• ISSN 0258-2724
  • CN 51-1277/U
  • EI Compendex
  • Scopus 收录
  • 全国中文核心期刊
  • 中国科技论文统计源期刊
  • 中国科学引文数据库来源期刊

高浓度混合骨料充填料浆管道输送特性试验研究

吴凡 杨志强 高谦

吴凡, 杨志强, 高谦. 高浓度混合骨料充填料浆管道输送特性试验研究[J]. 西南交通大学学报, 2022, 57(2): 369-375. doi: 10.3969/j.issn.0258-2724.20200264
引用本文: 吴凡, 杨志强, 高谦. 高浓度混合骨料充填料浆管道输送特性试验研究[J]. 西南交通大学学报, 2022, 57(2): 369-375. doi: 10.3969/j.issn.0258-2724.20200264
WU Fan, YANG Zhiqiang, GAO Qian. Experimental Study on Pipeline Transport Characteristics of High-Concentration Mixed Aggregate Filling Slurry[J]. Journal of Southwest Jiaotong University, 2022, 57(2): 369-375. doi: 10.3969/j.issn.0258-2724.20200264
Citation: WU Fan, YANG Zhiqiang, GAO Qian. Experimental Study on Pipeline Transport Characteristics of High-Concentration Mixed Aggregate Filling Slurry[J]. Journal of Southwest Jiaotong University, 2022, 57(2): 369-375. doi: 10.3969/j.issn.0258-2724.20200264

高浓度混合骨料充填料浆管道输送特性试验研究

doi: 10.3969/j.issn.0258-2724.20200264
基金项目: 国家重点研发计划(2017YFC0602903)
详细信息
    作者简介:

    吴凡(1996—),男,博士研究生,研究方向为充填采矿技术与充填料浆性能,E-mail:wufanUSTB@163.com

    通讯作者:

    高谦(1956—),男,教授,博士,研究方向为充填采矿技术与固废综合利用,E-mail:gaoqian@ces.ustb.edu.cn

  • 中图分类号: TD853

Experimental Study on Pipeline Transport Characteristics of High-Concentration Mixed Aggregate Filling Slurry

  • 摘要:

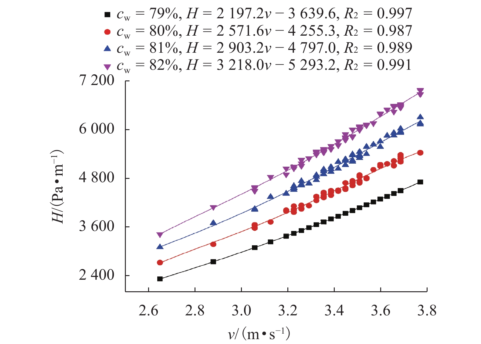
    为研究高浓度混合骨料充填料浆管道自流输送规律,利用甘肃某镍矿充填管道输送系统进行工业试验. 首先,通过工业试验获取不同条件下的料浆管输阻力,并分析了管输阻力与料浆流速、料浆浓度与石粉掺加量的关系;然后,基于变量相互独立的性质假设建立了管输阻力数学模型,同时探讨了管输阻力影响因素的交互作用大小;最后,通过流变试验及机理研究对管输阻力结果进行验证分析. 研究结果表明:管输阻力随料浆流速与浓度增加分别呈线性与幂函数增长趋势,与石粉掺加量呈现先减小后增大的抛物线变化规律,石粉掺加量为30%时对应的管输阻力最小;管输阻力影响因素的交互作用从大到小依次为料浆浓度与流速、石粉掺加量与流速、石粉掺加量与料浆浓度,管输阻力变化范围分别为2070~6920、2180~5970、3140~5530 Pa/m;流变参数随料浆浓度与石粉掺加量的增加分别呈增加和先减小后增大的变化趋势,验证了管输阻力的变化规律;流速的振动效应、浓度的黏稠作用与石粉的絮网理论是改变浆体流变特性与管道输送阻力的原因.

