• ISSN 0258-2724
  • CN 51-1277/U
  • EI Compendex
  • Scopus 收录
  • 全国中文核心期刊
  • 中国科技论文统计源期刊
  • 中国科学引文数据库来源期刊

极限分析法求解含软弱夹层边坡稳定性

徐鹏 尚念林 鲍晶晶 李婷

徐鹏, 尚念林, 鲍晶晶, 李婷. 极限分析法求解含软弱夹层边坡稳定性[J]. 西南交通大学学报, 2022, 57(4): 919-925. doi: 10.3969/j.issn.0258-2724.20200156
引用本文: 徐鹏, 尚念林, 鲍晶晶, 李婷. 极限分析法求解含软弱夹层边坡稳定性[J]. 西南交通大学学报, 2022, 57(4): 919-925. doi: 10.3969/j.issn.0258-2724.20200156
XU Peng, SHANG Nianlin, BAO Jingjing, LI Ting. Stability Analysis of Slopes with Weak Layers Using Limit Analysis Method[J]. Journal of Southwest Jiaotong University, 2022, 57(4): 919-925. doi: 10.3969/j.issn.0258-2724.20200156
Citation: XU Peng, SHANG Nianlin, BAO Jingjing, LI Ting. Stability Analysis of Slopes with Weak Layers Using Limit Analysis Method[J]. Journal of Southwest Jiaotong University, 2022, 57(4): 919-925. doi: 10.3969/j.issn.0258-2724.20200156

极限分析法求解含软弱夹层边坡稳定性

doi: 10.3969/j.issn.0258-2724.20200156
基金项目: 国家自然科学基金(52108331);河北省自然科学基金(E2021210010);河北省高等学校科学技术研究项目(ZD2021096,QN2021127);河北省引进留学人员资助项目(C20210305)
详细信息
    作者简介:

    徐鹏(1988—),男,讲师,研究方向为道路与铁道工程,E-mail:bk20090201@my.swjtu.edu.cn

    通讯作者:

    李婷(1992—),女,讲师,研究方向为地基变形控制与路基工程等,E-mail:liting9225@126.com

  • 中图分类号: TU41

Stability Analysis of Slopes with Weak Layers Using Limit Analysis Method

  • 摘要:

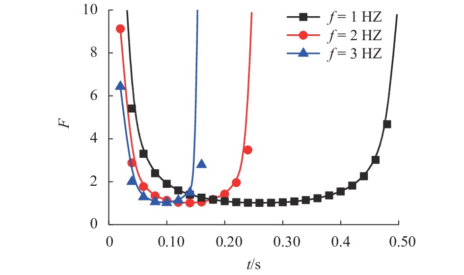
    软弱夹层对边坡的稳定性影响显著,目前设计中通常采用极限平衡法计算边坡的稳定性,其在求解中需要建立多个平衡方程. 为了分析含软弱夹层边坡的稳定性,首先,采用极限分析法建立了计算模型;其次,通过极限平衡法验证了求解的准确性;最后,分析了荷载、夹层形状、夹层强度等对稳定性的影响. 研究结果表明:边坡安全系数随着外荷载强度的增大而减小,其中,当加速度放大系数由1.0增大为1.6时,安全系数由1.20降为0.89;当外荷载频率越大时,边坡越易提前产生破坏;软弱夹层形状对边坡安全系数影响显著,特别是当其靠近坡顶与坡面时;安全系数随着软弱夹层摩擦角与黏聚力的减小而近似线性降低,其中,当黏聚力由9 kPa降为5 kPa时,安全系数降低约30%.

     

  • 图 1  边坡模型

    Figure 1.  Slope model

    图 2  速度矢量图

    Figure 2.  Diagram of velocity vectors

    图 3  力学模型

    Figure 3.  Mechanical model

    图 4  faF的影响

    Figure 4.  Effect of fa on F

    图 5  kpF的影响

    Figure 5.  Effect of kp on F

    图 6  fF的影响

    Figure 6.  Effect of f on F

    图 7  软弱夹层形状对F的影响

    Figure 7.  Effect of slip zone shapes on F

    图 8  cF的关系曲线

    Figure 8.  Ralation curves of c and F

    表  1  计算结果

    Table  1.   Calculation results

    工况kPd1
    /m
    d2
    /m
    h1
    /m
    h2
    /m
    γ
    /(kN•m−3
    c
    /kPa
    φ
    /(o
    安全系数
    本文方法摩根斯坦-普莱斯法
    1 0 11.59 4.95 3.11 4.95 20 6 30 2.02 2.00
    2 0.2 11.59 4.95 3.11 4.95 20 6 30 1.35 1.32
    3 0.4 11.59 4.95 3.11 4.95 20 6 30 0.99 0.97
    4 0.2 11.59 4.95 3.11 4.95 20 6 20 1.05 1.03
    5 0.2 9.78 3.54 2.08 3.54 20 6 20 1.22 1.19
     注:表中本文方法计算结果为时间 t 内的最小值.
    下载: 导出CSV

    表  2  计算结果

    Table  2.   Calculation results

    kPd1
    /m
    d2
    /m
    h1
    /m
    h2
    /m
    γ
    /(kN•m−3
    c
    /kPa
    φ
    /(o
    安全系数
    本文方法二楔块法[16]有限元
    053.5690.181.0330.0010.20171.361.351.39
    下载: 导出CSV
  • [1] 刘汉香,许强,周飞,等. 含软弱夹层斜坡地震动力响应特性的振动台试验研究[J]. 岩石力学与工程学报,2015,34(5): 994-1005.

    LIU Hanxiang, XU Qiang, ZHOU Fei, et al. Shaking table test for seismic responses of slopes with a weak interlayer[J]. Chinese Journal of Rock Mechanics and Engineering, 2015, 34(5): 994-1005.
    [2] 闫孔明,刘飞成,朱崇浩,等. 地震作用下含倾斜软弱夹层斜坡场地的动力响应特性研究[J]. 岩石力学与工程学报,2017,36(11): 2686-2698.

    YAN Kongming, LIU Feicheng, ZHU Chonghao, et al. Dynamic responses of slopes with intercalated soft layers under seismic excitations[J]. Chinese Journal of Rock Mechanics and Engineering, 2017, 36(11): 2686-2698.
    [3] 唐云波,刘炎,相晨琳. 汶川地区含软弱层岩质边坡地震响应研究[J]. 路基工程,2018(6): 114-118.

    TANG Yunbo, LIU Yan, XIANG Chenlin. Research on seismic response of rock slope with weak layer in Wenchuan region[J]. Subgrade Engineering, 2018(6): 114-118.
    [4] 刘晋南, 蒋鑫, 邱延峻, 等. 水平地震荷载作用下斜坡路基动力稳定性分析. 中外公路, 2010, 30(5): 42-45.

    LIU Jinnan, JIANG Xin, QIU Yanjun. Analysis of dynamic stability of subgrade slope under horizontal earthquake load [J]. Journal of China & Foreign Highway, 2010, 30(5): 42-45.
    [5] CHEN W F. Limit analysis and soil plasticity[M]. Amsterdam: Elsevier Scientific Company, 1975.
    [6] XU P, HATAMI K, JIANG G. Seismic rotational stability analysis of reinforced soil retaining walls[J]. Computers and Geotechnics, 2020, 118(4): 103297.1-103297.10.
    [7] MICHALOWSKI R L. Limit analysis and stability charts for 3D slope failures[J]. Journal of Geotechnical and Geoenvironmental Engineering, 2010, 136(4): 583-593. doi: 10.1061/(ASCE)GT.1943-5606.0000251
    [8] 何思明,张晓曦,吴永. 基于上限定理的边坡潜在破 裂面确定方法与稳定性判识研究[J]. 岩土力学,2012,33(1): 162-166. doi: 10.3969/j.issn.1000-7598.2012.01.025

    HE Siming, ZHANG Xiaoxi, WU Yong. Study of stability discriminant of slope and position determination of potential sliding surface based on upper bound theorem[J]. Rock and Soil Mechanics, 2012, 33(1): 162-166. doi: 10.3969/j.issn.1000-7598.2012.01.025
    [9] UTILI S. Investigation by limit analysis on the stability of slopes with cracks[J]. Géotechnique, 2013, 63(2): 140-154.
    [10] XU P, HATAMI K, JIANG G. Seismic sliding stability analysis of reinforced soil retaining walls. Geosynthetics International, 2019, 26(5), 485-496.
    [11] CHOUDHURY D, NIMBALKAR S. Seismic passive resistance by pseudo-dynamic method[J]. Geotechnique, 2006, 55(7): 517-520.
    [12] BASHA B M, BABU G L S. Seismic reliability assessment of external stability of reinforced soil walls using pseudo-dynamic method[J]. Geosynthetics International, 2009, 16(3): 197-215. doi: 10.1680/gein.2009.16.3.197
    [13] GHOSH P G. Seismic active earth pressure behind a nonvertical retaining wall using pseudo-dynamic analysis[J]. Canadian Geotechnical Journal, 2008, 45(1): 117-123. doi: 10.1139/T07-071
    [14] 钱家欢. 土工原理与计算[M]. 北京: 中国水利水电出版社, 1996.
    [15] 中华人民共和国住房和城乡建设部. 建筑边坡工程技术规范: GB 50330—2013[S]. 北京: 中国建筑工业出版社, 2014.
    [16] QIAN X D, KOERNER R M, GRAY D H. Translational failure analysis of landfills[J]. Journal of Geotechnical and Geoenvironmental Engineering, 2003, 129(6): 506-519. doi: 10.1061/(ASCE)1090-0241(2003)129:6(506)
    [17] 周炜,李海波,刘亚群,等. 地震作用下顺层岩质边坡锚固特性的拟动力分析[J]. 岩石力学与工程学报,2016,35(增刊2): 3570-3576.

    ZHOU Wei, LI Haibo, LIU Yaqun, et al. Pseudo-dynamic analysis of anchored characteristics of layered rock slopes subjected to seismic loads[J]. Chinese Journal of Rock Mechanics and Engineering, 2016, 35(S2): 3570-3576.
  • 加载中
图(8) / 表(2)
计量
  • 文章访问数:  568
  • HTML全文浏览量:  264
  • PDF下载量:  43
  • 被引次数: 0
出版历程
  • 收稿日期:  2020-04-02
  • 修回日期:  2020-09-04
  • 刊出日期:  2020-09-16

目录

    /

    返回文章
    返回