Analysis on Precipitation-Induced Subsidence of Covered Karst Soil Caves Regarding Spatial Shape
-
摘要:
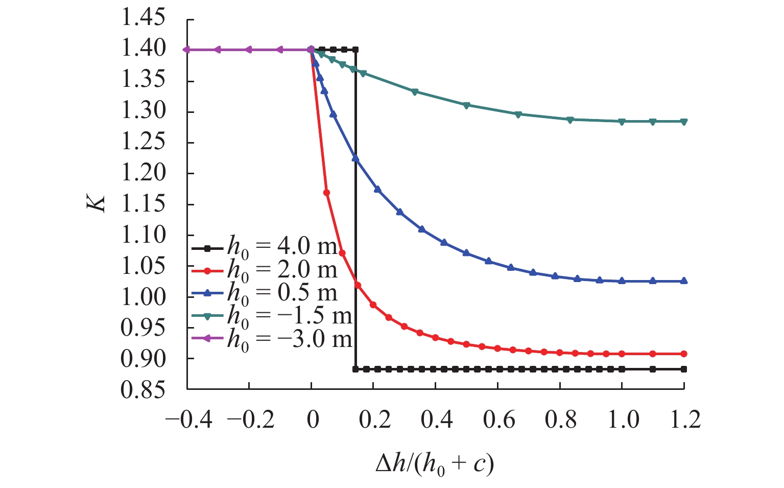
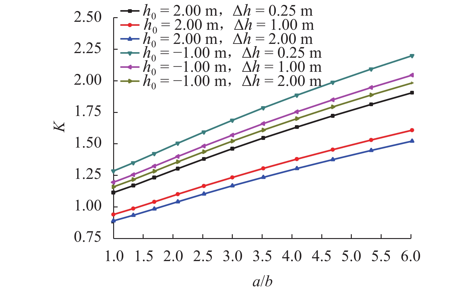
为揭示覆盖型岩溶土洞降水致陷机理、洞体形状尺寸影响及极限平衡状态下内在规律,以常见直筒塌陷椭球土洞为研究对象,构建其降水致陷力学模型,依据玻义耳-马略特定律推导了土洞空腔负压计算公式,以此获得土洞塌落稳定系数表达式,并对比验证计算公式的可行性;进一步获得了极限平衡状态下土体物理力学参数、降水参数、土洞空间形状尺寸及覆土厚度之间内在关系式;基于算例开展了地下水降水参数与土洞形状尺寸参数影响、极限平衡状态下内在规律分析. 研究结果表明:初始水位高于洞顶时,土洞塌落稳定系数与地下水降深展现“Z”字形规律变化,下降稳定水位降越拱顶瞬间极易引发土洞塌陷;初始水位处于洞体时,两者呈现前陡后缓的负相关变化规律,且洞内初始水位越高,降幅越大;初始水位低于洞底时,降深影响很小. 椭球长短半轴之比对稳定系数影响符合增函数变化规律,截面离心率越大越稳定,而圆形球体则最不利;矢高和稳定系数呈线性关系,矢高增加成拱效应显著,土洞越稳定. 极限平衡状态下,初始水位一定时,降深与覆盖层厚度正相关,呈现前缓后陡变化趋势,而覆盖层厚度一定时,降深与初始水位负相关;土洞水平截面离心率越大或矢高越大,达到极限平衡状态所需地下水降深则越大,表现为前缓后陡变化规律.
Abstract:In order to reveal the precipitation mechanism of covered Karst caves, the influence of the shape and size of the cave body and the internal law under the limit equilibrium, a common ellipsoid soil cave in straight collapse is investigated and its mechanical model of precipitation-induced subsidence is constructed. The calculation formula of the cavity negative pressure for the soil cave is deduced according to Boyle-Maliot law, so as to obtain the expression of the stability coefficient for the soil cavecollapse, and the feasibility of the calculation formula is verified by comparison. Further, the internal relations among the physical and mechanical parameters of soil mass, precipitation parameters, the spatial shape and size of soil hole and the overburden soil thickness under the limit equilibrium are obtained. Utilizing a calculation example, the influence of groundwater precipitation parameters and the shape and size parameters of the soil cave, and the internal law analysis under the limit equilibrium state are carried out. It is pointed out that when the initial water level is higher than the cave top, the stability coefficient of soil cave collapse and groundwater drawdown show a “Z”-shaped change, and it is very easy to cause soil cave collapse the moment the falling stable water level falls over the vault. When the initial water level is in the cave body, they show a negative correlation with changes steep in the front and slow in the back, and the higher the initial water level in the cave, the greater the decline; when the initial water level is lower than the cave bottom, the effect of drawdown is very small. The influence of the ratio of the long and short half axes of the ellipsoid on the stability coefficient conforms to the pattern of the increasing function. The greater the eccentricity of the cross section, the more stable it is, while the circular sphere is the most unfavorable. There is a linear relationship between the arch height and the stability coefficient. The arching effect is significant when the arch height increases, and the soil hole is more stable. Under the limit equilibrium, when the initial water level is fixed, the drawdown is positively correlated with the thickness of the overburden layer, showing a trend of slow change before and steep change after; however, when the thickness of the overburden layer is fixed, the drawdown is negatively correlated with the initial water level. The greater the horizontal section eccentricity of the soil cave or the higher the arch height, the deeper the groundwater required to reach the limit equilibrium, which is characterized by the changes gentle front and steep back.
