• ISSN 0258-2724
  • CN 51-1277/U
  • EI Compendex
  • Scopus 收录
  • 全国中文核心期刊
  • 中国科技论文统计源期刊
  • 中国科学引文数据库来源期刊

基于构型力断裂准则的骨料干涉作用分析

杜健欢 艾长发 安少科 任东亚 邱延峻

杜健欢, 艾长发, 安少科, 任东亚, 邱延峻. 基于构型力断裂准则的骨料干涉作用分析[J]. 西南交通大学学报, 2023, 58(1): 167-174, 226. doi: 10.3969/j.issn.0258-2724.20210115
引用本文: 杜健欢, 艾长发, 安少科, 任东亚, 邱延峻. 基于构型力断裂准则的骨料干涉作用分析[J]. 西南交通大学学报, 2023, 58(1): 167-174, 226. doi: 10.3969/j.issn.0258-2724.20210115
DU Jianhuan, AI Changfa, AN Shaoke, REN Dongya, QIU Yanjun. Analysis of Aggregate Interaction Based on Configuration Force Fracture Criterion[J]. Journal of Southwest Jiaotong University, 2023, 58(1): 167-174, 226. doi: 10.3969/j.issn.0258-2724.20210115
Citation: DU Jianhuan, AI Changfa, AN Shaoke, REN Dongya, QIU Yanjun. Analysis of Aggregate Interaction Based on Configuration Force Fracture Criterion[J]. Journal of Southwest Jiaotong University, 2023, 58(1): 167-174, 226. doi: 10.3969/j.issn.0258-2724.20210115

基于构型力断裂准则的骨料干涉作用分析

doi: 10.3969/j.issn.0258-2724.20210115
基金项目: 国家自然科学基金(51778541, 51878574)
详细信息
    作者简介:

    杜健欢(1992—),男,博士研究生,研究方向为道路工程材料,E-mail:345910613@qq.com

    通讯作者:

    艾长发(1975—),男,教授,博士生导师,博士,研究方向为路面材料微观结构与力学行为分析、新型筑路材料及其性能,E-mail:cfai@home.swjtu.edu.cn

  • 中图分类号: U416.217

Analysis of Aggregate Interaction Based on Configuration Force Fracture Criterion

  • 摘要:

    为研究沥青混凝土内部裂纹初始构型(如裂纹初始偏转角,空间位置)的改变对裂纹扩展路径以及裂纹扩展方式的影响,以裂尖构型力为断裂准则,通过扩展有限元XFEM建立具有不同初始构型的裂纹模型,模拟裂纹经过单骨料和非对称双骨料的情况;从裂纹扩展路径和裂尖构型力变化等方面分析骨料干涉作用下裂纹初始构型对裂纹扩展的影响. 结果表明:1) 在单骨料干涉作用下,裂尖构型力随骨料与初始裂尖夹角的增大而逐渐增大,表明骨料对裂纹扩展的干涉作用逐渐减弱,当其超过60° 后,骨料对裂纹扩展的干涉作用可忽略不计;2) 在非对称双骨料干涉作用下,随着骨料圆心连线与x轴夹角的增大,双骨料对裂纹扩展干涉作用愈加明显,当其大于45° 时,裂尖构型力明显偏小,即骨料对裂纹扩展表现出“止裂”效果;3) 当裂纹初始偏转角发生改变时,单骨料与非对称双骨料对裂纹扩展的干涉作用具有相似性,其裂尖构型力随偏转角增大呈现先增加后减小的趋势;4) 当偏转角为45° 时,裂尖构型力偏大,意味着裂纹趋于非稳定状态,骨料对裂纹扩展的抑制效果较弱,致使骨料对沥青混合料抗裂性能的提高受到一定限制.

     

  • 图 1  构型力断裂准则

    Figure 1.  Configurational force fracture criterion

    图 2  包含裂纹和夹杂体的区域

    Figure 2.  Area containing cracks and inclusions

    图 3  裂纹与骨料相对位置扩展有限元模型示意

    Figure 3.  Extended finite element model of the relative position expansion of crack and aggregate

    图 4  单骨料干涉作用下裂纹扩展路径

    Figure 4.  Crack propagation path under the interference of single aggregate

    图 5  单骨料干涉作用下裂尖构型力随裂纹长度变化趋势

    Figure 5.  Variation of the resultant configuration force at crack tip with crack length under the interference of single aggregate

    图 6  非对称双骨料扩展有限元模型

    Figure 6.  Asymmetric double aggregate extended finite element model

    图 7  非对称双骨料干涉作用下裂纹扩展路径

    Figure 7.  Crack propagation path under the interference of asymmetric double aggregate

    图 8  非对称双骨料干涉作用下裂尖构型力随裂纹长度变化趋势

    Figure 8.  Variation of the resultant configuration force at crack tip with crack length under the interference of asymmetric double aggregate

    图 9  单骨料干涉作用下含β扩展有限元模型

    Figure 9.  Extended finite element model with β under the interference of single aggregate

    图 10  单骨料干涉作用下含β裂纹扩展路径

    Figure 10.  Crack propagation path with β under the interference of single aggregate

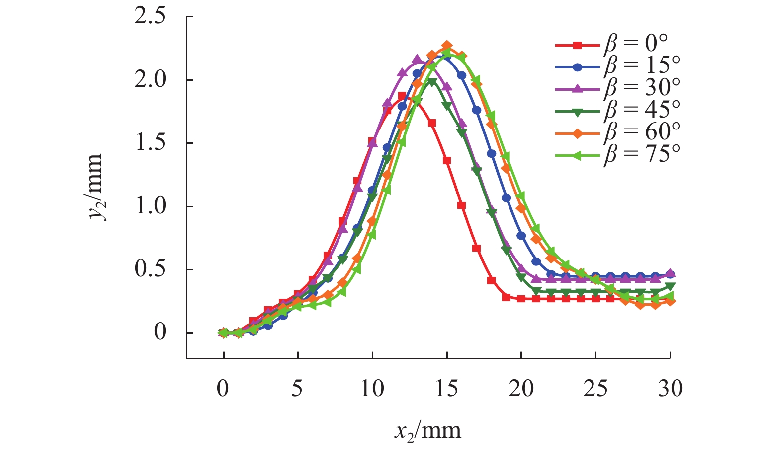
    图 11  单骨料干涉作用下含β的裂尖构型力随裂纹长度变化趋势

    Figure 11.  Variation of the resultant crack tip configuration force with β with crack length under the interference of single aggregate

    图 12  非对称双骨料干涉作用下含β扩展有限元模型

    Figure 12.  Extended finite element model with β under the interference of asymmetric double aggregate

    图 13  非对称双骨料干涉作用下含β裂纹扩展路径

    Figure 13.  Crack propagation path with β under the interference of asymmetric double aggregate

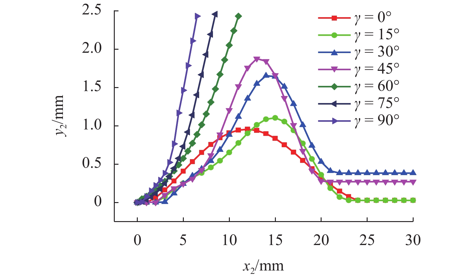
    图 14  非对称双骨料干涉作用下含β的裂尖构型力随裂纹长度变化

    Figure 14.  Variation of the resultant crack tip configuration force with β with crack length under the interference of asymmetric double aggregate

    表  1  AC-13沥青混凝土级配

    Table  1.   Gradation of AC-13 Asphalt Concrete

    筛孔尺寸/mm16.00013.2009.5004.7502.3601.1800.6000.3000.1500.075
    通过率/%100.097.584.062.542.532.024.015.511.06.0
    下载: 导出CSV

    表  2  −20 ℃下AC-13级配沥青混凝土材料参数

    Table  2.   Parameters of AC-13 asphalt concrete at −20 ℃

    材料相类计算参数数值
    骨料弹性模量 E/GPa55.5
    抗拉强度 σ/MPa27.60
    沥青混合料抗拉强度 σ/MPa3.55
    断裂能/(J·m−2275
    下载: 导出CSV

    表  3  扩展有限元模型设置参数

    Table  3.   Parameters of extended finite element model

    材料类型参数类型数值
    沥青混合料宽度 W/mm30
    长度 H/mm40
    裂纹裂纹长度 l/mm2
    粗骨料粒径 D/mm2.36
    d/mm8
    夹角$\varphi $/(°)0、15、30、45、60、75、90
    下载: 导出CSV
  • [1] ATKINSON C. The interaction between a crack and an inclusion[J]. International Journal of Engineering Science, 1972, 10(2): 127-136. doi: 10.1016/0020-7225(72)90011-0
    [2] RUBINSTEIN A A. Macrocrack-microdefect interaction[J]. Journal of Applied Mechanics, 1986, 53(3): 505-510. doi: 10.1115/1.3171803
    [3] ANIFANTIS N K. Crack surface interference: a finite element analysis[J]. Engineering Fracture Mechanics, 2001, 68(12): 1403-1415. doi: 10.1016/S0013-7944(01)00028-5
    [4] MISHURIS G, MOVCHAN A, MOVCHAN N, et al. Interaction of an interfacial crack with linear small defects under out-of-plane shear loading[J]. Computational Materials Science, 2012, 52(1): 226-230. doi: 10.1016/j.commatsci.2011.01.023
    [5] 毛成,邱延峻. 沥青混凝土复合型裂纹扩展行为数值模拟[J]. 公路交通科技,2006,23(10): 20-24. doi: 10.3969/j.issn.1002-0268.2006.10.005

    MAO Cheng, QIU Yanjun. Numerical simulation of compound crack propagation behavior of asphalt concrete[J]. Journal of Highway and Transportation Research and Development, 2006, 23(10): 20-24. doi: 10.3969/j.issn.1002-0268.2006.10.005
    [6] 黄晓明,肖益民,张裕卿. 沥青混合料黏弹性裂纹扩展[J]. 东南大学学报(自然科学版),2009,39(3): 586-591.

    HUANG Xiaoming, XIAO Yimin, ZHANG Yuqing. Viscoelastic crack propagation in asphalt mixtures[J]. Journal of Southeast University (Natural Science Edition), 2009, 39(3): 586-591.
    [7] 郭荣鑫. 夹杂物干涉机制及其对材料细观损伤的影响研究[D]. 昆明: 昆明理工大学, 2007.
    [8] 束一秀,李亚智,尚海江,等. 基于XFEM研究含颗粒夹杂材料的疲劳裂纹行为[J]. 固体火箭技术,2016,39(4): 547-554.

    SHU Yixiu, LI Yazhi, SHANG Haijiang, et al. Fatigue crack behavior in metallic panels with inclusions using XFEM[J]. Journal of Solid Rocket Technology, 2016, 39(4): 547-554.
    [9] KIENZLER R, HERRMANN G. Fracture criteria based on local properties of the Eshelby tensor[J]. Mechanics Research Communications, 2002, 29(6): 521-527. doi: 10.1016/S0093-6413(02)00299-9
    [10] GUO Y L, LI Q. Material configurational forces applied to mixed mode crack propagation[J]. Theoretical and Applied Fracture Mechanics, 2017, 89: 147-157. doi: 10.1016/j.tafmec.2017.02.006
    [11] LARSSON R, FAGERSTRÖM M. A framework for fracture modelling based on the material forces concept with XFEM kinematics[J]. International Journal for Numerical Methods in Engineering, 2005, 62(13): 1763-1788. doi: 10.1002/nme.1246
    [12] 贺启林. 基于J-积分和构型力理论的材料断裂行为研究[D]. 哈尔滨: 哈尔滨工业大学, 2010.
    [13] FAGERSTRÖM M, LARSSON R. Approaches to dynamic fracture modelling at finite deformations[J]. Journal of the Mechanics and Physics of Solids, 2008, 56(2): 613-639. doi: 10.1016/j.jmps.2007.05.001
    [14] LI Z H, CHEN Q. Crack-inclusion interaction for mode Ⅰ crack analyzed by eshelby equivalent inclusion method[J]. International Journal Of Fracture, 2002, 118(1): 29-40. doi: 10.1023/A:1022652725943
    [15] 古斌,郭宇立,李群. 基于构型力断裂准则的裂纹与夹杂干涉问题[J]. 力学学报,2017,49(6): 1312-1321. doi: 10.6052/0459-1879-17-209

    GU Bin, GUO Yuli, LI Qun. Crack interacting with an individual inclusion by the fracture criterion of configurational force[J]. Chinese Journal of Theoretical and Applied Mechanics, 2017, 49(6): 1312-1321. doi: 10.6052/0459-1879-17-209
    [16] 于宁宇,李群. 基于数字散斑相关实验测量的材料构型力的计算方法[J]. 实验力学,2014,29(5): 579-588. doi: 10.7520/1001-4888-13-132

    YU Ningyu, LI Qun. On the algorithm of material configurational force based on digital image correlation measurement[J]. Journal of Experimental Mechanics, 2014, 29(5): 579-588. doi: 10.7520/1001-4888-13-132
    [17] BELYTSCHKO T, BLACK T. Elastic crack growth in finite elements with minimal remeshing[J]. International Journal for Numerical Methods in Engineering, 1999, 45(5): 601-620. doi: 10.1002/(SICI)1097-0207(19990620)45:5<601::AID-NME598>3.0.CO;2-S
    [18] SUKUMAR N, CHOPP D L, MOëS N, et al. Modeling holes and inclusions by level sets in the extended finite-element method[J]. Computer Methods in Applied Mechanics and Engineering, 2001, 190(46/47): 6183-6200.
    [19] ESHELBY J D. The determination of the elastic field of an ellipsoidal inclusion, and related problems[J]. Proceedings of the Royal Society of London Series A: Mathematical and Physical Sciences, 1957, 241: 376-396.
    [20] 冷严. 季冻区高速铁路沥青混凝土强化基床表层材料制备技术与综合性能试验研究[D]. 成都: 西南交通大学, 2018.
    [21] YOU Z P, ADHIKARI S, DAI Q L. Three-dimensional discrete element models for asphalt mixtures[J]. Journal of Engineering Mechanics, 2008, 134(12): 1053-1063. doi: 10.1061/(ASCE)0733-9399(2008)134:12(1053)
  • 加载中
图(14) / 表(3)
计量
  • 文章访问数:  453
  • HTML全文浏览量:  295
  • PDF下载量:  28
  • 被引次数: 0
出版历程
  • 收稿日期:  2021-02-23
  • 修回日期:  2022-02-17
  • 网络出版日期:  2022-11-19
  • 刊出日期:  2022-03-06

目录

    /

    返回文章
    返回