Evaluation of Vehicle Road Impact Sound Quality Based on Time-Frequency Perception Weighting
-
摘要:
为表征与量化人对路面冲击声的主观感受,首先,对减速带工况冲击非平稳噪声信号进行声时感知时长定义,同时根据人耳听声可辨性将声时历程分为冲击段、峰值段及衰减段;进而,以小波变换提取冲击噪声中的主冲击与多重微冲击特征信息,组成冲击声品质评价的基础特征阵;然后,类比峰值因子法定义频域滤波因子,并基于序关系分析法确定时变感知加权系数,组建时频滤波网络对基础特征阵加权且建立冲击声品质时频感知评价指标;最后,基于实车过减速带冲击噪声测试数据计算声品质指标,并进行对比验证. 研究结果表明:所提时频感知加权评价指标与主观评价的相关系数在车速20 km/h时为0.927,在车速30 km/h时为0.922;在考虑路面冲击声声时历程全程评价时,经典的声品质评价指标(特征频带时变响度)与主观评价的相关系数在车速20 km/h时为0.933,在车速30 km/h时为0.649;所提时频感知加权评价方法对于车速为20 km/h与30 km/h的情况具有较好的适用性.
Abstract:In order to characterize and quantify a person’s subjective perception of road impact sound, firstly, the acoustic time perception duration of the impact non-stationary noise signal of the speed bump condition was defined, and the acoustic time history was divided into the impact section, the peak section and the attenuation section according to the discernibility of the human ear. The main impact and multiple micro-impact feature information of the impact noise were extracted by the wavelet transforms, and the feature information was used to form the basic feature matrix for impact sound quality evaluation. Then, the frequency domain filter factor was defined by referring to the crest factor method, and the time-varying perceptual weighting coefficient was determined based on the sequence relation analysis method, and the time-frequency filter network was established to weight the basic feature matrix and establish the impact sound quality evaluation index. Finally, based on the test data of the impact noise of the actual vehicle driving through the speed bump, the sound quality index was calculated, and comparative verification was carried out. The results show that the correlation coefficient between the proposed time-frequency perception weighted evaluation index and subjective evaluation is 0.927 at 20 km/h and 0.922 at 30 km/h. When considering the road impact acoustic time history evaluation, the correlation coefficient between the classic sound quality evaluation index(characteristic frequency band time-varying loudness) and subjective evaluation is 0.933 at 20 km/h and 0.649 at 30 km/h. The proposed time-frequency perception weighted evaluation method has good applicability for the conditions of 20 km/h and 30 km/h.
-
车内声品质是在特定的技术目标或任务下对声音适宜性的描述,强调人耳的听觉感知和主观判断. 车内声环境因行车工况的复杂性而夹杂着各类稳态及非稳态的噪声,其中非稳态噪声对车内声体验品质的影响更为突出,尤其是瞬态强冲击噪声,例如发生于车辆通过颠簸路面或减速带等工况下的噪声. 冲击噪声是一个时变过程,从噪声的产生到衰减都与声体验感息息相关,整个声时历程变化都容易被人主观感知.
仅以计权声压级作为声品质的量化指标,不能完全反映人对噪声的主观感受. 为了科学客观地表征与量化人对噪声的主观感受,研究者提出了众多的声品质评价方法,其评价指标大体可归为两类:
一是心理声学客观指标,包括响度、尖锐度、粗糙度及抖动度等,其中响度是声强感知或心理印象,经历了从稳态模型到时变模型的发展[1-2],熟知的有Stevens模型、Zwicker模型及Moore模型等[3-7],计算过程综合考虑了噪声能量大小、时间、频率及人耳听觉机理. 其中时变响度模型因考虑时域掩蔽效应,增强了特征响度时频分析的精细度,进而广泛应用于非稳态噪声声源分析,但作为量化评价方法时,其对于非平稳大冲击的适用性仍有待验证[8].
二是数值客观特征指标,如引入非线性分形理论[9]、小波变换[10-11]、经验模态分解(empirical mode decomposition, EMD)、Teager-Kaiser能量算子及集合经验模态分解(ensemble empirical mode decomposition, EEMD)等方法[12-13],对噪声信号进行分解重构,提取噪声特征并构造声品质评价指标,主要以分形维数差、信号能量数值和、能量熵或小波熵表征与主观评价的关联. 但在其指标构建过程中,须合理界定声时感知时长,并确定时域及(或)频域感知的细分权重,以更准确反映人的听觉感知特性. 需与具体的噪声声时历程相匹配,目前尚没有通用的规范与准则,相关研究有待进一步深化.
冲击噪声属于典型的非稳态信号,是一种幅值变化快的宽带噪声,包含多重间隔性的细微突变过程(微冲击). 如车辆过减速带工况,当车轮受到大幅值强迫位移激励:一方面车轮剧烈跳动将振动通过悬架系统传递到车身系统,引发车内的“一次峰值冲击”与“二次衰减余振”,进而激发车内的峰值噪声与振颤噪声等;另一方面,车轮接触减速带与跨过减速带落地的瞬间,因撞击路面而产生噪声,通过空气路径也传到车内. 总体上,当车辆前后轴经过减速带时,会引发车内噪声的两次瞬时突变,即主冲击,并包含多重微冲击,每次主冲击均经历噪声的产生到峰值再到衰减的过程. 此过程中的微冲击变化容易被人主观感知,且经大量主观评价实践证明,其中冲击强度与衰减振荡历程对人的声振体验影响较大[14].
基于此,以车辆通过减速带为典型工况,通过合理定义冲击噪声声时感知时长及时变感知权重,提出了一种既能反映多重微冲击特征,也能准确表征冲击全程人的时变感知特征的冲击声品质评价方法.
1. 路面冲击声品质评价方法
人对噪声的主观感受不仅取决于噪声的峰值与平均强度,更与噪声信号的时频结构密切相关. 时频结构作为信号中最主要的可辨识信息载体,合理地构建时频滤波网络以增强此种内含的可辨识性,则可有效地量化区分声品质的优劣. 为更准确地反映人的感知特性,在构建此时频滤波网络需匹配于具体的噪声声时历程,既要细化噪声信号的基础特征,也要融合声时全程人的主观感受偏好性. 操作中为便于工程应用选择常用的小波分析进行时频结构信息的提取,并选择能够方便融入人的主观经验重要程度的序关系法以确定时频滤波网络的权重系数.
1.1 路面冲击声特性与指标构建
路面冲击噪声评价指标的构建需解决的首要问题是精细剖析车辆冲击噪声的时频结构以提取冲击噪声基础特征. 进而,结合人对具体冲击噪声的认知及经验等因素建立面向人体主观感知的客观量化评价,需以声时感知时长界定为前提,并与冲击噪声的声时历程相匹配.
以车辆匀速过减速带历程为例,其声时感知时长需涵盖冲击噪声从产生到衰减的全过程. 车辆驶过减速带的距离一般是相对固定的,故行车速度越快,声时感知时长越短,冲击能量越集中,对量化评价方法的分辨性要求越严苛. 因此,对于冲击噪声的基础特征提取,既要完整保留主冲击与多重微冲击特性,又要保证良好的可区分度,故选择在时频域均能表征信号细微特征的小波变换方法,以对冲击信号进行较完备的数学描述. 进而,根据人对冲击噪声变化历程的感知性,将冲击噪声在声时感知时长区间内分为冲击段(S)、峰值段(M)、衰减段(D),并基于序关系分析法结合人的主观感受偏好性以客观量化时变感知权重.
为此,提出如图1所示的指标构建方法及流程. 其中:SV(t)为噪声信号,t为时间;TV为时域长度;STV(t)为前轴过减速带的声时历程数据;Dmn为微冲击基础特征阵;|Dmn(A)|2为计权二次特征阵;Fw为频域滤波函数;ωj为时变感知加权系数;STF为冲击声品质评价指标.
首先,对前轴过减速带冲击噪声的声时感知时长进行界定,并对冲击噪声信号进行滤波去噪等预处理. 接着,以小波变换获取系数阵表征微冲击基础特征信息;并以A计权模拟人耳对声音的响应特性,对基础特征阵进行计权滤波与二次转换得计权二次特征阵. 进一步,为综合表征冲击全程人的时频感知特征,以峰值因子类比法构建分时频率因子,同时基于序关系分析法界定声时历程分段时变感知加权系数,并结合二者组成时频滤波网络. 最后,对A计权二次系数特征阵进行加权滤波,经线性叠加求和计算得到冲击声品质评价指标.