-
表 1 土体物理力学参数
Table 1. Physical and mechanical parameters of soil
土层 γ/(kN·m−3) C/kPa ϕ/(°) 填土 18.0~20.0 32.0~40.0 12.0~18.0 粉砂 15.0~18.0 5.0~9.0 4.0~10.0 砂 17.0~23.0 6.0~12.0 12.0~15.0 黏土 18.0~20.0 35.0~46.0 18.0~25.0 表 2 土洞降水致陷计算结果
Table 2. Calculation results of precipitation-induced subsidence of covered karst soil cave
编号 a,b,c/m h0/m ∆h/m K 抽水前 抽水后 T7 3.75,1.75,1.75 1.63 2.2 2.15 0.95 T8 9.50,6.00,6.00 6.08 2.2 1.05 0.53 T10 2.50,2.50,2.50 2.58 2.2 1.85 0.86 -
[1] CAHALAN M D, MILEWSKI A M. Sinkhole formation mechanisms and geostatistical-based prediction analysis in a mantled Karst terrain[J]. Catena, 2018, 165: 333-344. doi: 10.1016/j.catena.2018.02.010 [2] 王滨,贺可强,高宗军. 岩溶塌陷发育的时空阶段性分析[J]. 水文地质工程地质,2001,28(5): 24-27. doi: 10.3969/j.issn.1000-3665.2001.05.006 [3] 苏添金,洪儒宝,简文彬. 覆盖型岩溶土洞致灾过程的数值模拟与预测[J]. 自然灾害学报,2018,27(5): 179-187. doi: 10.13577/j.jnd.2018.0520SU Tianjin, HONG Rubao, JIAN Wenbin. Numerical simulation and prediction of covered Karst collapse[J]. Journal of Natural Disasters, 2018, 27(5): 179-187. doi: 10.13577/j.jnd.2018.0520 [4] 万志清,秦四清,李志刚,等. 土洞形成的机理及起始条件[J]. 岩石力学与工程学报,2003,22(8): 1377-1382. doi: 10.3321/j.issn:1000-6915.2003.08.028WAN Zhiqing, QIN Siqing, LI Zhigang, et al. Formation mechanism and initial condition of soil cavity[J]. Chinese Journal of Rock Mechanics and Engineering, 2003, 22(8): 1377-1382. doi: 10.3321/j.issn:1000-6915.2003.08.028 [5] 姜伏伟. 粘性土渗透破坏临界条件推导及试验探讨[J]. 地下空间与工程学报,2017,13(6): 1472-1476,1498.JIANG Fuwei. Discussion on formula derivation and test of critical hydraulic condition of cohesive soil[J]. Chinese Journal of Underground Space and Engineering, 2017, 13(6): 1472-1476,1498. [6] CHANG D S, ZHANG L M. Critical hydraulic gradients of internal erosion under complex stress states[J]. Journal of Geotechnical and Geoenvironmental Engineering, 2013, 139(9): 1454-1467. doi: 10.1061/(ASCE)GT.1943-5606.0000871 [7] JIA L, LI L J, MENG Y, et al. Responses of cover-collapse sinkholes to groundwater changes: a case study of early warning of soil cave and sinkhole activity on Datansha Island in Guangzhou, China[J]. Environmental Earth Sciences, 2018, 77(13): 1-11. [8] NAM B H, KIM Y J, YOUN H. Identification and quantitative analysis of sinkhole contributing factors in Florida’s karst[J]. Engineering Geology, 2020, 271: 105610.1-105610.14. doi: 10.1016/j.enggeo.2020.105610 [9] 李涛,张子真,宗露丹. 地下空洞引起土质地层地陷的形成机制与预测研究[J]. 岩土力学,2015,36(7): 1995-2002. doi: 10.16285/j.rsm.2015.07.022LI Tao, ZHANG Zizhen, ZONG Ludan. Study of formation mechanism and prediction of sinkholes in soil stratum induced by subterranean cavity[J]. Rock and Soil Mechanics, 2015, 36(7): 1995-2002. doi: 10.16285/j.rsm.2015.07.022 [10] LIU Z, ZHOU C Y, DU Z C, et al. Modeling cover-collapse sinkhole based on the theory of shells[J]. International Journal of Computational Materials Science and Engineering, 2019, 8(1): 1850028.1-1850028.17. doi: 10.1142/S2047684118500288 [11] 王滨,贺可强. 岩溶塌陷临界土洞的极限平衡高度公式[J]. 岩土力学,2006,27(3): 458-462. doi: 10.3969/j.issn.1000-7598.2006.03.024WANG Bin, HE Keqiang. Study on limit equilibrium height expression of critical soil cave of karst collapse[J]. Rock and Soil Mechanics, 2006, 27(3): 458-462. doi: 10.3969/j.issn.1000-7598.2006.03.024 [12] 苏永华,周乾,蹇宜霖. 孕育型土洞地陷判据研究[J]. 