• ISSN 0258-2724
  • CN 51-1277/U
  • EI Compendex
  • Scopus 收录
  • 全国中文核心期刊
  • 中国科技论文统计源期刊
  • 中国科学引文数据库来源期刊

风沙冲蚀下钢结构涂层的界面应力与破坏准则

蔺鹏臻 魏亚鹏 乔叶伟

蔺鹏臻, 魏亚鹏, 乔叶伟. 风沙冲蚀下钢结构涂层的界面应力与破坏准则[J]. 西南交通大学学报, 2023, 58(1): 236-243. doi: 10.3969/j.issn.0258-2724.20210189
引用本文: 蔺鹏臻, 魏亚鹏, 乔叶伟. 风沙冲蚀下钢结构涂层的界面应力与破坏准则[J]. 西南交通大学学报, 2023, 58(1): 236-243. doi: 10.3969/j.issn.0258-2724.20210189
LIN Pengzhen, WEI Yapeng, QIAO Yewei. Interfacial Stress and Failure Criteria of Steel Structure Coatings Under Wind-Sand Erosion[J]. Journal of Southwest Jiaotong University, 2023, 58(1): 236-243. doi: 10.3969/j.issn.0258-2724.20210189
Citation: LIN Pengzhen, WEI Yapeng, QIAO Yewei. Interfacial Stress and Failure Criteria of Steel Structure Coatings Under Wind-Sand Erosion[J]. Journal of Southwest Jiaotong University, 2023, 58(1): 236-243. doi: 10.3969/j.issn.0258-2724.20210189

风沙冲蚀下钢结构涂层的界面应力与破坏准则

doi: 10.3969/j.issn.0258-2724.20210189
基金项目: 国家自然科学基金(11790281);甘肃省交通运输厅科技项目(2022-26);中央引导地方科技发展资金项目(22ZY1QA005)
详细信息
    作者简介:

    蔺鹏臻(1977—),男,教授,博导,研究方向为钢结构理论及应用,E-mail: pzhlin@mail.lzjtu.cn

  • 中图分类号: O346

Interfacial Stress and Failure Criteria of Steel Structure Coatings Under Wind-Sand Erosion

Funds: Key Laboratory of Road & Bridge and Underground Engineering of Gansu Province, Lanzhou JiaotongUniversity, Lanzhou 730070,China;2. Civil Engineering Design and Research Institute, China Railway Design Corporation, Tianjin 300308, China;3. Gansu Procince Traffic Construction Project Management Company, Lanzhou 730000, China)
  • 摘要:

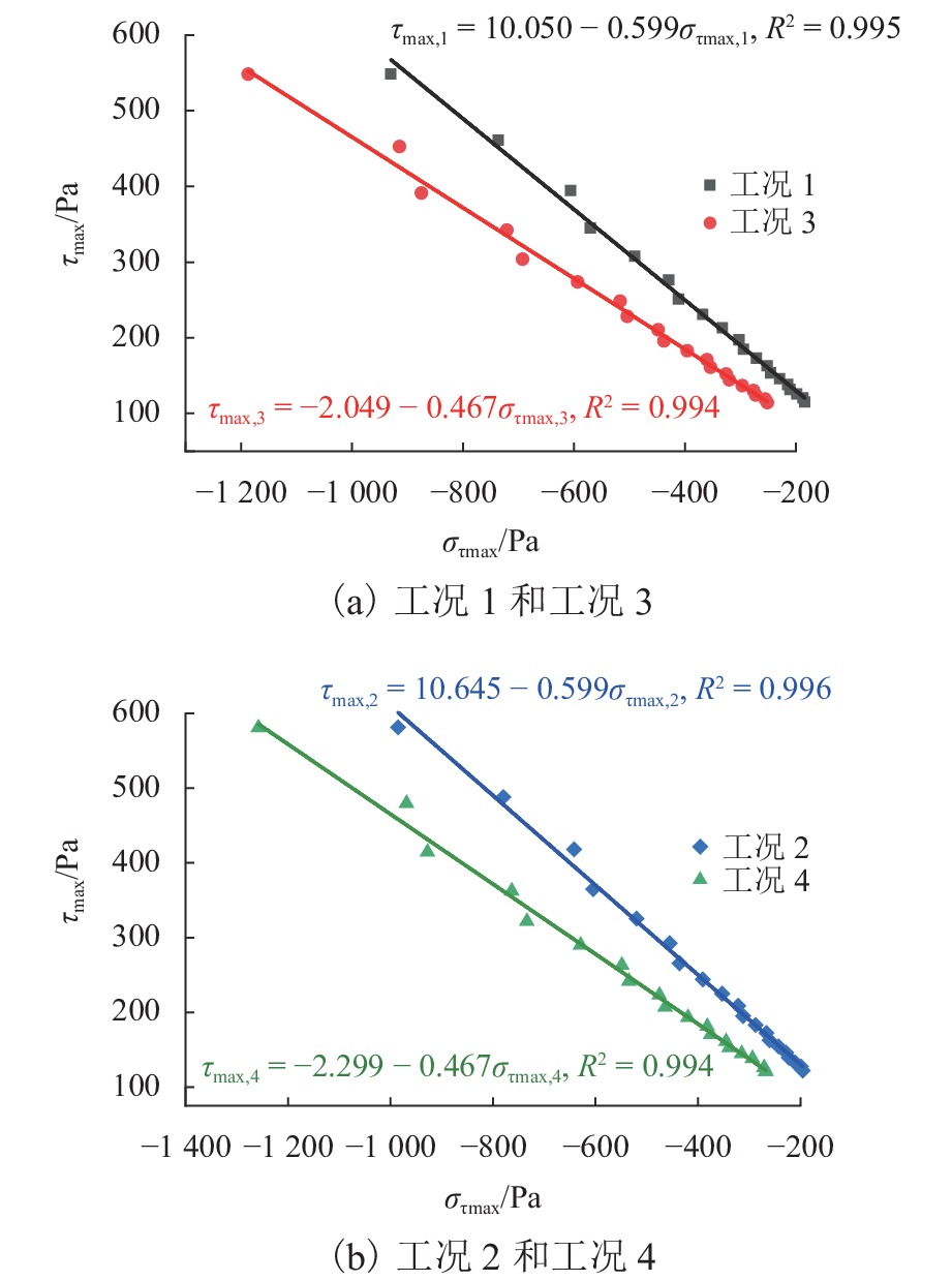
    为表征和评价风沙冲蚀作用下钢结构涂层界面结合强度,以西北地区风沙流特征为背景,利用接触力学和界面力学理论建立了在风沙冲蚀作用下钢结构涂层的界面应力表达式. 结合断裂力学理论和有限元分析方法,确定了钢结构涂层的界面起裂位置. 在起裂位置处建立了考虑压应力影响的界面应力破坏准则.研究结果表明:当冲蚀角度为30° 和60° 时,最大界面剪应力分别位于冲蚀点前侧200 mm和180 mm处,最大界面压应力分别位于冲蚀点前侧100 mm和50 mm处,涂层界面的起裂位置为最大界面剪应力处. 风沙冲蚀作用下涂层的界面应力破坏准则与莫尔-库伦强度准则相似,斜率的大小取决于沙粒的冲蚀角度,且当冲蚀角度为30° 和60° 时,斜率大小分别为 −0.599和 −0.467.

     

  • 图 1  涂层与钢材基体的平面受力模型

    Figure 1.  Plane stress model of coating and steel substrate

    图 2  界面应力分析模型

    Figure 2.  Interfacial stress analysis mode

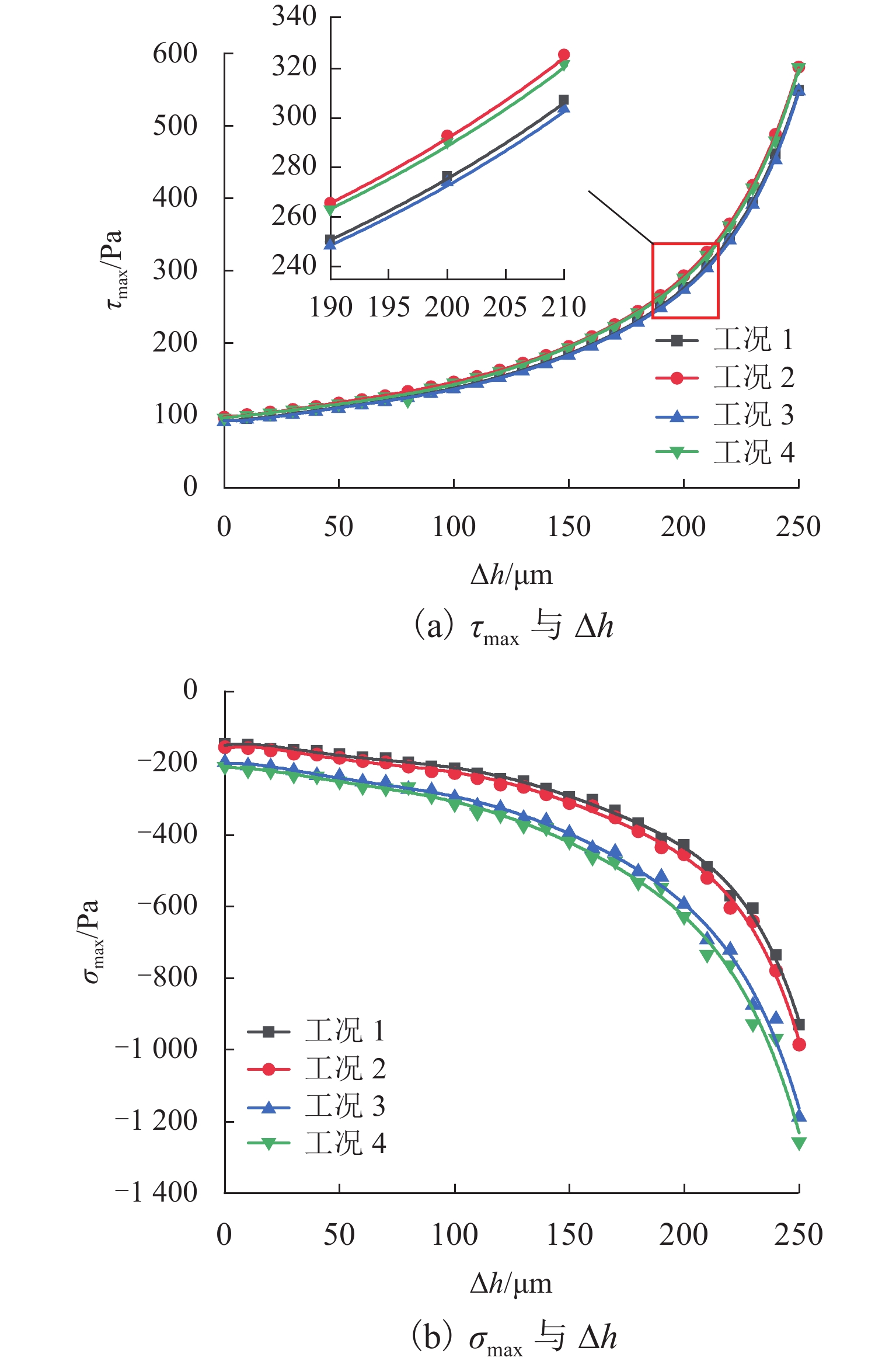
    图 3  不同工况下界面应力随距离的变化规律

    Figure 3.  Variation of interfacial stress withdistance in different cases

    图 4  双线性内聚力准则

    Figure 4.  Bilinear cohesion criterion

    图 5  工况2界面应力的理论解与数值解对比

    Figure 5.  Comparison of theoretical and numerical solutions of interfacial stress in case 2

    图 6  界面裂纹图(单位:μm)

    Figure 6.  Interface crack diagram (unit:μm)

    图 7  界面应力随厚度累积损失量的变化规律

    Figure 7.  Variation of interfacia stress withcumulative thickness loss

    图 8  涂层的界面应力破坏曲线

    Figure 8.  Interfacial stress failure curves of coating

    表  1  西北地区沙尘暴强度划分等级

    Table  1.   Classification of sandstorm intensity in Northwest China

    强度等级风力
    等级
    瞬时极大风速vmax/(m·s−1最小能见度
    smin/m
    特强≥ 10≥ 25< 50
    ≥ 8≥ 20[50, 200)
    6~8≥ 17[200, 500)
    4~6≥ 10[500, 1000)
    下载: 导出CSV

    表  2  各材料的力学参数

    Table  2.   Mechanical parameters of materials

    名称弹性模量/GPa泊松比
    沙粒40.000.25
    涂层0.770.40
    钢材基体206.000.30
    下载: 导出CSV

    表  3  沙粒冲蚀工况

    Table  3.   Sand erosion cases

    工况V/(m·s−1θ/(°)r/mm
    120300.075
    220300.100
    320600.075
    420600.100
    下载: 导出CSV

    表  4  工况2下界面应力的理论解与数值解对比

    Table  4.   Comparison of theoretical and numerical solutions of interfacial stress in case 2

    类型 τmax/Pa σmax/Pa
    理论解 93.170 −174.605
    数值解 93.565 −163.360
    相对误差/% 0.42 6.44
    下载: 导出CSV

    表  5  裂纹尖端Ⅱ型应力强度因子

    Table  5.   Type Ⅱ stress intensity factor at the crack tip

    工况2 号裂纹1 号裂纹3 号裂纹
    10.3210.6460.545
    20.3380.6800.574
    30.1860.5520.440
    40.2020.5930.473
    下载: 导出CSV

    表  6  工况1下界面应力点的拟合表达式参数

    Table  6.   Fitting expression parameters of interfacial stress point in case 1

    变量 B1/(× 10−11 B2/(× 10−8 B3/(× 10−6 B4/(× 10−4 B5/(× 10−2 B6/(× 10−2 d R2
    τmax 1.794 −1.061 2.452 −2.578 1.400 7.800 92.754 0.999
    σmax −7.562 4.943 −12.310 10.000 −7.400 90.300 −150.778 0.997
    下载: 导出CSV

    表  7  不同界面剪应力所对应的界面压应力

    Table  7.   Interfacial compressive stresses corresponding to different interfacial shear stresses

    Δh/μmτmax/MPa|στmax|/MPa
    092147
    50184294
    200276429
    220344571
    240461736
    250549930
    下载: 导出CSV

    表  8  各工况下界面应力破坏准则表达式

    Table  8.   Expressions of interfacial stress failure criterion in various cases

    冲蚀工况破坏准则表达式决定系数 R2
    1${\tau _{\max } } = 10.050 - 0.599{\sigma _{ {\text{max} } } }$0.995
    2${\tau _{\max } } = 10.645 - 0.599{\sigma _{ {\text{max} } } }$0.996
    3${\tau _{\max } } = - 2.049 - 0.467{\sigma _{ {\text{max} } } }$0.994
    4${\tau _{\max } } = - 2.299 - 0.467{\sigma _{ {\text{max} } } }$0.994
    下载: 导出CSV
  • [1] 卞达,王永光,倪自丰,等. 涂层厚度对硬脆涂层结合强度的影响[J]. 计算力学学报,2016,33(1): 103-106.

    BIAN Da, WANG Yongguang, NI Zifeng, et al. Effect of the coating thickness on the bond strength for brittle coating substrate system[J]. Chinese Journal of Computational Mechanics, 2016, 33(1): 103-106.
    [2] BENJAMIN P, WEAVER C. Measurement of adhesion of thin films[J]. Proceedings of the Royal Society of London Series A, 1960, 254(1277): 163-176.
    [3] 杨班权,陈光南,张坤,等. 涂层/基体材料界面结合强度测量方法的现状与展望[J]. 力学进展,2007,37(1): 67-79. doi: 10.3321/j.issn:1000-0992.2007.01.010

    YANG Banquan, CHEN Guangnan, ZHANG Kun, et al. A review on measurement methods for interfacial bonding strength between coating and substrate[J]. Advances in Mechanics, 2007, 37(1): 67-79. doi: 10.3321/j.issn:1000-0992.2007.01.010
    [4] OLLENDORF H, SCHNEIDER D. A comparative study of adhesion test methods for hard coatings[J]. Surface and Coatings Technology, 1999, 113(1/2): 86-102.
    [5] STEINMANN P A, TARDY Y, HINTERMANN H E. Adhesion testing by the scratch test method: the influence of intrinsic and extrinsic parameters on the critical load[J]. Thin Solid Films, 1987, 154(1/2): 333-349.
    [6] TANG W, XU K W, WANG P, et al. Scratch behavior of multi-layered metallic thin films on Al2O3 substrates[J]. Surface and Coatings Technology, 2004, 182(2/3): 143-148.
    [7] BEYDON R, BERNHART G, SEGUI Y. Measurement of metallic coatings adhesion to fibre reinforced plastic materials[J]. Surface and Coatings Technology, 2000, 126(1): 39-47. doi: 10.1016/S0257-8972(00)00516-8
    [8] GUO S Q, MUMM D R, KARLSSON A M, et al. Measurement of interfacial shear mechanical properties in thermal barrier coating systems by a barb pullout method[J]. Scripta Materialia, 2005, 53(9): 1043-1048. doi: 10.1016/j.scriptamat.2005.07.012
    [9] PERERA D Y. On adhesion and stress in organic coatings[J]. Progress in Organic Coatings, 1996, 28(1): 21-23. doi: 10.1016/0300-9440(95)00585-4
    [10] 许金泉. 界面力学[M]. 北京: 科学出版社, 2006.
    [11] 卓杨,许金泉. 基于分子动力学模拟结果的界面破坏准则[J]. 工程力学,2008,25(2): 46-51.

    ZHUO Yang, XU Jinquan. An interface fracture criterion based on simulation of molecular dynamics[J]. Engineering Mechanics, 2008, 25(2): 46-51.
    [12] 于秦,许金泉. 薄膜涂层材料界面纯剪破坏标准试验法的开发[J]. 力学季刊,2005,26(4): 618-622. doi: 10.3969/j.issn.0254-0053.2005.04.017

    YU Qin, XU Jinquan. Development of pure shearing destructive standard test method for coating materials[J]. Chinese Quarterly of Mechanics, 2005, 26(4): 618-622. doi: 10.3969/j.issn.0254-0053.2005.04.017
    [13] 郝贠洪,邢永明,杨诗婷,等. 风沙环境下钢结构涂层的冲蚀磨损力学性能研究[J]. 应用力学学报,2013,30(3): 350-355, 473. doi: 10.11776/cjam.30.03.B119

    HAO Yunhong, XING Yongming, YANG Shiting, et al. The erosion-wear mechanical properties of the coating of steel structure subject to sandstorm[J]. Chinese Journal of Applied Mechanics, 2013, 30(3): 350-355, 473. doi: 10.11776/cjam.30.03.B119
    [14] 郝贠洪,朱敏侠,冯玉江,等. 风沙冲击作用下钢结构表面涂层与基体界面应力研究[J]. 固体力学学报,2014,35(5): 485-492. doi: 10.19636/j.cnki.cjsm42-1250/o3.2014.05.007

    HAO Yunhong, ZHU Minxia, FENG Yujiang. et al. Interface stress between steel surface coating and substrate under the sand shock[J]. Chinese Journal of Solid Mechanics, 2014, 35(5): 485-492. doi: 10.19636/j.cnki.cjsm42-1250/o3.2014.05.007
    [15] 徐启运,胡敬松. 我国西北地区沙尘暴天气时空分布特征[J]. 应用气象学报,1996,7(4): 479-482.

    XU Qiyun, HU Jingsong. Featurures of spatial and temporal distributions of the dust storms in northwest China[J]. Quarterly Journal of Applied Meteorological, 1996, 7(4): 479-482.
    [16] 赵富康,蔺鹏臻,颜维毅,等. 钢箱-混凝土组合桥梁防腐涂层的疲劳应力分析[J]. 涂料工业,2020,50(10): 7-14. doi: 10.12020/j.issn.0253-4312.2020.10.7

    ZHAO Fukang, LIN Pengzhen, YAN Weiyi. et al. Fatigue stress analysis of anti-corrosion coatings on steel box-concrete composite beam bridge[J]. Paint & Coatings Industry, 2020, 50(10): 7-14. doi: 10.12020/j.issn.0253-4312.2020.10.7
    [17] 胡振虎. 基于内聚力模型的复合材料胶接接头界面失效机理研究[D]. 杭州: 浙江大学, 2018.
    [18] 解德, 钱勤, 李长安. 断裂力学中的数值计算方法及工程应用[M]. 北京: 科学出版社, 2009.
    [19] 王自强, 陈少华. 高等断裂力学[M]. 北京: 科学出版社, 2009.
    [20] MUTOH Y, XU J Q MIYASHITA Y, et. al. On evalution of adhesive strength in scratch test of coating materials[J]. Transactions of the Japan Society of Mechanical Engineers, 2002, 68(6): 909-915.
    [21] 李广信. 高等土力学[M]. 2版. 北京: 清华大学出版社, 2016.
  • 加载中
图(8) / 表(8)
计量
  • 文章访问数:  670
  • HTML全文浏览量:  309
  • PDF下载量:  52
  • 被引次数: 0
出版历程
  • 收稿日期:  2021-03-16
  • 修回日期:  2021-06-27
  • 网络出版日期:  2022-09-28
  • 刊出日期:  2021-07-06

目录

    /

    返回文章
    返回