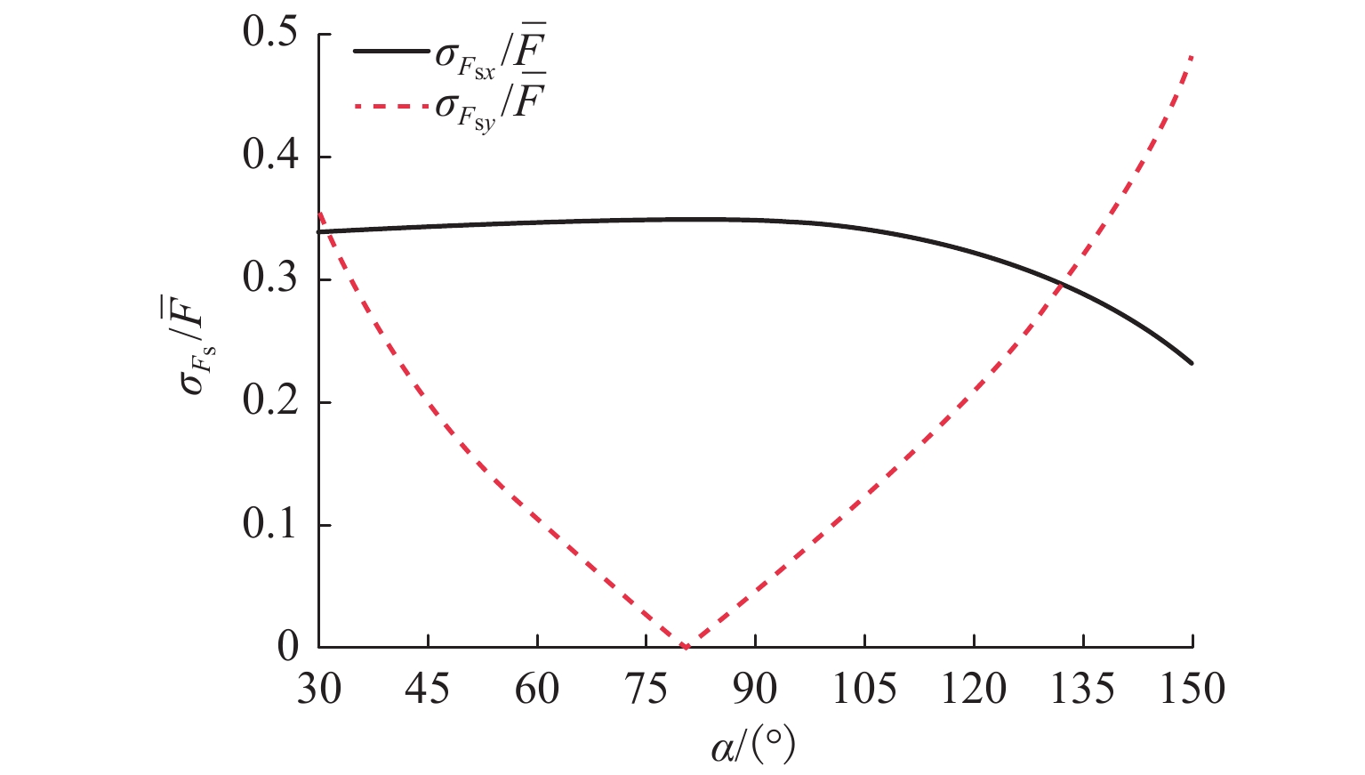
    图 8  侧力标准差/均值随风向角的变化

    Figure 8.  Variation of ratio of standard deviation to mean value of side force with wind angle

    图 9  侧力标准差/均值随侧偏角的变化

    Figure 9.  Change of ratio of standard deviation to mean value of side force with yaw angle

  • [1] LI T, DAI Z Y, YU M G, et al. Numerical investigation on the aerodynamic resistances of double-unit trains with different gap lengths[J]. Engineering Applications of Computational Fluid Mechanics, 2021, 15(1): 549-560. doi: 10.1080/19942060.2021.1895321
    [2] 何佳骏,向活跃,龙俊廷,等. 桥隧过渡段高速列车行车抗风安全分析[J]. 西南交通大学学报,2021,56(5): 1056-1064.

    HE Jiajun, XIANG Huoyue, LONG Junting, et al. Wind-resistant safety analysis of high-speed trains in bridge-tunnel transition section[J]. Journal of Southwest Jiaotong University, 2021, 56(5): 1056-1064.
    [3] 王政,李田,张继业. 不同类型横风下高速列车气动性能研究[J]. 机械工程学报,2018,54(4): 203-211. doi: 10.3901/JME.2018.04.203

    WANG Zheng, LI Tian, ZHANG Jiye. Research on aerodynamic performance of high-speed train subjected to different types of crosswind[J]. Journal of Mechanical Engineering, 2018, 54(4): 203-211. doi: 10.3901/JME.2018.04.203
    [4] GUO Z J, LIU T H, CHEN Z W, et al. Aerodynamic influences of bogie’s geometric complexity on high-speed trains under crosswind[J]. Journal of Wind Engineering and Industrial Aerodynamics, 2020, 196: 104053.1-104053.12.
    [5] BAKER C J, STERLING M. The calculation of train stability in tornado winds[J]. Journal of Wind Engineering and Industrial Aerodynamics, 2018, 176: 158-165. doi: 10.1016/j.jweia.2018.03.022
    [6] LIU D R, MARITA TOMASINI G, ROCCHI D, et al. Correlation of car-body vibration and train overturning under strong wind conditions[J]. Mechanical Systems and Signal Processing, 2020, 142: 106743.1-106743.18.
    [7] LI T, QIN D, ZHANG J Y. Effect of RANS turbulence model on aerodynamic behavior of trains in crosswind[J]. Chinese Journal of Mechanical Engineering, 2019, 32: 85.1-85.12. doi: 10.1186/s10033-019-0402-2
    [8] KRAJNOVIĆ S, RINGQVIST P, NAKADE K, et al. Large eddy simulation of the flow around a simplified train moving through a crosswind flow[J]. Journal of Wind Engineering and Industrial Aerodynamics, 2012, 110: 86-99. doi: 10.1016/j.jweia.2012.07.001
    [9] CHELI F, RIPAMONTI F, ROCCHI D, et al. Aerodynamic behaviour investigation of the new EMUV250 train to cross wind[J]. Journal of Wind Engineering and Industrial Aerodynamics, 2010, 98(4/5): 189-201.
    [10] NETO J, MONTENEGRO P A, VALE C, et al. Evaluation of the train running safety under crosswinds - a numerical study on the influence of the wind speed and orientation considering the normative Chinese Hat Model[J]. International Journal of Rail Transportation, 2021, 9(3): 204-231. doi: 10.1080/23248378.2020.1780965
    [11] MONTENEGRO P A, HELENO R, CARVALHO H, et al. A comparative study on the running safety of trains subjected to crosswinds simulated with different wind models[J]. Journal of Wind Engineering and Industrial Aerodynamics, 2020, 207: 104398.1-104398.15.
    [12] 曹亚博,凌亮,邓永权,等. 强阵风环境下高速列车运行安全性研究[J]. 机械工程学报,2013,49(18): 30-37. doi: 10.3901/JME.2013.18.030

    CAO Yabo, LING Liang, DENG Yongquan, et al. Study on running safety of high-speed train under gust[J]. Journal of Mechanical Engineering, 2013, 49(18): 30-37. doi: 10.3901/JME.2013.18.030
    [13] BAKER C J. The simulation of unsteady aerodynamic cross wind forces on trains[J]. Journal of Wind Engineering and Industrial Aerodynamics, 2010, 98(2): 88-99. doi: 10.1016/j.jweia.2009.09.006
    [14] YU M G, JIANG R C, ZHANG Q, et al. Crosswind stability evaluation of high-speed train using different wind models[J]. Chinese Journal of Mechanical Engineering, 2019, 32: 40.1-40.13. doi: 10.1186/s10033-018-0313-7
    [15] TOMASINI G, CHELI F. Admittance function to evaluate aerodynamic loads on vehicles: experimental data and numerical model[J]. Journal of Fluids and Structures, 2013, 38: 92-106. doi: 10.1016/j.jfluidstructs.2012.12.009
    [16] XU Y L, DING Q S. Interaction of railway vehicles with track in cross-winds[J]. Journal of Fluids and Structures, 2006, 22(3): 295-314. doi: 10.1016/j.jfluidstructs.2005.11.003
    [17] CHELI F, CORRADI R, TOMASINI G. Crosswind action on rail vehicles: a methodology for the estimation of the characteristic wind curves[J]. Journal of Wind Engineering and Industrial Aerodynamics, 2012, 104/105/106: 248-255.
    [18] COOPER R K. Atmospheric turbulence with respect to moving ground vehicles[J]. Journal of Wind Engineering and Industrial Aerodynamics, 1984, 17(2): 215-238. doi: 10.1016/0167-6105(84)90057-6
    [19] BAKER C. A framework for the consideration of the effects of crosswinds on trains[J]. Journal of Wind Engineering and Industrial Aerodynamics, 2013, 123: 130-142. doi: 10.1016/j.jweia.2013.09.015
    [20] 于梦阁,张骞,刘加利,等. 随机风环境下高速列车运行安全评估研究[J]. 机械工程学报,2018,54(4): 245-254. doi: 10.3901/JME.2018.04.245

    YU Mengge, ZHANG Qian, LIU Jiali, et al. Study on the operational safety evaluation of the high-speed train exposed to stochastic winds[J]. Journal of Mechanical Engineering, 2018, 54(4): 245-254. doi: 10.3901/JME.2018.04.245
    [21] 于梦阁,刘大维,张继业,等. 二维随机风下高速列车非定常气动载荷研究[J]. 机械工程学报,2016,52(6): 108-115. doi: 10.3901/JME.2016.06.108

    YU Mengge, LIU Dawei, ZHANG Jiye, et al. Study on the unsteady aerodynamic loads of high-speed trains exposed to two-dimensional stochastic winds[J]. Journal of Mechanical Engineering, 2016, 52(6): 108-115. doi: 10.3901/JME.2016.06.108
    [22] YU M G, ZHANG J Y, ZHANG K Y, et al. Study on the operational safety of high-speed trains exposed to stochastic winds[J]. Acta Mechanica Sinica, 2014, 30(3): 351-360. doi: 10.1007/s10409-014-0004-2
    [23] British Standards Institution. Railway applications—aerodynamics part 6: requirements and test procedures for cross wind assessment: BS EN 14067-6[S]. Brussels: BSI, 2018.
    [24] 于梦阁,张继业,张卫华. 随机风作用下高速列车的非定常气动载荷[J]. 机械工程学报,2012,48(20): 116-123.

    YU Mengge, ZHANG Jiye, ZHANG Weihua. Unsteady aerodynamic loads of high-speed trains under stochastic winds[J]. Journal of Mechanical Engineering, 2012, 48(20): 116-123.
  • 加载中
图(9)
计量
  • 文章访问数:  668
  • HTML全文浏览量:  266
  • PDF下载量:  55
  • 被引次数: 0
出版历程
  • 收稿日期:  2022-03-08
  • 修回日期:  2022-09-16
  • 网络出版日期:  2023-11-21
  • 刊出日期:  2022-09-20

目录

    /

    返回文章
    返回