1.2 路面冲击声品质评价步骤
路面冲击声品质评价指标计算步骤如下:
步骤1 感知时长界定
车辆匀速通过减速带时,定义前轴路面冲击声时历程为前轮接触减速带时刻为计时起点,后轮接触减速带为计时终点,定义感知时长为人耳对声音最小分辨时长的整数倍,如式(1).
TV=(round(3.6LVtHAS)+1)tHAS, (1) 式中:L为被测车辆轴距, mm;V为工况车速,km/h;round(·)为取整函数;tHAS为人耳对声音的最小分辨时长,此处取为20 ms.
在车辆过减速带工况冲击噪声的主观评价过程中,噪声信号对应的冲击段(S)、峰值段(M)、衰减段(D)的时长均为tHAS的整数倍,可以表示为
{tS=tHAS×round(TpeaktHAS),tM=tHAS×round((TV−Tpeak)ratHAS),tD=tHAS×round((TV−Tpeak)(1−ra)tHAS), (2) 式中:tS、tM、tD分别为冲击段、峰值段、衰减段的时长,ms;Tpeak为冲击噪声声时历程内峰值所对应时刻,ms;ra为分段系数,此处取为0.4.
步骤2 冲击噪声预处理
通过高通滤波器将前轴过减速带的声时历程数据STV(t)去除20 Hz以下的次声信号,并运用小波阈值去噪[15],为使去噪重构信号保持良好的光滑性,选择软阈值,阈值设置为sqrt(2log(length(STV(t))).
步骤3 基础特征提取
小波是基本小波或母小波Ψ(t)通过伸缩和平移产生的一个函数族[16],如式(3).
Ψa,b(t)=a−1/2Ψ(t−ba), (3) 式中:a为尺度因子,当a<1时,波形收缩,当a>1,则波形伸展,a−1/2可保证在不同的a值下,小波伸缩过程中保持相等的能量;b为时移因子.
平方可积信号x(t)的小波变换为
Wx(a,b)=a−1/2∫x(t)Ψ(t−ba)dt=⟨x(t),Ψa,b(t)⟩. (4) 根据能量和波形相似性原则,选择紧支集正交小波-Daubechies基函数对路面冲击噪声信号进行小波变换,得到m × n小波系数矩阵Dmn(
A)作为基础特征阵. 步骤4 特征阵转换
先基于A计权模拟人耳对声音的响应特性得Dmn(A),再将计权后的小波系数矩阵Dmn(A)转换为计权二次特征阵|Dmn(A)|2.
步骤5 频域因子定义
按各时刻点的频域分别构建频域加权因子,类比峰值因子的定义方式(峰值/有效值),为强化计权二次特征值,定义频域滤波函数Fw为
Fw=Dmn(A)RMS(Dmn(A))N, (5) 式中:N为总采样点数;RMS(·)为求有效值函数.
步骤6 时变感知界定
根据序关系分析法确定S、M、D各段的相关加权系数为
ωj=(1+j∑k=2j∏i=kri)−1, (6) 式中:理性赋值rk根据专家经验而定, r2=1.4表示M比D明显重要,r3=1.2表示D比S稍微重要.
由此根据式(6)计算,并按照各阶段时间历程重新排序得S加权系数ω1=0.2577,D加权系数ω2=0.4430,M加权系数ω3=0.309 3.
步骤7 时频感知加权
将计权二次特征阵经时频滤波网络加权后,线性叠加得冲击声品质评价指标STF,如式(7),其数值越大,冲击声感受越差.
STF=3∑j=1mj+Δmj∑x=mjnj+Δnj∑y=njωjFw(x,y)|Dmn(A)(x,y)|2, (7) 式中:mj(nj)为S、M、D各段的时(频)数据起始点,j=1,2,3;Δmj(Δnj)为S、M、D各段的时(频)数据取值范围,其由各段的时频域范围决定.