     

  • 图 1  管道输送试验系统

    Figure 1.  Experimental system of pipe transportation

    图 2  骨料级配曲线

    Figure 2.  Grading curves of aggregates

    图 3  压力变化曲线

    Figure 3.  Pressure variation curves

    图 4  不同料浆浓度下管输阻力与流速的关系

    Figure 4.  Relationships between transport resistance and flow velocity of slurry pipes for different slurry concentrations

    图 5  不同石粉掺量料浆管输阻力与流速的关系

    Figure 5.  Relationships between transport resistance and flow velocity of slurry pipes for different stone powder contents

    图 6  管输阻力与石粉掺量的关系

    Figure 6.  Relationship between pipeline transportation resistance and contents of stone powder

    图 7  不同因素对管输阻力的交互作用

    Figure 7.  Interaction of different factors on pipeline transportation resistance

    图 8  不同质量浓度的料浆流变参数

    Figure 8.  Rheological parameters of slurry with different mass concentrations

    图 9  不同石粉掺量的料浆流变参数

    Figure 9.  Rheological parameters of slurry with different stone powder contents

    图 10  絮网结构变化示意

    Figure 10.  Schematic chart of flocculation network structure change

    表  1  工业试验方案

    Table  1.   Industrial test plans

    试验
    编号
    水泥添
    加量/(kg•m−3)
    料浆
    浓度/%
    c/%
    A13107920
    A23108020
    A33108120
    A43108220
    B1310800
    B23108010
    B33108030
    B43108040
    下载: 导出CSV
  • [1] NASIR O, FALL M. Coupling binder hydration,temperature and compressive strength development of underground cemented paste backfill at early ages[J]. Tunnelling and Underground Space Technology, 2010, 25(1): 9-20. doi: 10.1016/j.tust.2009.07.008
    [2] 杨志强,高谦,王永前,等. 金川高应力矿床充填采矿技术研究进展与亟待解决的技术难题[J]. 中国工程科学,2015,17(1): 42-50. doi: 10.3969/j.issn.1009-1742.2015.01.006

    YANG Zhiqiang, GAO Qian, WANG Yongqian, et al. Research development of filling mining technique and technical problems to solve in Jinchuan Nickel Mine with high stress[J]. Strategic Study of CAE, 2015, 17(1): 42-50. doi: 10.3969/j.issn.1009-1742.2015.01.006
    [3] 李公成,王洪江,吴爱祥,等. 基于倾斜管实验的膏体自流输送规律[J]. 中国有色金属学报,2014,24(12): 3162-3164.

    LI Gongcheng, WANG Hongjiang, WU Aixiang, et al. Gravity transport law of paste based on inclined pipe experiment[J]. The Chinese Journal of Nonferrous Metals, 2014, 24(12): 3162-3164.
    [4] WANG X, ZHAO J, XUE J, et al. Features of pipe transportation of paste-like backfilling in deep mine[J]. Journal of Central South University, 2011, 18(5): 1413-1417. doi: 10.1007/s11771-011-0855-7
    [5] 吴爱祥,刘晓辉,王洪江,等. 结构流充填料浆管道输送阻力特性[J]. 中南大学学报(自然科学版),2014,45(12): 4325-4330.

    WU Aixiang, LIU Xiaohui, WANG Hongjiang, et al. Resistance characteristics of structure fluid backfilling slurry in pipeline transport[J]. Journal of Central South University (Science and Technology), 2014, 45(12): 4325-4330.
    [6] BHARATHAN B, MCGUINNESS M, KUHAR S, et al. Pressure loss and friction factor in non-Newtonian mine paste backfill:modelling,loop test and mine field data[J]. Powder Technology, 2019, 344: 443-453. doi: 10.1016/j.powtec.2018.12.029
    [7] 刘志祥,肖思友,王卫华,等. 海底开采高倍线强阻力充填料浆的输送[J]. 中国有色金属学报,2016,26(8): 1802-1810.

    LIU Zhixiang, XIAO Siyou, WANG Weihua, et al. Pipeline transportation of backfilling slurry with high filling times line and strong resistance in undersea mining[J]. The Chinese Journal of Nonferrous Metals, 2016, 26(8): 1802-1810.
    [8] 董慧珍,冯国瑞,郭育霞,等. 新阳矿充填料浆管道输送特性的试验研究[J]. 采矿与安全工程学报,2013,30(6): 880-885.

    DONG Huizhen, FENG Guorui, GUO Yuxia, et al. Pipe transportation characteristics of filling slurry in Xinyang mine[J]. Journal of Mining & Safety Engineering, 2013, 30(6): 880-885.
    [9] KUMAR U, MISHRA R, SINGH S N, et al. Effect of particle gradation on flow characteristics of ash disposal pipelines[J]. Powder Technology, 2003, 132(1): 39-51. doi: 10.1016/S0032-5910(03)00045-7
    [10] 吴迪,蔡嗣经,杨威,等. 基于CFD的充填管道固液两相流输送模拟及试验[J]. 中国有色金属学报,2012,22(7): 2133-2140.

    WU Di, CAI Sijing, YANG Wei, et al. Simulation and experiment of backfilling pipeline transportation of solid-liquid two-phase flow based on CFD[J]. The Chinese Journal of Nonferrous Metals, 2012, 22(7): 2133-2140.
    [11] 王有团. 金川低成本充填胶凝材料及高浓度料浆管输特性研究[D]. 北京: 北京科技大学, 2016.
    [12] 杨志强,姚维信,高谦,等. 棒磨砂充填料浆管道自流输送充填工艺与关键技术[J]. 新疆大学学报(自然科学版),2016,33(2): 221-228.

    YANG Zhiqiang, YAO Weixin, GAO Qian, et al. Filling process and key technology of pipeline gravity transport for rod mill sand filing slurry[J]. Journal of Xinjiang University (Natural Science Edition), 2016, 33(2): 221-228.
    [13] 张修香,乔登攀. 粗骨料高浓度充填料浆的管道输送模拟及试验[J]. 中国有色金属学报,2015,25(1): 258-266.

    ZHANG Xiuxiang, QIAO Dengpan. Simulation and experiment of pipeline transportation of high density filling slurry with coarse aggregates[J]. The Chinese Journal of Nonferrous Metals, 2015, 25(1): 258-266.
    [14] 邓代强,高永涛,吴顺川. 基于坍落度测试的粗骨料充填料浆流动性检验[J]. 北京建筑工程学院学报,2009,25(1): 30-33.

    DENG Daiqiang, GAO Yongtao, WU Shunchuan. Liquidity detection based on the slump testing of coarse aggregate fill ing material[J]. Journal of Beijing University of Civil Engineering and Architecture, 2009, 25(1): 30-33.
    [15] 陈广文,古德生,高泉. 高浓度浆体的浓度判据及其层流输送特性[J]. 中国有色金属学报,1995,5(4): 35-39. doi: 10.3321/j.issn:1004-0609.1995.04.019

    CHEN Guangwen, GU Desheng, GAO Quan. Concentration criterion of high concentration slurry and its laminar flow transport characteristics[J]. The Chinese Journal of Nonferrous Metals, 1995, 5(4): 35-39. doi: 10.3321/j.issn:1004-0609.1995.04.019
    [16] WU D, YANG B, LIU Y. Transportability and pressure drop of fresh cemented coal gangue-fly ash backfill (CGFB) slurry in pipe loop[J]. Powder Technology, 2015, 284: 218-224. doi: 10.1016/j.powtec.2015.06.072
    [17] 刘竹青. 流体力学[M]. 北京: 中国水利水电出版社, 2012.
    [18] 郝雪弟,张鹏程,郭吉昌,等. 煤泥管道输送压力损失特性的试验研究[J]. 煤炭工程,2009(12): 86-88. doi: 10.3969/j.issn.1671-0959.2009.12.031

    HAO Xuedi, ZHANG Pengcheng, GUO Jichang, et al. Experimental study on pressure loss feature of coal slurry pipeline transportation[J]. Coal Engineering, 2009(12): 86-88. doi: 10.3969/j.issn.1671-0959.2009.12.031
    [19] 陈秋松,张钦礼,王新民,等. 全尾砂似膏体管输水力坡度计算模型研究[J]. 中国矿业大学学报,2016,45(5): 901-906.

    CHEN Qiusong, ZHANG Qinli, WANG Xinmin, et al. Pipeline hydraulic gradient model of paste-like unclassified tailings backfill slurry[J]. Journal of China University of Mining and Technology, 2016, 45(5): 901-906.
  • 加载中
图(10) / 表(1)
计量
  • 文章访问数:  434
  • HTML全文浏览量:  258
  • PDF下载量:  14
  • 被引次数: 0
出版历程
  • 收稿日期:  2020-05-05
  • 录用日期:  2021-12-01
  • 修回日期:  2020-08-08
  • 刊出日期:  2020-09-15

目录

    /

    返回文章
    返回