Experimental Investigation on Behavior of Rectangular Concrete-Filled Stainless Steel Tubular Stub Columns under Axial Loading
-
摘要:
为了研究矩形不锈钢管混凝土短柱轴压承载力性能,对7组不同截面尺寸的矩形不锈钢管混凝土短柱进行轴压试验,得到了不同试件的破坏模式、荷载-位移曲线、荷载-横向应变曲线、荷载-纵向应变曲线、荷载-长宽比曲线,分析了矩形截面长宽比对试件承载力的影响. 研究结果表明:矩形不锈钢管混凝土短柱在轴向压力作用下,其典型破坏模式为试件局部向外屈曲破坏;在相同长宽比的情况下,壁厚由4 mm增加到6 mm时,试件承载力增加25%~57%;在相同壁厚的情况下,长宽比由1增加到2,试件承载力减小22%~30%;将本文试验数据与国内外普通碳钢钢管混凝土柱的相关规范和标准的计算结果进行对比分析,发现不锈钢管混凝土短柱轴压承载力较相同截面的普通碳钢钢管混凝土短柱承载力平均高出14%;通过数值拟合得到了轴压承载力计算公式,该计算公式能较好地预测矩形不锈钢管混凝土短柱轴压承载力.
Abstract:In order to study the axial compressive behavior of rectangular concrete-filled stainless steel tubular (CFSST) short columns, axial compression tests were conducted on seven groups of rectangular CFSST short columns with different cross-sectional sizes. The failure modes, load-displacement curves, load-circumferential strain curves, load-longitudinal strain curves, and load-cross-sectional aspect ratio curves of different specimens under axial compression were obtained. The influence of aspect ratio of the rectangular cross-section on the bearing capacity of the specimens was analyzed. The results show that the typical failure mode of rectangular CFSST short columns under axial compression was local outward buckling. Under the same aspect ratio, when the wall thickness of the specimens increases from 4 mm to 6 mm, the bearing capacity of the specimens increases by 25%–57%. With the fixed wall thickness, when the aspect ratio of specimens increases from 1 to 2, the bearing capacity decreases by 22%–30%. Comparison of the test results with the calculated results by relevant codes and standards indicates that the bearing capacity of CFSST stub columns is more than 14% higher than that of the concrete-filled conventional carbon steel tubular stub columns with the same section. Furthermore, a formula for calculating the axial compression bearing capacity is obtained by numerical fitting of the data obtained in this study and those from literature, which can well predict the bearing capacity of rectangular CFSST short columns.
-
钢管混凝土柱是一种高强度、高刚度的组合构件. 当构件受压时,外部钢管对内部混凝土起到约束其变形的作用,延缓混凝土在受压下的开裂,而外部钢管也因为内部混凝土的填充,使其截面刚度提高[1]. 钢管混凝土按截面形式不同,可分为圆钢管混凝土、方钢管混凝土和矩形钢管混凝土. 矩形钢管因节点构造较为简单,能提高施工速度,所以在施工方面得到更广泛的应用[1].
目前,国内外对矩形普通碳钢钢管混凝土结构的相关理论和试验研究已经相对成熟:韩林海等[2] 对不同约束效应系数和长宽比的矩形截面钢管混凝土短柱进行了轴压试验研究,分析了两参数对其力学性能和强度承载力的影响,比较几种设计规程在进行矩形钢管混凝土强度承载力计算时的差异;郭红香等[3]提出一种将方钢管混凝土转化为圆钢管混凝土的极限承载力的简化计算方法;龙跃凌等[4]针对矩形钢管混凝土钢管长边、短边对核心混凝土约束作用大小不同和竖向强度不同的特点,提出了一种基于混凝土三轴受力试验的破坏准则的承载力计算新方法;Luo等[5] 提出了一种基于三剪统一屈服准则的方钢管混凝土受压柱极限强度简化分析方法;刘洁等[6]基于极限平衡理论推导了方钢管混凝土柱轴压承载力计算公式;胡红松等[7]提出了一种在方钢管混凝土柱试件上部设置轴力测量段的试验方法,用于直接测量轴压下方钢管混凝土柱中钢管和混凝土所承担的轴压力,在此基础上,提出了方钢管混凝土柱的轴压承载力计算式;王庆利等[8]研究钢管混凝土轴压短柱中钢管和混凝土的应力、应变等的分布规律. 得出了圆钢管对混凝土的约束作用好于方钢管,方试件在截面弯角处的约束力最大;史庆轩等[9]对钢管混凝土柱和钢管柱试件进行轴向往复加载试验,研究了加载路径及长径比等参数对其抗震性能的影响,并讨论了钢管与混凝土间的相互作用;Jung等[10] 对HSB800方形钢管混凝土柱进行轴压试验,研究了高强度方钢管混凝土柱承载力的影响因素;Ibañez等[11] 对钢管混凝土柱进行轴压试验,讨论了影响钢管混凝土柱承载能力的因素;Abhilash等[12]利用轴压试验研究了各参数对半轻集料混凝土填充钢管混凝土柱轴心受压承载力的影响;余敏等[13]利用一次二阶矩法对钢管混凝土构件轴压承载力设计公式进行可靠度分析.
由于不锈钢的力学性能异于普通碳钢,前述对矩形普通碳钢钢管混凝土的研究成果是否适用于非矩形不锈钢钢管混凝土还需进一步探讨. 当前,对于圆不锈钢管混凝土,文献[14-15]研究了影响轴压短柱的承载力、延性、刚度等因素. 同时,文献[15-22]验证了普通碳素钢管混凝土的设计规范对不锈钢钢管混凝土的极限承载力计算的适用性. Patel等[15]提出了一个考虑不锈钢全范围三阶段应力-应变关系的纤维单元模型. 唐红元等[15]提出了圆不锈钢管混凝土短柱承载力简化计算公式;廖飞宇[23]利用ABAQUS有限元软件比较了不锈钢钢管混凝土短柱和普通钢管混凝土短柱的性能差异.
在矩形不锈钢钢管混凝土方面,Brian等 [19]对不锈钢钢管混凝土短柱进行了一系列测试,以探讨其在轴向压缩或轴向力与弯矩的共同作用下的性能,将试验结果与几种常用碳钢管混凝土柱设计方法进行了比较,得到了这些规范在一定程度上比较保守. Lam[18]研究了混凝土强度对不锈钢管混凝土短柱承载力的影响,将试验结果与欧洲和美国规程进行对比,进而提出了一种连续强度法. Young等[24]对冷弯薄壁高强度不锈钢管柱进行了试验,研究了不同混凝土柱强度等参数对柱性能的影响,提出了使用有效宽度概念,考虑了局部屈曲影响的高强不锈钢钢管混凝土柱的设计建议. Dabaon等[25]对不锈钢管混凝土加劲短柱进行了试验研究,将试验结果与欧洲规范和ASCE计算值进行对比,两种公式对矩形不锈钢管混凝土加劲短柱是非常保守的.
本文以不同截面尺寸的矩形不锈钢管混凝土短柱为研究对象进行轴压试验,在矩形普通碳素钢管混凝土轴压短柱现有研究基础上,通过改变不锈钢管的壁厚、长宽比等参数研究矩形不锈钢管混凝土短柱在轴压作用下的力学性能和破坏机制;随后,再利用本文和其他学者的试验数据,与其他规范得出的计算值进行对比,研究普通钢管混凝土短柱轴压承载力计算方法是否适用于不锈钢管混凝土短柱;最后通过数值拟合的方法提出了矩形不锈钢管混凝土短柱轴压承载力计算方法.
1. 试验概况
1.1 试件设计与制作
试件采用矩形奥氏体304无缝不锈钢管,共7组,壁厚分别为4、5、6 mm,各试件的主要实测尺寸见表1. 其中:a为矩形钢管长边;b为矩形钢管短边;t为不锈钢管的壁厚;L为试件的高度;fcu为混凝土立方体抗压强度实测值;fck为混凝土轴心抗压强度标准值;σ0.2为不锈钢名义屈服强度. 试件编号根据相应的参数命名.
采用矩形奥氏体304无缝不锈钢,按照GB/T 228.1—2010《金属材料拉伸试验第1部分:室温试验方法》[26]的标准进行检测,测得σ0.2,见表1. 本文设计混凝土强度等级为C40,浇筑核心混凝土之前,先打磨并清洗矩管,然后浇筑核心混凝土,同时浇筑3个立方体试块,在同条件下自然养护28 d,养护完成的试件顶底面打磨平整光滑,防止加载时出现偏压. 混凝土力学性能试验依据国家标准GB/T 50081—2002《普通混凝土力学性能试验方法标准》[27],测得混凝土立方体抗压强度平均值为43.96 MPa.
表 1 试件参数Table 1. Parameters of specimens试件编号 a/mm b/mm t/mm L/mm fcu/MPa fck/MPa σ0.2/MPa 120 × 60 × 4 120.0 61.3 4.4 359.7 44.0 28.9 538 120 × 60 × 5 119.5 60.4 5.4 360.3 44.0 28.9 581 120 × 80 × 4 119.8 81.0 4.2 359.6 44.0 28.9 516 120 × 80 × 5 120.5 81.1 5.0 361.0 44.0 28.9 558 120 × 120 × 4 120.8 120.3 4.0 360.2 44.0 28.9 549 120 × 120 × 5 120.0 120.5 5.4 360.5 44.0 28.9 578 120 × 120 × 6 120.5 120.1 5.8 361.2 44.0 28.9 598 1.2 试验加载方案及测点布置
试验在3000 kN电液伺服万能试验机上进行,试验荷载和应变等数据信息通过计算机数据采集系统自动采集. 利用叠加法Pu=fcAc + fyAs对试件的承载力进行预估,其中:fc为混凝土轴心抗压强度设计值;Ac为核心混凝土的面积;fy取不锈钢屈服强度σ0.2;As为不锈钢管横截面面积. 试验采用全程位移控制加载,速率为 0.6 mm/min,试件加载至发生明显破坏时停止. 试验加载装置如图1(a)所示. 应变片布置如图1(b),共12个应变片分别布置在钢管上中下部表面(H1-a、S1-a和H1-b、S1-ab),其中,6个应变片检测不锈钢管外壁在加载过程中的横向应变,另外6个则检测纵向应变. 同时,在试件两相邻两面布置2个位移计((LVDT1、LVDT2)),以校核加载系统的竖向位移.
2. 试验结果及分析
2.1 试验现象
在试验的全过程中,矩形钢管混凝土短柱的损伤发展过程大体类似. 在受荷初期,外观上无明显变化;当上升至试件峰值承载力的95%左右时,试件120 × 60 × 4和试件120 × 80 × 4在距长边上端表面10 cm左右(试件高度的28%). 试件120 × 60 × 5和试件120 × 80 × 5在距长边上端表面4 cm左右(试件高度的11%)处开始出现轻微鼓曲;随着位移的持续增大,试件120 × 60 × 4和试件120 × 60 × 5短边上端表面在相应处也出现轻微鼓曲,试件120 × 80 × 4和试件120 × 80 × 5分别在距短边上端和下端表面15 cm左右处出现轻微鼓曲,长边上端表面鼓曲继续加大,试件120 × 60 × 4和试件120 × 80 × 5在距下端表面4 cm左右(试件高度的11%)处开始出现轻微鼓曲;加载后期,由于端部效应,壁厚为5 mm的试件上、下端出现扁平式褶皱,试件120 × 60 × 5出现“大象足”环形褶皱比较明显,最后由于试件变形过大而终止试验,所有试件均呈现局部向外屈曲破坏. 图2(a)、(b)、(c)为试件的最终破坏形态.
在加载初期,方形钢管在试验的全过程中无明显变化. 对于试件120 × 120 × 4和120 × 120 × 6,当承载力分别下降到1 786 kN(峰值承载力的98.5%)和2 910 kN(接近峰值承载力)时,在距试件底部13~15 cm和顶部10 cm处出现轻微鼓曲,随着位移的增加,鼓曲变形明显增大. 对于试件120 × 120 × 5,当承载力下降到2 201 kN(峰值承载力的99%)时,不锈钢管中部开始出现鼓曲,随后,同一表面距上、下两端5 cm及相邻一面顶端7 cm处开始出现鼓曲,随着荷载的增加,所有鼓曲变形加大,钢管表面呈现连续的波状屈曲,两个波峰之间的间距与边宽大致相等,且在同一截面外相邻面均为外凸的扁椭球面屈曲,最后所有试件向外局部屈曲发生破坏,终止试验. 图2(e)、(f)、(g)为试件的最终破坏形态.
2.2 荷载-变形曲线
图3为试件的荷载-位移曲线,其中,曲线中的位移为加载系统的竖向位移. 由图3所示:曲线一般可分为弹性阶段、弹塑性阶段、下降段及平稳段. 1) 在弹性阶段,由于混凝土的泊松比小于不锈钢管,不锈钢管和核心混凝土一般各自单独受力,曲线在此阶段呈线性快速增长;2) 进入弹塑性阶段后,核心混凝土在轴向压力作用下,微裂缝将不断开展,当其泊松比超过不锈钢的泊松比时,其横向变形将受到不锈钢管的约束,曲线呈非线性缓慢增长;3) 荷载-位移曲线达到最高点(短柱的极限承载力)之后开始下降,说明极限荷载之后,核心混凝土由于约束作用提高的承载力不能弥补不锈钢管减小的纵向内力;由于约束作用的减小,不能有效的减缓承载力变化速率,下降阶段的下降幅度随着长宽比的增加逐渐增大;4) 平滑阶段荷载的变化幅度则趋于平缓,部分试件出现小幅上升,这是由于有的短柱经过迅速调整之后,不锈钢管对混凝土的约束作用加强,形成了平缓段之后开始出现上升段;5) 随着钢管壁厚的增加,由于不锈钢管面积的增大导致不锈钢管对核心混凝土的约束增强,极限承载力逐渐提高,但是达到极限荷载时的位移变小.
2.3 荷载-应变曲线
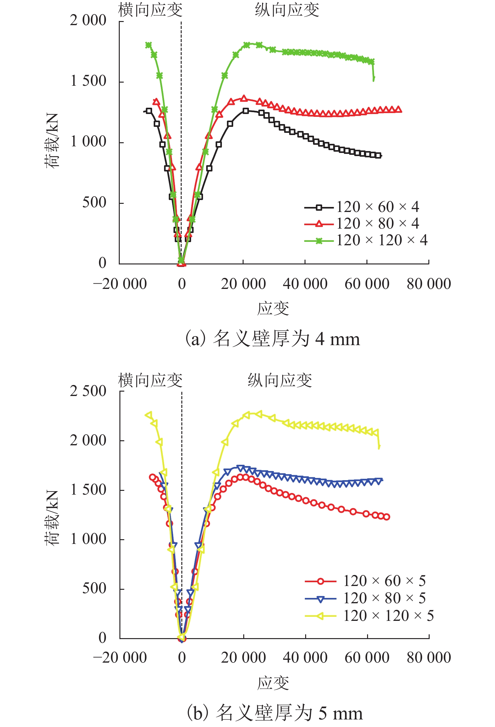
图4、5分别对相同名义壁厚、相同名义长宽比(η)的矩形不锈钢管混凝土短柱横向(负数部分)和纵向(正数部分)应变进行比较,应变由钢管表面上的应变片所测得. 可以看出,不同试件的横向和纵向应变变化规律基本一致.
由图4可知: 1) 荷载-横向应变曲线的斜率绝对值大于荷载-纵向曲线的斜率绝对值. 2) 弹性阶段,由于混凝土的泊松比小于不锈钢管的泊松比,截面长宽比对曲线的弹性段没有明显影响;3) 弹塑性阶段,随着长宽比的增加,相同壁厚的试件所对应的荷载-应变曲线的斜率绝对值随之减小,这是由于外钢管对核心混凝土的横向变形产生约束限制了混凝土的横向变形,长宽比越大,横向变形约束越小; 4) 截面长宽比越大,其下降段越长,达到平滑段的时间就越晚,本文中,长宽比为1的试件其曲线趋势最为平稳,试件延性最好.
由图5可知:同长宽比的试件,达到极限承载力时的位移大致相同,且达到平滑阶段时,他们的变化趋势都基本一致;随着壁厚的增大,相同长宽比的试件所对应的荷载-横向应变曲线的斜率绝对值和荷载-纵向曲线的斜率绝对值也随之增大.
2.4 长宽比对承载力的影响
定义试件的η和试验得到每个试件的极限承载力与相同壁厚的方形截面试件极限承载力的比值ζ分别为
$$ \eta=\frac{a}{b}, $$ (1) $$ \zeta =\frac{N_{\mathrm{i}}}{N_{\mathrm{squ}}}, $$ (2) 式中:Ni为每个试件的极限承载力;Nsqu为相同壁厚的方形截面试件极限承载力.
η与ζ两者之间的关系如图6所示,相同参数试件的承载力取平均值. 由图6可知:矩形不锈钢管混凝土短柱的轴压承载力比值随长宽比的增加呈下降趋势,这是由于不锈钢管和混凝土截面面积减少造成的;随着长宽比由1.00增大到1.50,再由1.50增大到2.00,壁厚为5 mm的试件的承载力与相同壁厚的方形截面试件承载力的比值由1.00下降到0.78,再由0.78下降到0.73,壁厚为4 mm的试件的ζ由1.00下降到0.75,再由0.75下降到0.70,不锈钢管和混凝土截面面积减少幅度降低,因此,ζ的下降幅度逐渐降低.
3. 矩形不锈钢管混凝土短柱承载力
3.1 国内外规范和标准计算值对比
基于本文与其他研究者的试验数据,利用欧洲规范[28]、日本规范(AIJ-CFT)[29]、中国部分规范和标准DL/T 5085—2021[30]、DBJ 13-51—2010[31]、CECS 159—2004[32]计算的承载力与试验值进行对比. 各个文献中试件的基本参数如表2所示.
不同规范基于各文献试验数据的承载力计算值(N)与试验值(Ntest)见表3所示,其中:CECS采用叠加法计算;Nexp为预测值.
表 2 各试件的基本参数Table 2. Basic parameters of all specimens试件编号 As/mm2 Ac/mm2 σ0.2/MPa fck/MPa η 数据来源 120 × 60 × 4 1523 5836 538 29.48 2.00 本文 120 × 60 × 5 1824 5390 581 29.48 2.00 120 × 80 × 4 1606 8094 516 29.48 1.50 120 × 80 × 5 1921 7847 558 29.48 1.50 120 × 120 × 4 1857 12745 578 29.48 1.00 120 × 120 × 5 2462 11939 598 29.48 1.00 120 × 120 × 6 2680 11829 549 29.48 1.00 200 × 110 × 4C40 2346 19088 503 31.22 1.80 文献[24] 160 × 80 × 3C40 1339 11637 536 31.22 2.00 160 × 80 × 3C60 1328 11568 536 41.47 2.00 140 × 80 × 3C40 1282 9861 486 31.22 1.75 140 × 80 × 3C60 1282 9861 486 41.47 1.75 150 × 150 × 6C40 3292 19250 497 31.22 1.00 150 × 150 × 6C60 3293 19281 497 41.47 1.00 150 × 150 × 3C40 1615 20988 448 31.22 1.00 150 × 150 × 3C60 1614 20989 448 41.47 1.00 100 × 100 × 2C30 856 9308 385 20.10 1.00 文献[17] 100 × 100 × 2C60 776 9269 385 35.51 1.00 100 × 100 × 5C30 1841 8123 458 20.10 1.00 100 × 100 × 5C60 1806 8151 458 35.51 1.00 50 × 50 × 2C20 384 2116 353 14.41 1.00 文献[18] 50 × 50 × 2C30 384 2116 353 23.38 1.00 50 × 50 × 3C20 564 1936 440 14.41 1.00 50 × 50 × 3C30 564 1936 440 23.38 1.00 100 × 100 × 3C20 1164 8836 358 14.41 1.00 100 × 100 × 3C30 1164 8836 358 23.38 1.00 100 × 100 × 5C20 1900 8100 435 14.41 1.00 100 × 100 × 5C30 1900 8100 435 23.38 1.00 150 × 150 × 3C20 1764 20736 268 14.41 1.00 150 × 150 × 3C30 1764 20736 268 23.38 1.00 150 × 150 × 5C20 2900 19600 340 14.41 1.00 150 × 150 × 5C30 2900 19600 340 23.38 1.00 表 3 承载力计算与试验值Table 3. Calculated and tested values of bearing capacity序号 试件编号 规范计算值 N /kN Ntest/kN Nexp/kN 文献[28] 文献[29] 文献[30] 文献[31] 文献[32] 1 120 × 60 × 4 985.75 970.45 954.93 1127.31 925.15 1261 1344 2 120 × 60 × 5 1115.91 1101.78 971.97 1340.03 1059.94 1632 1708 3 120 × 80 × 4 1090.13 1068.95 1132.21 1206.18 1006.19 1362 1410 4 120 × 80 × 5 1268.14 1247.58 1251.20 1435.89 1186.61 1732 1764 5 120 × 120 × 4 1455.26 1421.92 1584.14 1560.61 1323.19 1814 1866 6 120 × 120 × 5 1710.51 1679.26 1755.92 1895.83 1586.73 2274 2460 7 120 × 120 × 6 1946.23 1915.16 1938.93 2166.75 1823.13 2854 2430 8 200 × 110 × 4C40 1775.96 1692.74 1974.76 1915.92 2069.53 1627 2151 9 160 × 80 × 3C40 1081.01 1030.27 1209.70 1158.21 1259.98 882 1308 10 160 × 80 × 3C60 1191.53 1177.88 1352.79 1305.55 1427.86 1015 1369 11 140 × 80 × 3C40 930.91 887.91 1030.11 1008.94 1082.57 1049 1131 12 140 × 80 × 3C60 1031.98 1020.35 1160.93 1143.72 1233.44 1097 1192 13 150 × 150 × 6C40 2237.10 2153.17 2398.18 2458.97 2533.17 2768 2847 14 150 × 150 × 6C60 2436.20 2413.45 2652.82 2733.36 2830.11 2972 2967 15 150 × 150 × 3C40 1378.76 1287.25 1577.12 1495.00 1701.56 1381 1492 16 150 × 150 × 3C60 1593.48 1568.71 1852.90 1767.94 1701.15 1620 1621 17 100 × 100 × 2C30 516.65 517.06 571.55 546.95 608.80 534 613 18 100 × 100 × 2C60 627.90 672.20 721.54 696.10 790.01 687 651 19 100 × 100 × 5C30 1006.45 1006.81 1037.03 1115.46 1086.86 1410 1379 20 100 × 100 × 5C60 1116.59 1155.55 1162.70 1276.07 1259.15 1488 1431 21 50 × 50 × 2C20 166.04 174.22 177.42 178.63 155.86 261 224 22 50 × 50 × 2C30 185.02 198.32 198.70 205.09 165.81 282 235 23 50 × 50 × 3C20 276.05 283.54 283.80 314.89 266.74 417 393 24 50 × 50 × 3C30 293.42 305.59 287.35 341.35 275.84 543 404 25 100 × 100 × 3C20 544.03 578.18 586.94 570.90 501.53 716 709 26 100 × 100 × 3C30 623.29 678.83 682.87 676.75 543.06 757 757 27 100 × 100 × 5C20 943.22 974.52 993.26 1037.35 904.26 1449 1326 28 100 × 100 × 5C30 1015.87 1066.78 1042.10 1143.19 942.33 1490 1369 29 150 × 150 × 3C20 771.55 851.70 840.98 818.60 671.81 1062 897 30 150 × 150 × 3C30 957.55 1087.88 1078.87 1056.76 769.27 1209 1009 31 150 × 150 × 5C20 1268.43 1344.19 1362.93 1344.69 1174.16 1935 1668 32 150 × 150 × 5C30 1444.24 1567.43 1574.79 1582.84 1266.28 2048 1773 由表3可以看出:5种规范或标准在计算不锈钢矩管混凝土短柱承载力计算结果较为离散,尤其是N大于2 000 kN之后最为明显;标准DBJ 13-51—2003 [31]的计算结果与试验值最为接近,其比值的平均值为1.14,标准差为0.18;规范CECS159—2004[32]的计算值偏差最大,其比值的平均值为1.27,标准差为0.32;其余3种规范介于两者之间,其平均值分别为1.18、1.23、1.25,标准差分别为0.24、0.18、0.20;普通碳钢钢管混凝土承载力计算公式低估了不锈钢矩管混凝土短柱的承载力.
3.2 不锈钢管混凝土短柱轴压承载力计算方法
钢管混凝土短柱的极限抗压承载力可由核心混凝土与钢管两部分抗压能力组成,由于钢管和混凝土的相互作用,其承载力得到了提高. 韩林海[1]采用系数(ξss)表示不锈钢管对核心混凝土的约束效应,即
$$ \xi_{\mathrm{ss}}=\dfrac{A_{{\rm{s}}} \sigma_{0.2}}{A{_{\rm c}} f_{\rm c k}}. $$ (3) 文献[1]在参数分析结果的基础上采用了计算效率相对较高的纤维模型法得出了普通碳钢钢管混凝土短柱承载力计算式(用于标准DBJ 13-51—2003中):
$$ N=f_{{\rm{s c y}}}A_{{\rm{s c}}} \text{,} $$ (4) 式中:fscy 为钢管混凝土组合轴压强度指标,对于方、矩形钢管混凝土,fscy =(1.18 + 0.85ξss)fck;Asc 为钢管混凝土的截面面积.
通过前文计算可知承载力试验值与计算值之比的平均值为1.14,标准差为0.18. 由于普通碳钢钢管混凝土短柱承载力计算公式并不适用于不锈钢管混凝土短柱,现结合本文及相关文献试验数据,通过数值拟合(如图7),得到矩形不锈钢管混凝土短柱轴压承载力的推荐式为
$$ N_{\exp}=\left(0.60 + 1.52 \xi_{{\rm{ss}}}\right) A{_{{\rm{c}}}} f_{{\rm{ck}}}. $$ (5) 利用式(4)和拟合式(5)计算上述各文献的承载力,得到试验值与不同计算值比值对比图,见图8. 通过分析图8(a)可知:不锈钢管混凝土短柱轴压承载力较相同型号的普通碳钢钢管混凝土短柱承载力有所提高,平均高出14%;拟合式(5)的计算值比式(4)的计算结果更加接近试验值,且集中(见图8(b)),说明通过回归分析得到的式(5)可以较好地用于矩形不锈钢管混凝土短柱的承载力计算.
4. 结 论
1) 本次试验的矩形不锈钢管混凝土短柱,在应变为7 %时停止加载,对应的压缩变形为25 mm左右,其破坏形式都为局部向外屈曲破坏.
2) 矩形不锈钢管混凝土轴心受压时的力学性能与截面长宽比和钢管壁厚等有关,在具有相同壁厚的钢管构件中,随着钢管长宽比的增加,极限承载力逐渐减小. 又因为外钢管对核心混凝土的横向变形产生约束作用,限制了混凝土的横向变形,长宽比越大,横向变形约束越小. 同时,截面长宽比越大,荷载-纵向应变曲线下降段越长,达到平滑段的时间就越晚,试件稳定性越差. 在稳定性方面,方钢管优于矩形钢管. 随着钢管壁厚的增加,极限承载力逐渐提高,但是极限荷载对应的轴向位移越小.
3) 欧洲规范、日本规范(AIJ 2008)、中国部分规范和标准(DBJ 13-51—2003、DL/T 5085—1999、CECS 159—2004)应用于计算不锈钢矩管混凝土短柱承载力的计算结果偏于保守,其中标准DBJ 13-51—2003的计算结果与试验值吻合良好.
4) 本文通过对已有文献中矩形钢管混凝土短柱试验数据的回归分析,得到了矩形不锈钢管混凝土短柱承载力的建议公式,通过对比分析,表明采用该公式计算矩形不锈钢管混凝土短柱轴压承载力更接近试验结果.
-
表 1 试件参数
Table 1. Parameters of specimens
试件编号 a/mm b/mm t/mm L/mm fcu/MPa fck/MPa σ0.2/MPa 120 × 60 × 4 120.0 61.3 4.4 359.7 44.0 28.9 538 120 × 60 × 5 119.5 60.4 5.4 360.3 44.0 28.9 581 120 × 80 × 4 119.8 81.0 4.2 359.6 44.0 28.9 516 120 × 80 × 5 120.5 81.1 5.0 361.0 44.0 28.9 558 120 × 120 × 4 120.8 120.3 4.0 360.2 44.0 28.9 549 120 × 120 × 5 120.0 120.5 5.4 360.5 44.0 28.9 578 120 × 120 × 6 120.5 120.1 5.8 361.2 44.0 28.9 598 表 2 各试件的基本参数
Table 2. Basic parameters of all specimens
试件编号 As/mm2 Ac/mm2 σ0.2/MPa fck/MPa η 数据来源 120 × 60 × 4 1523 5836 538 29.48 2.00 本文 120 × 60 × 5 1824 5390 581 29.48 2.00 120 × 80 × 4 1606 8094 516 29.48 1.50 120 × 80 × 5 1921 7847 558 29.48 1.50 120 × 120 × 4 1857 12745 578 29.48 1.00 120 × 120 × 5 2462 11939 598 29.48 1.00 120 × 120 × 6 2680 11829 549 29.48 1.00 200 × 110 × 4C40 2346 19088 503 31.22 1.80 文献[24] 160 × 80 × 3C40 1339 11637 536 31.22 2.00 160 × 80 × 3C60 1328 11568 536 41.47 2.00 140 × 80 × 3C40 1282 9861 486 31.22 1.75 140 × 80 × 3C60 1282 9861 486 41.47 1.75 150 × 150 × 6C40 3292 19250 497 31.22 1.00 150 × 150 × 6C60 3293 19281 497 41.47 1.00 150 × 150 × 3C40 1615 20988 448 31.22 1.00 150 × 150 × 3C60 1614 20989 448 41.47 1.00 100 × 100 × 2C30 856 9308 385 20.10 1.00 文献[17] 100 × 100 × 2C60 776 9269 385 35.51 1.00 100 × 100 × 5C30 1841 8123 458 20.10 1.00 100 × 100 × 5C60 1806 8151 458 35.51 1.00 50 × 50 × 2C20 384 2116 353 14.41 1.00 文献[18] 50 × 50 × 2C30 384 2116 353 23.38 1.00 50 × 50 × 3C20 564 1936 440 14.41 1.00 50 × 50 × 3C30 564 1936 440 23.38 1.00 100 × 100 × 3C20 1164 8836 358 14.41 1.00 100 × 100 × 3C30 1164 8836 358 23.38 1.00 100 × 100 × 5C20 1900 8100 435 14.41 1.00 100 × 100 × 5C30 1900 8100 435 23.38 1.00 150 × 150 × 3C20 1764 20736 268 14.41 1.00 150 × 150 × 3C30 1764 20736 268 23.38 1.00 150 × 150 × 5C20 2900 19600 340 14.41 1.00 150 × 150 × 5C30 2900 19600 340 23.38 1.00 表 3 承载力计算与试验值
Table 3. Calculated and tested values of bearing capacity
序号 试件编号 规范计算值 N /kN Ntest/kN Nexp/kN 文献[28] 文献[29] 文献[30] 文献[31] 文献[32] 1 120 × 60 × 4 985.75 970.45 954.93 1127.31 925.15 1261 1344 2 120 × 60 × 5 1115.91 1101.78 971.97 1340.03 1059.94 1632 1708 3 120 × 80 × 4 1090.13 1068.95 1132.21 1206.18 1006.19 1362 1410 4 120 × 80 × 5 1268.14 1247.58 1251.20 1435.89 1186.61 1732 1764 5 120 × 120 × 4 1455.26 1421.92 1584.14 1560.61 1323.19 1814 1866 6 120 × 120 × 5 1710.51 1679.26 1755.92 1895.83 1586.73 2274 2460 7 120 × 120 × 6 1946.23 1915.16 1938.93 2166.75 1823.13 2854 2430 8 200 × 110 × 4C40 1775.96 1692.74 1974.76 1915.92 2069.53 1627 2151 9 160 × 80 × 3C40 1081.01 1030.27 1209.70 1158.21 1259.98 882 1308 10 160 × 80 × 3C60 1191.53 1177.88 1352.79 1305.55 1427.86 1015 1369 11 140 × 80 × 3C40 930.91 887.91 1030.11 1008.94 1082.57 1049 1131 12 140 × 80 × 3C60 1031.98 1020.35 1160.93 1143.72 1233.44 1097 1192 13 150 × 150 × 6C40 2237.10 2153.17 2398.18 2458.97 2533.17 2768 2847 14 150 × 150 × 6C60 2436.20 2413.45 2652.82 2733.36 2830.11 2972 2967 15 150 × 150 × 3C40 1378.76 1287.25 1577.12 1495.00 1701.56 1381 1492 16 150 × 150 × 3C60 1593.48 1568.71 1852.90 1767.94 1701.15 1620 1621 17 100 × 100 × 2C30 516.65 517.06 571.55 546.95 608.80 534 613 18 100 × 100 × 2C60 627.90 672.20 721.54 696.10 790.01 687 651 19 100 × 100 × 5C30 1006.45 1006.81 1037.03 1115.46 1086.86 1410 1379 20 100 × 100 × 5C60 1116.59 1155.55 1162.70 1276.07 1259.15 1488 1431 21 50 × 50 × 2C20 166.04 174.22 177.42 178.63 155.86 261 224 22 50 × 50 × 2C30 185.02 198.32 198.70 205.09 165.81 282 235 23 50 × 50 × 3C20 276.05 283.54 283.80 314.89 266.74 417 393 24 50 × 50 × 3C30 293.42 305.59 287.35 341.35 275.84 543 404 25 100 × 100 × 3C20 544.03 578.18 586.94 570.90 501.53 716 709 26 100 × 100 × 3C30 623.29 678.83 682.87 676.75 543.06 757 757 27 100 × 100 × 5C20 943.22 974.52 993.26 1037.35 904.26 1449 1326 28 100 × 100 × 5C30 1015.87 1066.78 1042.10 1143.19 942.33 1490 1369 29 150 × 150 × 3C20 771.55 851.70 840.98 818.60 671.81 1062 897 30 150 × 150 × 3C30 957.55 1087.88 1078.87 1056.76 769.27 1209 1009 31 150 × 150 × 5C20 1268.43 1344.19 1362.93 1344.69 1174.16 1935 1668 32 150 × 150 × 5C30 1444.24 1567.43 1574.79 1582.84 1266.28 2048 1773 -
[1] 韩林海. 钢管混凝土结构-理论与实践[M]. 3版. 北京: 科学出版社, 2016. [2] 韩林海,杨有福. 矩形钢管混凝土轴心受压构件强度承载力的试验研究[J]. 土木工程学报,2001,34(4): 22-31. doi: 10.3321/j.issn:1000-131X.2001.04.004HAN Linhai, YANG Youfu. Study on axial bearing capacity of concrete-filled-steel-tube columns with rectangular section[J]. China Civil Engineering Journal, 2001, 34(4): 22-31. doi: 10.3321/j.issn:1000-131X.2001.04.004 [3] 郭红香,赵均海,魏雪英. 方钢管混凝土轴压短柱承载力分析[J]. 工业建筑,2008,38(3): 4,9-11.GUO Hongxiang, ZHAO Junhai, WEI Xueying. Analysis of bearing capacity of concrete-filled square steel tube column under axial load[J]. Industrial Construction, 2008, 38(3): 4,9-11. [4] 龙跃凌,蔡健,黄炎生. 矩形钢管混凝土短柱轴压承载力[J]. 工业建筑,2010,40(7): 95-99.LONG Yueling, CAI Jian, HUANG Yansheng. Ultimate capacity of axially-loaded rectangular cft stub columns[J]. Industrial Construction, 2010, 40(7): 95-99. [5] LUO X Y, LIU W P. Mechanics behavior of concrete-filled square steel tube columns[J]. Applied Mechanics and Materials, 2012, 256/257/258/259: 662-665. doi: 10.4028/www.scientific.net/AMM.256-259.662 [6] 刘洁, 王正中. 方钢管混凝土短柱轴压极限承载力计算方法分析[J]. 建筑结构, 2015, 45(10): 21-25, 42.LIU Jie, WANG Zhengzhong. Analysis on calculating method of ultimate bearing capacity of concrete-filled square steel tube short columns under axial load[J], Building Structure, 2015, 45(10): 21-25, 42. [7] 胡红松,林康,刘阳,等. 方钢管混凝土中钢管和混凝土抗压强度研究[J]. 建筑结构学报,2019,40(2): 161-168.HU Hongsong, LIN Kang, LIU Yang, et al. Study on compressive strength of steel tube and concrete in square CFT columns[J]. Journal of Building Structures, 2019, 40(2): 161-168. [8] 王庆利,李瑞霖,李庆刚,等. 钢管高性能混凝土轴压短柱的静力性能(Ⅱ):机理分析及承载力[J]. 工业建筑,2013,43(3): 8-12.WANG Qingli, LI Ruilin, LI Qinggang, et al. Static performance of the high-performance concrete filled steel tubular stub column (Ⅱ):mechanism analysis and load bearing capacity[J]. Industrial Construction, 2013, 43(3): 8-12. [9] 史庆轩,蔡文哲,王斌. 轴向往复荷载作用下钢管混凝土柱抗震性能试验研究[J]. 建筑结构学报,2020,40(9): 88-97.SHI Qingxuan, CAI Wenzhe, WANG Bin. Experimental research on seismic behavior of concrete-filled steel tube columns under cyclic axial loading[J]. Journal of Building Structures, 2020, 40(9): 88-97. [10] JUNG H S, CHOI C S. An experimental study on the behavior of square concrete-filled high strength steel tube columns[J]. Journal of Iron and Steel Research, 2011, 18(S1): 878-882. [11] IBAÑEZ C, HERNÁNDEZ-FIGUEIRIDO D, PIQUER A. Shape effect on axially loaded high strength CFST stub columns[J]. Journal of Constructional Steel Research, 2018, 147: 247-256. doi: 10.1016/j.jcsr.2018.04.005 [12] ABHILASH M, JHANJHARI S, PARTHIBAN P, et al. Axial behaviour of semi-lightweight aggregate concrete-filled steel tube columns-A DOE approach[J]. Journal of Constructional Steel Research, 2019, 162(5): 105614.1-105614.16. [13] 余敏,李书磊,王圣松. 钢管混凝土构件轴压承载力设计公式的可靠度分析[J]. 建筑钢结构进展,2017,19(2): 45-52,67.YU Min, LI Shulei, WANG Shengsong. Reliability analysis of the bearing capacity of concrete-filled steel tube under axial compression[J]. Progress in Steel Building Structures, 2017, 19(2): 45-52,67. [14] 陈誉,李凤霞,王江. 热成型不锈钢圆管混凝土轴压短柱受力性能试验研究[J]. 建筑结构学报,2013,34(2): 106-112.CHEN Yu, LI Fengxia, WANG Jiang. Experimental study on axial compressive behavior of concrete-filled thermoforming stainless steel tubular stub columns[J]. Journal of Building Structures, 2013, 34(2): 106-112. [15] PATEL V I, LIANG Q Q, HADI M N S. Nonlinear analysis of axially loaded circular concrete-filled stainless steel tubular short columns[J]. Journal of Constructional Steel Research, 2014, 101: 9-18. doi: 10.1016/j.jcsr.2014.04.036 [16] 唐红元,范璐瑶,赵鑫,等. 圆不锈钢管混凝土短柱轴压承载力模型研究[J]. 工程科学与技术,2020,52(3): 10-20.TANG Hongyuan, FAN Luyao, ZHAO Xin, et al. Bearing capacity model of circular concrete-filled stainless steel stub columns under uniaxial compression[J]. Advanced Engineering Sciences, 2020, 52(3): 10-20. [17] 代鹏,杨璐,卫璇,等. 不锈钢管混凝土短柱轴压承载力试验研究[J]. 工程力学,2019,36(增刊1): 298-305.DAI Peng, YANG Lu, WEI Xuan, et al. Experimental studies on the behavior and capacity of concrete filled stainless steel tube short columns[J]. Engineering Mechanics, 2019, 36(S1): 298-305. [18] LAM D, GARDNER L. Structural design of stainless steel concrete filled columns[J]. Journal of Constructional Steel Research, 2008, 64(11): 1275-1282. doi: 10.1016/j.jcsr.2008.04.012 [19] BRIAN U, ZHONG T, HAN L H. Behaviour of short and slender concrete-filled stainless steel tubular columns[J]. Journal of Constructional Steel Research, 2011, 67(3): 360-378. doi: 10.1016/j.jcsr.2010.10.004 [20] 徐晨豪,赵俊亮,金国平. 圆不锈钢管混凝土轴压短柱三维有限元分析[J]. 混凝土,2017(7): 44-46,49. doi: 10.3969/j.issn.1002-3550.2017.07.011XU Chenhao, ZHAO Junliang, JIN Guoping. Three-dimensional finite element analysis of concrete filled circular stainless steel tubular stubs[J]. Concrete, 2017(7): 44-46,49. doi: 10.3969/j.issn.1002-3550.2017.07.011 [21] 纪官运. 不锈钢管混凝土构件承载力计算方法及应用[D]. 大连: 大连理工大学, 2018. [22] DING F X, YIN Y X, MAO J F, et. al. Analytical behaviors of concrete-filled circular stainless steel tubular (CFCSST) stub columns under axial loading[J]. Structures, 2019, 19: 277-285. doi: 10.1016/j.istruc.2019.01.013 [23] 廖飞宇. 圆不锈钢管混凝土轴压力学性能的有限元分析[J]. 福建农林大学学报(自然科学版), 2009, 38(6): 659-662.LIAO Feiyu. Finite element analysis for circular concrete-filled stainless steel tubular column under axial compression[J]. Journal of Fujian Agriculture and Forestry University (Natural Science Edition), 2009, 38(6): 659-662. [24] YOUNG B, ELLOBODY E. Experimental investigation of concrete-filled cold-formed high strength stainless steel tube columns[J]. Journal of Constructional Steel Research, 2006, 62(5): 484-492. doi: 10.1016/j.jcsr.2005.08.004 [25] DABAON M, EL-KHORIBY S, EL-BOGHDADI M, et al. Confinement effect of stiffened and unstiffened concrete-filled stainless steel tubular stub columns[J]. Journal of Constructional Steel Research, 2009, 65(8/9): 1846-1854. [26] 国家质量监督检验检疫总局, 中国国家标准化管理委员会. 金属材料拉伸试验第1部分: 室温试验方法: GB/T 228.1—2010[S]. 北京: 中国标准出版社, 2011. [27] 中华人民共和国建设部, 国家质量监督检验检疫总局. 普通混凝土力学性能试验方法标准: GB/T 50081—2002[S]. 北京: 中国建筑工业出版社, 2003 [28] European Committee for Standardization. Design of composite steel and concrete structures, part 1.1: general rules and rules for buildings: EC4[S]. Brussels: European Committee for Standardization, 2004. [29] Architectural Institute of Japan. Recommendations for design and construction of concrete filled steel tubular structures: AIJ-CFT[S]. Tokyo: Architectural Institute of Japan, 1997. [30] 国家能源局. 钢-混凝土组合结构设计规程: DL/T 5085—2021[S]. 北京: 中国计划出版社, 2021. [31] 福建省住房和城乡建设厅. 钢管混凝土结构技术规程: DBJ/T 13-51—2010[S]. 福州: 福建省住房和城乡建设厅, 2010. [32] 中国工程建设标准化协会. 矩形钢管混凝土结构技术规程: CECS 159—2004[S]. 北京: 中国计划出版社, 2004. 期刊类型引用(6)
1. 罗胜豪, 蒋华. 正六边形不锈钢管混凝土中长柱受压性能试验研究. 建筑结构. 2025(12)
百度学术2. 唐红元,曾跃佳,刘烨. 圆不锈钢管超高性能混凝土短柱轴压性能研究. 工程力学. 2025(02): 87-97 .
百度学术3. 王志滨,张铋晗,林万福,柯丞樑. 内置型钢的圆形不锈钢管混凝土构件的抗弯性能. 建筑钢结构进展. 2024(08): 11-18 .
百度学术4. 唐红元,廖静,刘瑞忠,胡晓维. 方中空不锈钢管混凝土短柱轴压承载力性能. 西南交通大学学报. 2023(02): 421-429 .
本站查看5. 程展,李俊华,刘子丹,杜国锋. 内置钢骨的方形不锈钢管超高性能混凝土短柱轴压力学性能. 建筑科学与工程学报. 2023(05): 78-88 .
百度学术6. 岳鹏,何建,李豪强,周燕. 轴心受压带剪力键的不锈钢钢管混凝土短柱承载力试验研究. 应用科技. 2022(01): 105-110 .
百度学术其他类型引用(19)
-

下载:





下载:
百度学术