2. 试验研究
2.1 信号采集与指标计算
为开展车辆前轴过减速带工况车内噪声的评价,以紧凑型SUV为研究对象,综合考虑减速带限速范围与常用过减速带行车速度,设置车速为20、30 km/h两种匀速情况. 减速带与声压测点布置如图2所示,主客观评价过程中关窗、关空调、天气晴无风,车上人员包括驾驶员、二排左侧测试员.
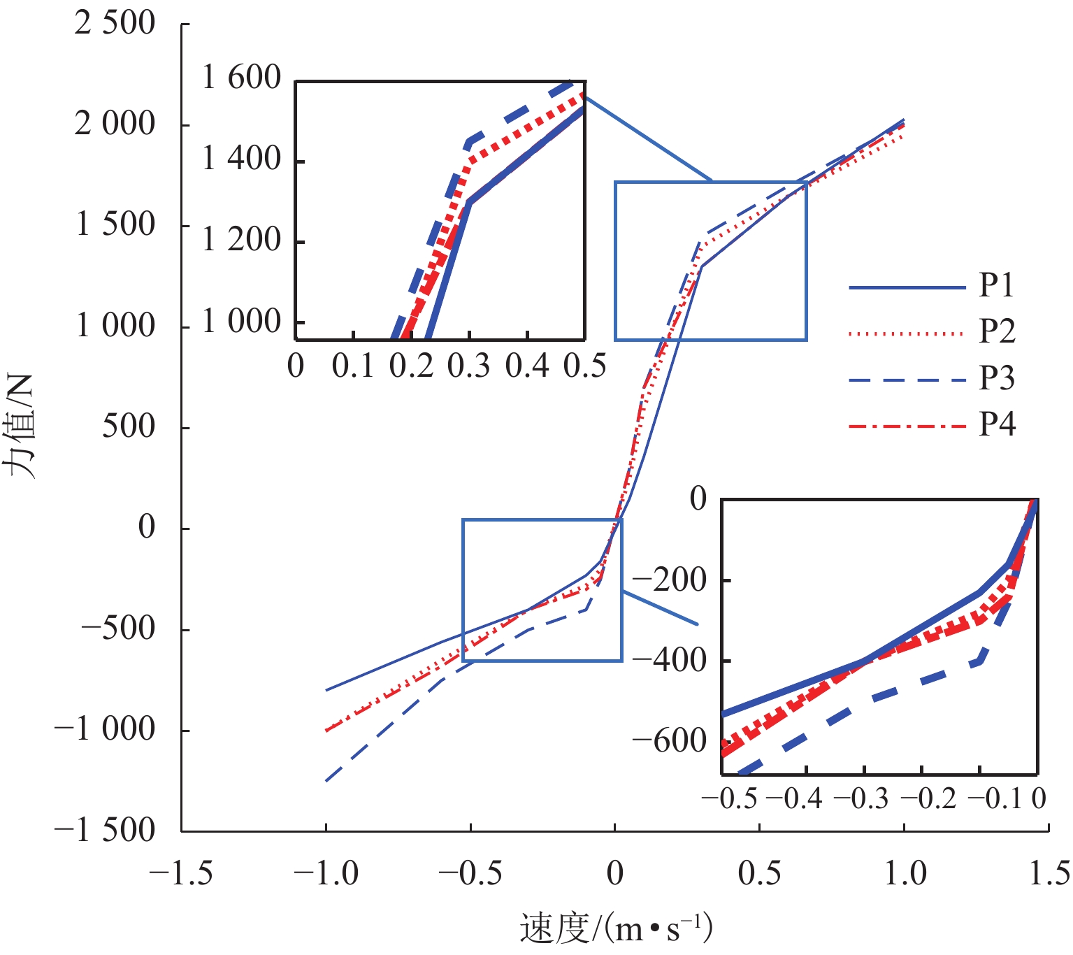
主观评价采用等级评分法,详见表1,基于不同人对于噪声的主观感受“舒适”的描述差异大于“不舒适”的描述,定义主观评价等级为“没有不舒适”到“极不舒适”,并以数值1~10分对应不舒适的程度(0.5分为1个刻度),数值越大则表示不舒适程度越高,也即主观感受越差. 客观数据采样率12800 Hz,频率分辨率1 Hz,采样时间10 s. 通过对比测试,改变车辆的减振器阻尼及动力总成悬置刚度等进行单因素变化试验(以减振器阻尼中的4个因素水平(P1、P2、P3、P4)为例,如图3),共完成30组试验,并按照第1节所述方法进行信号处理与指标计算,如表2. 主观评分由评价者各自评分后求算术平均值,参评12人次,男女比例5∶1,平均年龄约30岁. 评分结果指向增加减振器中低速复原压缩阻尼或增加动力总成悬置刚度能改善冲击声振感受,与行业内工程应用共识吻合.
表 1 路面冲击声品质主观评价等级评分定义Table 1. Definition of subjective evaluation grade of road impact sound quality评价等级 没有不
舒适略微不
舒适不舒适 明显不
舒适极不舒适 评分 1~2 3~4 5 6~8 9~10 2.2 指标评价与分析
将表2中30组STF值做归一化处理后与主观评分做Spearman秩相关分析得相关系数与置信水平,如图4、表3. 由于样本数小于等于30,其置信水平通过查“Spearman秩相关系数检验临界值表”而得[17]. 匀速20、30 km/h时,在置信水平为0.99的情况下相关系数均达0.920以上,说明了此评价方法与主观感受的高吻合度,验证了方法的可行性.
表 2 路面冲击声品质指标Table 2. Road impact sound quality indicators试验编号 车速/
(km·h−1)TV/ms TS/ms TM/ms TD/ms STF/ 主观评分 Test1 20 500 100 160 240 6.81 3.87 Test2 20 500 100 160 240 4.66 3.62 Test3 20 500 100 160 240 6.75 4.37 Test4 20 500 100 160 240 24.17 5.50 Test5 20 500 100 160 240 39.19 5.62 Test6 20 500 100 160 240 18.61 5.37 ⋮ ⋮ ⋮ ⋮ ⋮ ⋮ ⋮ ⋮ Test27 30 340 80 100 160 45.54 5.75 Test28 30 340 80 100 160 42.31 5.75 Test29 30 340 80 100 160 41.46 5.62 Test30 30 340 80 100 160 39.41 5.37 表 3 STF相关分析统计Table 3. The correlation analysis statistics of STF指标 编号 车速/(km·h−1) 相关系数 置信水平 STF 5 20 0.927 0.99 30 0.922 0.99 基于表2中统计数据,以Test2(主观感受较好)与Test5(主观感受较差)为例,按照第1.2节所述指标评价步骤,对比其冲击声时历程、冲击段S、峰值段M及衰减段D的信号数据,见图5,可见,Test5相较于Test2微冲击的频次更高,尤其在M与D段,此微冲击的频次差异可用于区分路面冲击声品质的优劣,佐证了方法提出与指标评价步骤中对S、M、D段时变感知界定的合理性. 其冲击声品质指标计权二次特征阵分布如图6所示,将其微冲击按时频维度展开后,可更明显地表征其间差异特征,有利于路面冲击声品质优劣的量化评价.
3. 对比分析
为了进一步验明所提方法的优越性,以目前最为典型的Zwicker时变响度[3-4]与Moore时变响度[5-7]作指标对比分析. 两者都是以模拟人耳听觉机理为基础,并基于激励模式的多频带计算方法,区别主要在于特征频带尺度/级数、人耳传递特性定义方式及人耳频域掩蔽响应模拟方式等,见表4.
表 4 时变响度模型主要区别Table 4. Main difference of the time-varying loudness model类别 尺度/级数 传递特性 频域掩蔽 时域掩蔽 Zwicker 时变响度 Bark [0~24] 外耳与中耳综合考虑 图表法 单一时间常量 Moore 时变响度 ERB [1.8~38.9] 外耳与中耳独立考虑 机理数学模型 多时间常量 Zwicker时变响度在稳态响度仅考虑频域掩蔽效应的基础上复合时域掩蔽效率(时域后掩蔽),以2 ms为时间步长计算特征响度. 其中将人耳可听声频率范围20~16 kHz划分为24个特征频带(critical band),每个特征频带成为1个Bark. 详细流程见文献[3]. 在特征响度的基础上定义Zwicker时域响度与时域总响度,如式(8).
{Nbark(t)=∫240N′bark(z)(t)dz,NmaxZwicker=max (8) 式中:
N'_{{\rm{bark }}} (z)(t)为Zwicker特征响度;Nbark(t)为Zwicker时域主响度,t∈[0, TV];NmaxZwicker为Zwicker时域响度; NZwicker为Zwicker时域总响度.Moore时变响度模型考虑时域掩蔽和频域掩蔽效应,以等效矩形带宽(equivalent rectangular bandwidth ,ERB)级数来近似特征频带,相比于Zwicekr响度的分辨率更高,其计算流程详见文献[5-7]. 在特征响度的基础上定义Moore时域响度与时域总响度,如式(9).
\left\{ { \begin{array}{l} N_{ {{\rm{Moore}} }}(t)= \displaystyle\int_{1.8}^{38.9} N'_{{\rm{Moore}} }{ }({\textit{z}})(t) / 10 {\rm{d}} {\textit{z}}, \\ N_{ {{\rm{maxMoore}} }} =\max N_{ {{\rm{Moore}} }}(t),\\ N_{ {{\rm{Moore}} }} =\displaystyle\int N_{ {{\rm{Moore}} }}(t) {\rm{d}} t, \end{array} } \right. (9) 式中:
N'_{{\rm{Moore}} } (z)(t)为Moore特征响度;NMoore(t)为Moore时域主响度;NmaxMoore为Moore时域响度; NMoore为Moore时域总响度.将2.1节冲击噪声信号时域数据代入计算Zwicker、Moore时域响度与时域总响度,并将各指标做归一化处理后与主观评分做Spearman秩相关分析,如图7、表5. 结合表3、5分析可得:对车速20 km/h,指标2、4、5在相同置信水平0.99时相关系数接近,且指标2(0.933)略优于指标5(0.927),可说明基于特征频带的时变响度在其适用范围内,其精细程度是较高的,且在此适用范围内指标2、4、5优于指标1、3,说明能表征减速带工况声体验的变化全程的指标优于时域主响度的最大值量化的单值指标;但对车速30 km/h,指标5置信水平(0.99)明显优于指标1~4置信水平(0.95),且指标5的相关系数也明显优于指标1~4;最后,综合车速20 km/h与30 km/h两种情况,从置信水平、适用性及相关性来看,指标5更适用于评价车辆路面冲击声品质.
表 5 时变响度模型相关分析统计Table 5. Correlation analysis statistics of time-varying loudness method指标 编号 车速/(km·h−1) 相关系数 置信水平 NmaxZwicker 1 20 0.732 0.99 30 0.587 0.95 NZwicker 2 20 0.933 0.99 30 0.583 0.95 NmaxMoore 3 20 0.866 0.99 30 0.649 0.95 NMoore 4 20 0.926 0.99 30 0.168 4. 结 论
1) 面向车辆路面冲击声品质评价需求构建了一种将数值特征提取与时变感知结合的新评价方法,并细化了评价指标的量化实施步骤.
2) 以实车主客观试验数据为基础,计算时频感知加权评价指标,并将其与主观评分进行秩相关分析得到,置信水平为0.99时相关系数达0.920以上,说明了评价指标与主观评分的高吻合度,验证了评价方法的可行性.
3) 将所提时频感知加权评价指标与经典Zwicker、Moore时变响度评价方法做对比分析,指出Zwicker、Moore时变响度模型在考虑路面冲击声声时历程全程评价时,适用于车速20 km/h情况,但不适用于车速30 km/h的情况. 而所提时频感知加权评价方法对于车速20 km/h与30 km/h均具较好的适用性. 综合而言,时频感知加权评价指标用于评价车辆路面冲击声品质具有更好的适用性.
-
表 1 路面冲击声品质主观评价等级评分定义
Table 1. Definition of subjective evaluation grade of road impact sound quality
评价等级 没有不
舒适略微不
舒适不舒适 明显不
舒适极不舒适 评分 1~2 3~4 5 6~8 9~10 表 2 路面冲击声品质指标
Table 2. Road impact sound quality indicators
试验编号 车速/
(km·h−1)TV/ms TS/ms TM/ms TD/ms STF/ 主观评分 Test1 20 500 100 160 240 6.81 3.87 Test2 20 500 100 160 240 4.66 3.62 Test3 20 500 100 160 240 6.75 4.37 Test4 20 500 100 160 240 24.17 5.50 Test5 20 500 100 160 240 39.19 5.62 Test6 20 500 100 160 240 18.61 5.37 \vdots \vdots \vdots \vdots \vdots \vdots \vdots \vdots Test27 30 340 80 100 160 45.54 5.75 Test28 30 340 80 100 160 42.31 5.75 Test29 30 340 80 100 160 41.46 5.62 Test30 30 340 80 100 160 39.41 5.37 表 3 STF相关分析统计
Table 3. The correlation analysis statistics of STF
指标 编号 车速/(km·h−1) 相关系数 置信水平 STF 5 20 0.927 0.99 30 0.922 0.99 表 4 时变响度模型主要区别
Table 4. Main difference of the time-varying loudness model
类别 尺度/级数 传递特性 频域掩蔽 时域掩蔽 Zwicker 时变响度 Bark [0~24] 外耳与中耳综合考虑 图表法 单一时间常量 Moore 时变响度 ERB [1.8~38.9] 外耳与中耳独立考虑 机理数学模型 多时间常量 表 5 时变响度模型相关分析统计
Table 5. Correlation analysis statistics of time-varying loudness method
指标 编号 车速/(km·h−1) 相关系数 置信水平 NmaxZwicker 1 20 0.732 0.99 30 0.587 0.95 NZwicker 2 20 0.933 0.99 30 0.583 0.95 NmaxMoore 3 20 0.866 0.99 30 0.649 0.95 NMoore 4 20 0.926 0.99 30 0.168 -
[1] 徐中明,周小林,张芳,等. Moore响度在车内噪声分析中的应用[J]. 振动与冲击,2013,32(1): 169-173. doi: 10.3969/j.issn.1000-3835.2013.01.035XU Zhongming, ZHOU Xiaolin, ZHANG Fang, et al. Application of Moore loudness in a vehicle interior noise analysis[J]. Journal of Vibration and Shock, 2013, 32(1): 169-173. doi: 10.3969/j.issn.1000-3835.2013.01.035 [2] 韩雪,朴胜春,付金山. 舰船辐射噪声听觉节奏的时变响度特征提取[J]. 哈尔滨工程大学学报,2020,41(4): 487-492. doi: 10.11990/jheu.201904011HAN Xue, PIAO Shengchun, FU Jinshan. Time-varying loudness feature extraction of the audition rhythm of ship radiation noise[J]. Journal of Harbin Engineering University, 2020, 41(4): 487-492. doi: 10.11990/jheu.201904011 [3] The British Standards Institution. Acoustics-methods for calculating loudness part 1 Zwicker method: BS ISO 532-1[S]. [S.l.]: BSI Standards Limited, 2017. [4] 周明刚,董琦飞,刘阳,等. Zwicker时变响度的一种计算方法[J]. 中国机械工程,2014,25(22): 3073-3076. doi: 10.3969/j.issn.1004-132X.2014.22.017ZHOU Minggang, DONG Qifei, LIU Yang, et al. A calculation method of zwicker time-varying loudness[J]. China Mechanical Engineering, 2014, 25(22): 3073-3076. doi: 10.3969/j.issn.1004-132X.2014.22.017 [5] MOORE B C J, GLASBERG B R, VARATHANATHAN A, et al. A loudness model for time-varying sounds incorporating binaural inhibition[J]. Trends in Hearing, 2016, 20: 2331216516682698.1-2331216516682698.16. [6] MOORE B C J, JERVIS M, HARRIES L, et al. Testing and refining a loudness model for time-varying sounds incorporating binaural inhibition[J]. The Journal of the Acoustical Society of America, 2018, 143(3): 1504-1513. doi: 10.1121/1.5027246 [7] The British Standards Institution. Acoustics-methods for calculating loudness part 2 moore-glasberg method: BS ISO 532-2[S]. [S.l.]: BSI Standards Limited, 2017 [8] 张觉慧,张立军,于佳. 汽车时变噪声的响度计算模型适用性分析[J]. 同济大学学报(自然科学版),2010,38(9): 1345-1349. doi: 10.3969/j.issn.0253-374x.2010.09.017ZHANG Juehui, ZHANG Lijun, YU Jia. Applicability of different loudness models to time-varying sound of vehicle[J]. Journal of Tongji University (Natural Science), 2010, 38(9): 1345-1349. doi: 10.3969/j.issn.0253-374x.2010.09.017 [9] 刘红星,吴九汇,张俊,等. 基于时频域分形维数差的声品质评价新方法[J]. 噪声与振动控制,2018,38(增2): 526-531.LIU Hongxing, WU Jiuhui, ZHANG Jun, et al. A new sound quality evaluation approach based on time-frequency domain fractal dimension difference[J]. Noise and Vibration Control, 2018, 38(S2): 526-531. [10] KIM H W, LEE S K, NA E W. Sound quality evaluation of the impact noise induced by road courses having an impact bar and speed bumps in a passenger car[J]. Proceedings of the Institution of Mechanical Engineers, Part D: Journal of Automobile Engineering, 2010, 224(6): 735-747. doi: 10.1243/09544070JAUTO1296 [11] 夏小均,徐中明,严涛,等. 基于小波熵的非稳态声品质评价参数研究[J]. 振动与冲击,2016,35(14): 83-89. doi: 10.13465/j.cnki.jvs.2016.14.013XIA Xiaojun, XU Zhongming, YAN Tao, et al. Sound metric of unsteady acoustic signal based on wavelet entropy[J]. Journal of Vibration and Shock, 2016, 35(14): 83-89. doi: 10.13465/j.cnki.jvs.2016.14.013 [12] LIANG L Y, CHEN S M, LI P R. The evaluation of vehicle interior impact noise inducing by speed bumps based on multi-features combination and support vector machine[J]. Applied Acoustics, 2020, 163: 107212.1-107212.21. [13] 黄海波,黄晓蓉,苏瑞强,等. 基于EEMD与GA-小波神经网络的传动系声品质预测[J]. 振动与冲击,2017,36(9): 130-137. doi: 10.13465/j.cnki.jvs.2017.09.020HUANG Haibo, HUANG Xiaorong, SU Ruiqiang, et al. Sound metric prediction of a power train system based on EEMD and GA-wavelet neural network[J]. Journal of Vibration and Shock, 2017, 36(9): 130-137. doi: 10.13465/j.cnki.jvs.2017.09.020 [14] 边姜,段向雷,李贝. 基于Hilbert变换的车辆过坎振动衰减评价方法[J]. 汽车工程学报,2019,9(5): 327-331.BIAN Jiang, DUAN Xianglei, LI Bei. Evaluation of vehicle vibration attenuation when passing over speed bumps based on Hilbert transform[J]. Chinese Journal of Automotive Engineering, 2019, 9(5): 327-331. [15] 蒋淑霞,罗意平. 基于小波阈值去噪与二次经验模态分解的发动机点火波形分析方法[J]. 汽车工程,2015,37(4): 380-386. doi: 10.3969/j.issn.1000-680X.2015.04.002JIANG Shuxia, LUO Yiping. An analysis method for engine ignition waveform based on wavelet threshold denoising and secondary empirical mode decomposition[J]. Automotive Engineering, 2015, 37(4): 380-386. doi: 10.3969/j.issn.1000-680X.2015.04.002 [16] 张迅,赵宇,阮灵辉,等. 基于小波变换分析箱梁振动噪声的时频特性[J]. 西南交通大学学报,2020,55(1): 109-117. doi: 10.3969/j.issn.0258-2724.20170768ZHANG Xun, ZHAO Yu, RUAN Linghui, et al. Time-frequency characteristics of box-girder vibration and noise based on wavelet transform[J]. Journal of Southwest Jiaotong University, 2020, 55(1): 109-117. doi: 10.3969/j.issn.0258-2724.20170768 [17] 康诺华. 实用非参数统计[M]. 3版. 北京: 人民邮电出版社, 2006: 381-382. -

下载:











下载:






