• ISSN 0258-2724
  • CN 51-1277/U
  • EI Compendex
  • Scopus 收录
  • 全国中文核心期刊
  • 中国科技论文统计源期刊
  • 中国科学引文数据库来源期刊

地温梯度孕育的岩体热应力对岩爆预测的影响

蒙伟 何川 吴枋胤 陈子全 周子寒 寇昊

蒙伟, 何川, 吴枋胤, 陈子全, 周子寒, 寇昊. 地温梯度孕育的岩体热应力对岩爆预测的影响[J]. 西南交通大学学报, 2022, 57(4): 903-909. doi: 10.3969/j.issn.0258-2724.20200737
引用本文: 蒙伟, 何川, 吴枋胤, 陈子全, 周子寒, 寇昊. 地温梯度孕育的岩体热应力对岩爆预测的影响[J]. 西南交通大学学报, 2022, 57(4): 903-909. doi: 10.3969/j.issn.0258-2724.20200737
MENG Wei, HE Chuan, WU Fangyin, CHEN Ziquan, ZHOU Zihan, KOU Hao. Effects of Thermal Stress of Rock Masses Generated by Geothermal Gradient on Rockburst Prediction[J]. Journal of Southwest Jiaotong University, 2022, 57(4): 903-909. doi: 10.3969/j.issn.0258-2724.20200737
Citation: MENG Wei, HE Chuan, WU Fangyin, CHEN Ziquan, ZHOU Zihan, KOU Hao. Effects of Thermal Stress of Rock Masses Generated by Geothermal Gradient on Rockburst Prediction[J]. Journal of Southwest Jiaotong University, 2022, 57(4): 903-909. doi: 10.3969/j.issn.0258-2724.20200737

地温梯度孕育的岩体热应力对岩爆预测的影响

doi: 10.3969/j.issn.0258-2724.20200737
基金项目: 国家重点研发计划(2016YFC0802201);高铁联合基金重点项目(U1734205)
详细信息
    作者简介:

    蒙伟(1990—),男,博士研究生,研究方向为隧道与地下工程,E-mail:yelang123151@my.swjtu.edu.cn

    通讯作者:

    何川(1964—),男,教授,博士生导师,研究方向为隧道与地下工程,E-mail:Chuanhe21@163.com

  • 中图分类号: TU45

Effects of Thermal Stress of Rock Masses Generated by Geothermal Gradient on Rockburst Prediction

  • 摘要:

    为使在高地温环境下通过水压致裂获得的应力更加真实地预测岩爆,提出在岩爆预测过程中应考虑地温梯度孕育的岩体热应力. 结合弹性理论获得了在高地温环境下水压致裂的理论应力解;基于此理论应力解对圆形隧道进行了岩爆预测;应用岩体热应力公式对桑珠岭隧址区的岩爆进行了预测. 研究结果表明:在高地温环境下,恒定压力和水平主应力会增加约一倍的岩体热应力,裂隙重开压力会增加约两倍的岩体热应力,垂直应力不变;如果在高地温环境下直接采用水压致裂测得的应力进行岩爆预测,当水平原位地应力大于竖向原位地应力时,得到的岩爆等级偏高,当水平原位地应力在重力应力和竖向原位地应力之间时,得到的岩爆预测位置与实际不一致,当水平原位地应力小于重力应力时,得到的岩爆等级偏低;桑珠岭隧址区的岩体热应力约为重力应力的61%,若不考虑此热应力进行岩爆预测会导致严重的错误.

     

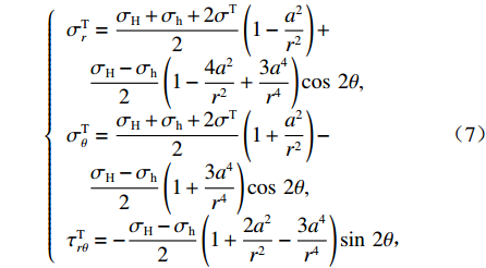
  • 图 1  水压致裂应力测量的力学模型

    Figure 1.  Mechanical model of hydraulic fracturing stress measurement

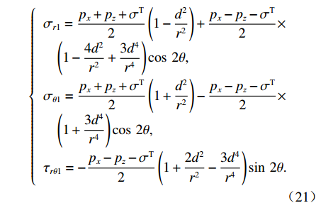
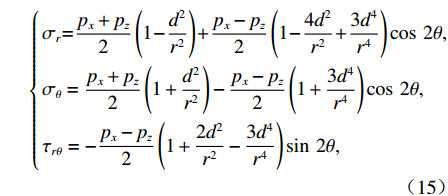
    图 2  垂直应力不考虑岩体热应力的圆形隧道计算模型

    Figure 2.  Calculated model of a circular tunnel that vertical stresses do not add the thermal stress of rock masses

    图 3  桑珠岭隧道概况

    Figure 3.  General situation of the Sangzhuling tunnel

    图 4  岩爆预测的模型边界

    Figure 4.  Model boundary for rockburst prediction

    图 5  切向应力云图

    Figure 5.  Nephogram of tangential stresses

    表  1  计算参数

    Table  1.   Calculation parameters

    参数数值单位
    弹性模量36GPa
    泊松比 v0.2
    重度$\gamma $26kN·m−3
    黏聚力15MPa
    内摩擦角50(°)
    热膨胀系数$\beta $8 × 10−6−1
    导热系数3.69W·(m·K)−1
    比热容630J·(kg·℃)−1
    下载: 导出CSV
  • [1] HE M C, MIAO J L, FENG J L. Rock burst process of limestone and its acoustic emission characteristics under true-triaxial unloading conditions[J]. International Journal of Rock Mechanics and Mining Sciences, 2010, 47(2): 286-298. doi: 10.1016/j.ijrmms.2009.09.003
    [2] 李天斌,潘皇宋,陈国庆,等. 热-力作用下隧道岩爆温度效应的物理模型试验[J]. 岩石力学与工程学报,2018,37(2): 261-273.

    LI Tianbin, PAN Huangsong, CHEN Guoqing, et al. Physical model tests on thermo-mechanical effects in rockbursts around tunnels[J]. Chinese Journal of Rock Mechanics and Engineering, 2018, 37(2): 261-273.
    [3] 严健,何川,汪波,等. 雅鲁藏布江缝合带深埋长大隧道群岩爆孕育及特征[J]. 岩石力学与工程学报,2019,38(4): 769-781.

    YAN Jian, HE Chuan, WANG Bo, et al. Inoculation and characters of rockbursts in extra-long and deep-lying tunnels located on Yarlung Zangbo suture[J]. Chinese Journal of Rock Mechanics and Engineering, 2019, 38(4): 769-781.
    [4] CHEN G Q, LI T B, ZHANG G F, et al. Temperature effect of rock burst for hard rock in deep-buried tunnel[J]. Natural Hazards, 2014, 72(2): 915-926. doi: 10.1007/s11069-014-1042-6
    [5] 苏国韶,陈智勇,尹宏雪,等. 高温后花岗岩岩爆的真三轴试验研究[J]. 岩土工程学报,2016,38(9): 1586-1594. doi: 10.11779/CJGE201609005

    SU Guoshao, CHEN Zhiyong, YIN Hongxue, et al. True triaxial tests on rockburst of granite after high temperatures[J]. Chinese Journal of Geotechnical Engineering, 2016, 38(9): 1586-1594. doi: 10.11779/CJGE201609005
    [6] AKDAG S, KARAKUS M, TAHERI A, et al. Effects of thermal damage on strain burst mechanism for brittle rocks under true-triaxial loading conditions[J]. Rock Mechanics and Rock Engineering, 2018, 51(6): 1657-1682. doi: 10.1007/s00603-018-1415-3
    [7] 王庆武,巨能攀,黄健,等. 桑珠岭特长隧道初始地应力场反演分析[J]. 科学技术与工程,2016,16(25): 137-143. doi: 10.3969/j.issn.1671-1815.2016.25.023

    WANG Qingwu, JU Nengpan, HUANG Jian, et al. Regression analysis of initial geostress field of sangzhuling super-long tunnel[J]. Science Technology and Engineering, 2016, 16(25): 137-143. doi: 10.3969/j.issn.1671-1815.2016.25.023
    [8] 于学馥, 郑颖人, 刘怀恒, 等. 地下工程围岩稳定分析[M]. 北京: 煤炭工业出版社, 1983: 51-52.
    [9] 郑颖人, 朱合华, 方正昌, 等. 地下工程围岩稳定分析与设计理论[M]. 北京: 人民交通出版社, 2012: 17-21
    [10] 岑衍强, 侯祺棕. 矿内热环境工程[M]. 武汉: 武汉工业大学出版社, 1989.
    [11] 蔡美峰, 乔兰, 李华斌. 地应力测量原理和技术[M]. 北京: 科学出版社, 1995: 38-40.
    [12] 周总瑛,刘世良,刘金侠. 中国地热资源特点与发展对策[J]. 自然资源学报,2015,30(7): 1210-1221. doi: 10.11849/zrzyxb.2015.07.013

    ZHOU Zongying, LIU Shiliang, LIU Jinxia. Study on the characteristics and development strategies of geothermal resources in China[J]. Journal of Natural Resources, 2015, 30(7): 1210-1221. doi: 10.11849/zrzyxb.2015.07.013
    [13] 严健,何川,汪波,等. 热力耦合作用下拉林铁路桑珠岭隧道岩爆预测[J]. 西南交通大学学报,2018,53(3): 434-441. doi: 10.3969/j.issn.0258-2724.2018.03.002

    YAN Jian, HE Chuan, WANG Bo, et al. Prediction of rock bursts for sangzhuling tunnel located on Lhasa-Nyingchi railway under coupled thermo-mechanical effects[J]. Journal of Southwest Jiaotong University, 2018, 53(3): 434-441. doi: 10.3969/j.issn.0258-2724.2018.03.002
    [14] 李天斌, 孟陆波, 王兰生. 高地应力隧道稳定性及岩爆、大变形灾害防治[M]. 北京: 科学出版社, 2016.
    [15] 吴枋胤,何川,汪波,等. 基于洞壁实测信息的FA-PP岩爆预测模型应用研究[J]. 中国公路学报,2020,33(11): 215-225. doi: 10.3969/j.issn.1001-7372.2020.11.020

    WU Fangyin, HE Chuan, WANG Bo, et al. Application research of FA-PP rockburst prediction modelfor tunnel walls[J]. China Journal of Highway and Transport, 2020, 33(11): 215-225. doi: 10.3969/j.issn.1001-7372.2020.11.020
  • 加载中
图(5) / 表(1)
计量
  • 文章访问数:  676
  • HTML全文浏览量:  302
  • PDF下载量:  30
  • 被引次数: 0
出版历程
  • 收稿日期:  2020-11-10
  • 修回日期:  2020-12-29
  • 刊出日期:  2021-01-06

目录

    /

    返回文章
    返回