湖南大学学报(自然科学版),2020,47(5): 39-47. doi: 10.16339/j.cnki.hdxbzkb.2020.05.005SU Yonghua, ZHOU Qian, JIAN Yilin. Study on the criterion of land subsidence for gestation type soil cave[J]. Journal of Hunan University (Natural Sciences), 2020, 47(5): 39-47. doi: 10.16339/j.cnki.hdxbzkb.2020.05.005 [13] 苏永华,廖君橙,黄腾. 城区地表塌陷土洞发育破坏特征[J]. 湖南大学学报(自然科学版),2021,48(11): 177-184. doi: 10.16339/j.cnki.hdxbzkb.2021.11.018SU Yonghua, LIAO Juncheng, HUANG Teng. Study on development and failure characteristics of soil caves in urban surface subsidence[J]. Journal of Hunan University (Natural Sciences), 2021, 48(11): 177-184. doi: 10.16339/j.cnki.hdxbzkb.2021.11.018 [14] 肖先煊. 覆盖型岩溶区水气相互驱动盖层变形演化及塌陷机理研究[D]. 成都: 成都理工大学, 2018. [15] XIAO X X, XU M, DING Q Z, et al. Experimental study investigating deformation behavior in land overlying a Karst cave caused by groundwater level changes[J]. Environmental Earth Sciences, 2018, 77(3): 641-6411. [16] XIAO X X, GUTIÉRREZ F, GUERRERO J. The impact of groundwater drawdown and vacuum pressure on sinkhole development. Physical laboratory models[J]. Engineering Geology, 2020, 279: 105894.1-105894.10. [17] 魏锋,陈忠达,陈峙峰,等. 路堤下伏溶洞受力模式和变形破坏的数值模拟[J]. 中国公路学报,2018,31(6): 195-206. doi: 10.3969/j.issn.1001-7372.2018.06.006WEI Feng, CHEN Zhongda, CHEN Zhifeng, et al. Numerical simulation of the mechanical characteristic and failure mode of Karst subgrade[J]. China Journal of Highway and Transport, 2018, 31(6): 195-206. doi: 10.3969/j.issn.1001-7372.2018.06.006 [18] SHIAU J, KEAWSAWASVONG S, CHUDAL B, et al. Sinkhole stability in elliptical cavity under collapse and blowout conditions[J]. Geosciences, 2021, 11(10): 421.1-421.15. [19] 王启智. 球形空洞地基稳定性分析[J]. 四川建筑科学研究,2005,31(4): 74-75,94. doi: 10.3969/j.issn.1008-1933.2005.04.026WANG Qizhi. Stability analysis for a spherical cave in soil foundation[J]. Building Science Research of Sichuan, 2005, 31(4): 74-75,94. doi: 10.3969/j.issn.1008-1933.2005.04.026 [20] 廖丽萍,杨万科,王启智. 椭球形空洞地基稳定性分析[J]. 岩土力学,2010,31(增2): 138-148. doi: 10.16285/j.rsm.2010.s2.062LIAO Liping, YANG Wanke, WANG Qizhi. Stability analysis of an ellipsoidal cavity in foundation[J]. Rock and Soil Mechanics, 2010, 31(S2): 138-148. doi: 10.16285/j.rsm.2010.s2.062 [21] 李倩倩,张顶立,房倩. 含空洞地层初始破坏的复变函数解析研究[J]. 岩土工程学报,2014,36(11): 2110-2117. doi: 10.11779/CJGE201411018LI Qianqian, ZHANG Dingli, FANG Qian. Analytic solution to initial damage of cavern strata by complex function method[J]. Chinese Journal of Geotechnical Engineering, 2014, 36(11): 2110-2117. doi: 10.11779/CJGE201411018 [22] 赵衡,肖尧,赵明华,等. 路基下伏矩形溶洞的稳定性解析法[J]. 中国公路学报,2018,31(2): 165-170,180. doi: 10.3969/j.issn.1001-7372.2018.02.017ZHAO Heng, XIAO Yao, ZHAO Minghua, et al. Stability assessment method for subgrade with underlying rectangular cavity[J]. China Journal of Highway and Transport, 2018, 31(2): 165-170,180. doi: 10.3969/j.issn.1001-7372.2018.02.017 [23] 刘秀敏,陈从新,于群群,等. 黏土颗粒含量对土洞稳定性影响试验研究[J]. 岩石力学与工程学报,2021,40(9): 1914-1922. doi: 10.13722/j.cnki.jrme.2021.0176LIU Xiumin, CHEN Congxin, YU Qunqun, et al. Experimental study on the influence of clay particle contents on the stability of soil caves[J]. Chinese Journal of Rock Mechanics and Engineering, 2021, 40(9): 1914-1922. doi: 10.13722/j.cnki.jrme.2021.0176 [24] 程守洙, 江之永. 普通物理学 • 上册[M]. 7版. 北京: 高等教育出版社, 2016. -
下载:




